CONCEPTO 383 DE 2022
(Febrero 7)
<Fuente: Archivo interno entidad emisora>
COMISIÓN DE REGULACIÓN DE ENERGÍA Y GAS - CREG
Bogotá D.C.,
Señor
XXXXXX
XXXXXX
| ASUNTO: | Radicado CREG: E- 2022-000977 |
Respetado señor XXXXXX:
Hemos recibido su comunicación referenciada en el asunto, en donde nos consulta lo siguiente:
“Agradecería el favor de informarme el valor del metro cubico de gas natural residencial 2022 para estrato 1, 2 y 3. Además, me gustaría saber, cómo puedo averiguar dicho valor en la factura.”
De acuerdo con su comunicación le informamos que, conforme con lo dispuesto por la Ley 142 de 1994, a la CREG, aparte de las funciones genéricas que toda Comisión de Regulación tiene, se le asignaron la regulación económica de los servicios públicos domiciliarios de energía eléctrica y gas combustible. Adicionalmente, la Ley 143 de 1994 le asignó funciones de carácter regulatorio a la CREG, de manera específica en lo concerniente a la prestación del servicio público domiciliario de energía eléctrica.
Por tal razón, es importante precisar que, en desarrollo de la función consultiva, la CREG no resuelve casos particulares o concretos, pues ello corresponde a las autoridades competentes mediante los procedimientos de rigor y, en tal virtud, tanto las preguntas como las respuestas deben darse o entenderse en forma genérica, de tal manera que puedan predicarse de cualquier asunto en circunstancias similares.
De otra parte, la función de control del cumplimiento de las Resoluciones expedidas por parte de la CREG, las leyes y demás actos administrativos a que están sujetos los prestadores de servicios públicos domiciliarios, le competen por ley a la Superintendencia de Servicios Públicos Domiciliarios, y a la Superintendencia de Industria y Comercio en temas de derecho de la competencia.
En relación con el tema de su comunicación referente al valor del metro cúbico de gas natural residencial, le comentamos que la CREG no define valores específicos para este servicio, si no metodologías tarifarias con las cuales se determinan las tarifas. Para esto, procedemos a explicarle lo que establece la regulación en relación a cómo se definen las tarifas del servicio y las causas de las posibles variaciones.
El costo unitario del servicio público domiciliario de gas combustible por redes de tubería resulta de agregar los costos de las diferentes actividades de la cadena de prestación del servicio, las cuales corresponden a las actividades de producción, transporte, distribución y comercialización.
Las empresas prestadoras de servicio, a partir de las fórmulas tarifarias generales establecidas en la metodología tarifaria expedida por la CREG, calculan el costo del servicio, de acuerdo con las características del mercado que atiende cada una de ellas.
Las actividades de producción, transporte, distribución y comercialización cuentan cada una con una regulación.
Vale la pena mencionar que las metodologías vigentes de remuneración de las actividades de distribución y comercialización, y la fórmula tarifaria de gas natural, involucran el concepto de mercado relevante, conformado por un municipio o grupo de municipios. De acuerdo con estos, las empresas presentan solicitudes tarifarias para la aprobación de cargos de distribución y comercialización.
De acuerdo con la localización del mercado relevante de comercialización, los usuarios deben pagar en su tarifa el costo del gas conforme a la fuente que les suministra, el costo de transporte según el recorrido que debe hacer el gas para llegar desde la fuente de producción hasta el mercado correspondiente, y el cargo de distribución que comprende las redes de gas que se han realizado puntualmente en los municipios que conforman dicho mercado relevante, así como los costos de comercialización aprobados según la metodología tarifaria.
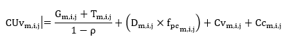
Las fórmulas tarifarias generales aplicables a los usuarios regulados del servicio público domiciliario de gas combustible por redes de tubería están definidas en la Resolución CREG 137 de 2013, y son las siguientes:
Cargo variable:

Cargo fijo:
![]()
Donde:
Componente variable del Costo Unitario de Prestación del Servicio Público de Gas Combustible por redes de tubería expresado en ($/m3), aplicable en el mes m a los usuarios del Mercado Relevante de Comercialización i y atendidos por el comercializador j. | |
Componente fijo del Costo Unitario de Prestación del Servicio Público de Gas Combustible por Redes de Tubería expresado en ($/factura) aplicable en el mes m a los usuarios del Mercado Relevante de Comercialización i y atendidos por el comercializador j. | |
m | Mes de prestación del servicio. |
I | Mercado Relevante de Comercialización. |
J | Comercializador |
Costo Promedio Unitario en ($/m3) correspondiente a las compras de Gas Natural y/o Gas Metano en Depósitos de Carbón y/o GLP por redes y/o aire propanado, destinado a usuarios regulados, aplicable en el mes m, en el Mercado Relevante de Comercialización i y atendido por el comercializador j. Este costo se determina conforme se establece en el Capítulo III de la presente Resolución. | |
Costo unitario en ($/m3) correspondiente al transporte de gas combustible, destinado a usuarios regulados aplicable en el mes m, en el Mercado Relevante de Comercialización i y atendido por el comercializador j, calculado conforme se establece en el Capítulo IV de esta Resolución. Incluye los costos de transporte por gasoducto (Tm,i,j), y/o transporte terrestre de gas combustible (TVm,i,j) y/o compresión (Pm,i,j) de Gas Natural Comprimido (GNC). | |
Costo expresado en ($/m3) por uso del Sistema de Distribución de gas combustible destinado a usuarios regulados, aplicable en el mes m, en el Mercado Relevante de Comercialización i y atendido por el comercializador j. No incluye la conexión al usuario final. | |
Factor multiplicador de poder calorífico aplicable al componente del costo de distribución el mes m, en el Mercado Relevante de Comercialización i y atendido por el comercializador j. | |
Componente variable del costo de comercialización expresado en ($/m3) del gas combustible por redes de tubería destinado a usuarios regulados aplicable en el mes m, en el Mercado Relevante de Comercialización i y atendido por el comercializador j. | |
Costo unitario, expresado en ($/m3), correspondiente a la confiabilidad del servicio de gas combustible aplicable en el mes m y de conformidad con el valor definido por la CREG en resolución independiente. Mientras este es definido será cero. | |
Componente fijo del costo de comercialización expresado en pesos por factura del gas combustible por redes de tubería destinado a usuarios regulados aplicable en el mes m, en el Mercado Relevante de Comercialización i y atendido por el comercializador j. | |
Pérdidas reconocidas. Este valor se determinará conforme al proceso establecido en la Resolución CREG 067 de 1995 (Código de Distribución de gas combustible) o aquellas que lo modifiquen, complementen o sustituyan. |
El costo de prestación del servicio en un período dado y que se incluye en la factura del usuario, corresponderá a la suma de: i) el producto entre el consumo en m3 en dicho período y la componente variable del costo unitario (CUvm,i,j); y ii) el valor del componente fijo del costo unitario (CUfm,i,j).
Adicionalmente, las tarifas de los usuarios incluyen porcentajes de subsidio para el estrato 1 y 2, y de contribución para los estratos 5 y 6, comerciales e industriales.
Los porcentajes de subsidio para los usuarios de estrato 1 y 2, en relación con su consumo básico o de subsistencia, que corresponde a 20 m3, son como máximo del sesenta por ciento (60%) del Costo de prestación del servicio para el estrato 1, y como máximo del cincuenta por ciento (50%) para el estrato 2. Ahora bien, los usuarios de gas combustible pertenecientes a los estratos 3 y 4 del gas combustible, no son sujetos de subsidio, a la vez que quedan exentos por Ley del pago de contribución.
El factor de contribución que deben sufragar los usuarios residenciales de estratos 5 y 6, es del veinte por ciento (20%) sobre el valor del servicio, y 8.9% para los usuarios comerciales.
Sobre la determinación de cada una de las variables de la fórmula tarifaria se tiene lo siguiente:
PRECIO DEL GAS
El precio del gas de los campos de producción del país ha sido libre desde hace varios años, y para que se defina de manera eficiente, se han diseñado mecanismos de comercialización, los cuales están establecidos en la Resolución CREG 186 de 2020.
Ahora bien, en la resolución que define la fórmula tarifaria se establece cómo se calcula el precio de suministro que se traslada al usuario regulado, y el cual contempla el costo de las compras de gas correspondiente a todos los contratos con respaldo físico que son necesarios para atender el mercado de comercialización, y los cuales están en dólares sobre el volumen del mercado y multiplicado por la Tasa Representativa del Mercado, TRM, del último día del mes.
TRANSPORTE
La variable de transporte remunera la actividad de llevar el gas a alta presión a través de tuberías de acero (gasoductos), desde los centros de producción hasta las estaciones ubicadas en las cercanías de las ciudades o poblaciones.
Los cargos de transporte se cobran dependiendo del trayecto que debe recorrer el gas desde los centros de producción hasta la entrada a las ciudades.
La CREG debe adoptar cada cinco (5) años, atendiendo los lineamientos de la Ley 142 de 1994, una metodología general para la remuneración de las actividades que regula. Para la actividad de transporte, la metodología con la cual se aprobaron los cargos que actualmente están vigentes se estableció en la Resolución CREG 126 de 2010.
Conforme a esta metodología, las empresas transportadoras de gas hacen solicitudes tarifarias para los diferentes tramos del Sistema Nacional de Transporte. Vale la pena aclarar que Colombia cuenta con dos sistemas de transporte principales: el Troncal de la Costa Atlántica y el del interior. El primero operado por la empresa Promigas S.A. E.S.P., y el segundo por la empresa TGI S.A. E.S.P.
En el cálculo de los cargos se consideran las inversiones en infraestructura de transporte, los gastos de administración, operación y mantenimiento, AOM, y la demanda atendida con dicha infraestructura. En general, el cargo es la relación entre el valor de la inversión más el AOM, y la demanda.
De la misma forma que en suministro, la Resolución de fórmula tarifaria establece el procedimiento para trasladar los costos de transporte al usuario, los cuales contemplan la compra de capacidad de transporte de los diferentes tramos de gasoductos adquiridos a través de contratos, y que son requeridos para llevar el gas a los usuarios desde los centros de producción hasta llegar a los sistemas de distribución. Este costo se divide por la demanda regulada del mercado relevante de comercialización, y se multiplica por la TRM del último día del mes, para llevarla a pesos.
Es relevante mencionar que en el último año se aprobó una nueva metodología tarifaria para remunerar el servicio de transporte de gas natural a través de la Resolución CREG 175 de 2021, y con la cual próximamente se aprobarán nuevos cargos de transporte.
DISTRIBUCIÓN
Es la actividad de llevar gas combustible a través de redes de tubería, desde las estaciones ubicadas a la entrada de las ciudades, o donde se hace el traspaso de custodia del gas por parte del transportador al distribuidor, hasta las conexiones de los usuarios.
El costo por uso de los Sistemas de Distribución corresponderá al cargo de distribución que ha sido aprobado para el Mercado Relevante de Distribución de acuerdo con el tipo de usuario, y a la metodología establecida en la resolución CREG 011 de 2003 o 202 de 2013, y aquellas que la aclaren, modifiquen o sustituyan.
En el cálculo de los cargos de distribución se consideran las inversiones en sistemas de distribución, los gastos de administración, operación y mantenimiento, AOM, y la demanda atendida con dicha infraestructura. En general, el cargo es la relación entre el valor de la inversión más el AOM, y la demanda.
La variación una vez aprobados los cargos de distribución mensualmente corresponde a la variación del IPC y del IPP.
COMERCIALIZACIÓN
La comercialización corresponde a la compra y venta del gas, que incluye el pago de los servicios de transporte y distribución. Adicionalmente, contempla la medición del consumo, emisión y entrega de facturas, recaudo, mercadeo y atención al usuario entre otras, actividades que, independiente del consumo, debe incurrir el prestador del servicio.
El costo de comercialización corresponde a los cargos de comercialización que hayan sido aprobados para cada mercado relevante de acuerdo con la metodología definida en la Resolución CREG 011 de 203, hasta tanto se determinen otros con una nueva metodología, la cual está próxima a expedirse.
En la actualidad este cargo es el que corresponde al cargo fijo, el cual es expresado en pesos por factura y que es actualizado mensualmente con el IPC.
PÉRDIDAS
Las pérdidas que se trasladan en la fórmula tarifaria son como máximo del 3.7%. Estas se reconocen por las precisiones de los medidores de los usuarios y al venteo de gas.
De acuerdo con todo lo anterior, las variaciones en cada uno de los componentes de la tarifa que está determinada con la fórmula tarifaria, pueden depender de diversos factores, entre ellos:
(i) El precio del gas, teniendo en cuenta que éste depende de las condiciones de los contratos en que los distribuidores compraron el gas.
(ii) La tasa representativa del mercado, dado que los contratos de suministro y una parte de la tarifa de la actividad de transporte están expresadas en dólares.
(iii) Las condiciones económicas de los contratos de compra y transporte de gas suscritos entre el transportador y el comercializador.
(iv) El origen y la trayectoria que debe recorrer el gas comprado puede darse que el distribuidor comercializador haya cambiado su fuente de suministro y que la trayectoria de recorrido del gas sea más larga y por lo tanto más costosa.
(v) Para las actividades de distribución y comercialización la variación depende de los cambios en los indicadores económicos del IPP e IPC.
Aclarado lo anterior, el procedimiento es que dirija su comunicación a la empresa que le presta el servicio para que le informe cuales son las tarifas que se han aplicado en el mercado relevante de comercialización al cual pertenece el municipio donde usted reside, y le explique, en caso de requerirse, causas específicas de variaciones en su tarifa, y para que usted valore si la empresa está cumpliendo con la normatividad o está cometiendo alguna arbitrariedad.
De igual manera es importarte indicarle que dentro de la factura las empresas deben reservar un espacio para informar a los usuarios los valores de cada una de las variables de la fórmula tarifaria que ha sido explicada en esta comunicación, y con las cuales se determina el costo de prestación del servicio.
También es importante indicarle que los usuarios tienen derecho a presentar peticiones, quejas y/o reclamos ante la empresa prestadora de servicios públicos domiciliarios, de conformidad con lo dispuesto en los artículos 152 y siguientes de la Ley 142 de 1994. La empresa dispone de un término de quince (15) hábiles para dar respuesta a las mismas.
Ahora bien, si el usuario presenta una petición ante la empresa que le presta el servicio y ésta no la responde en un término de quince (15) días hábiles, opera el silencio administrativo positivo, es decir que, por mandato de la ley, debe entenderse aceptada la petición del usuario.
Así mismo, si el usuario presenta un reclamo y no queda satisfecho con la respuesta recibida, puede interponer ante la empresa un “recurso de reposición y en subsidio de apelación”. La empresa resolverá el recurso de reposición y, si la respuesta no fuere favorable al usuario, la empresa remitirá el expediente a la Superintendencia de Servicios Públicos Domiciliarios para que resuelva la apelación.
Las normas citadas en esta comunicación pueden consultarse en nuestra página web: www.creg.gov.co.
Los conceptos aquí emitidos tienen el alcance previsto en el numeral 73.24 del Artículo 73 de la Ley 142 de 1994, y en el Artículo 28 del Código de Procedimiento Administrativo y de lo Contencioso Administrativo y, en ese mismo sentido, damos por atendida su solicitud.
Cordialmente,
JORGE ALBERTO VALENCIA MARÍN
Director Ejecutivo