BUSCAR search
ÍNDICE developer_guide
MEMORIA memory
DESARROLLOS attachment
MODIFICACIONES quiz
CONCORDANCIAS quiz
NOTIFICACIONES notifications_active
ACTOS DE TRÁMITE quiz

RESOLUCIÓN 501 060 DE 2022

(agosto 6)

<Fuente: Archivo interno entidad emisora>

COMISIÓN DE REGULACIÓN DE ENERGÍA Y GAS - CREG

Por la cual se determina el cargo máximo para el mercado relevante de comercialización que atiende el centro poblado de Casuarito en el municipio de Puerto Carreño en el Departamento del Vichada.

LA COMISIÓN DE REGULACIÓN DE ENERGÍA Y GAS

En ejercicio de sus atribuciones constitucionales y legales, en especial las conferidas por las leyes 142 y 143 de 1994, y los decretos 1524 y 2253 de 1994, 1260 de 2013 y en especial lo dispuesto en el literal d del artículo 22 y el numeral 24.5 del artículo 24 de la Resolución CREG 091 de 2007.

CONSIDERANDO QUE:

1. ANTECEDENTES

El artículo 87 de la Ley 142 de 1994 estableció que el régimen tarifario estará orientado por los criterios de eficiencia económica, neutralidad, solidaridad, redistribución, suficiencia financiera, simplicidad y transparencia.

De acuerdo con lo previsto en el literal e) del artículo 23 de la Ley 143 de 1994, es función de la Comisión de Regulación de Energía y Gas aprobar las fórmulas tarifarias y las metodologías para el cálculo de las tarifas para usuarios regulados.

El artículo 6 de la Ley 143 de 1994, entre otros aspectos, establece que las actividades relacionadas con el servicio de electricidad se regirán por el principio de adaptabilidad, que conduce a la incorporación de los avances de la ciencia y la tecnología que aporten mayor calidad y eficiencia en la prestación del servicio, al menor costo económico;

La Comisión de Regulación de Energía y Gas, CREG, mediante la Resolución CREG 091 de 2007, estableció las metodologías generales para remunerar las actividades de generación, distribución y comercialización de energía eléctrica, y las fórmulas tarifarias generales para determinar el costo unitario de prestación del servicio público de energía eléctrica en Zonas No Interconectadas.

Para el desarrollo de la actuación administrativa se tuvo en cuenta lo previsto en los artículos 106 y siguientes de la Ley 142 de 1994 y las normas de la parte primera del Código de Procedimiento Administrativo y de lo Contencioso Administrativo.

Mediante Auto con radicado CREG I-2021-002479, proferido el 1 de septiembre de 2021, la Dirección Ejecutiva de la Comisión ordenó la conformación del expediente administrativo 2021-0072, con el objeto de decidir sobre sobre la solicitud de remuneración para un proyecto solar fotovoltaico interconectado a la red de distribución que atiende el centro poblado de Casuarito, perteneciente al municipio de Puerto Carreño, en el Departamento del Vichada, con una capacidad de generación de 307,5 kWp con acumulación de 140 kWh, presentada por la empresa DUE CAPITAL AND SERVICES S.A.S.

2. LA SOLICITUD

El representante legal de la empresa DUE CAPITAL AND SERVICES S.A.S., mediante comunicación allegada a esta Comisión, con radicado CREG-E-2021-000572, complementada con las comunicaciones con radicado CREG E-2021-006140, E-2021-006143, E-2021-006145 y E-2022-005279, presentó la: “SOLICITUD CARGOS DE REMUNERACIÓN PARA PLANTA FOTOVOLTAICA CON ACUMULACIÓN CASUARITO, VICHADA”. en los siguientes términos:

“Por medio de la (sic) presentamos la solicitud de remuneración para un proyecto solar centralizado con acumulación interconectado al sistema de distribución del municipio de Casuarito, con una capacidad de generación superior a 307.5 kWp con una acumulación de l 40 kWh, con fundamento en el literal dm del artículo 22 de la resolución CREG 091 de 2007. Esto en consideración a que tal resolución considera proyectos de hasta 100 kWp y por consiguiente se hace preciso revisar un esquema de remuneración para un proyecto de mayor envergadura.

DUE Capital and Services S.A.S. es un desarrollador de proyectos de FERNC en Colombia con amplia experiencia y capacidad financiera. En la actualidad está desarrollando un portafolio de proyectos en zonas no interconectadas, siendo la Planta Solar Casuarito localizada en el casco urbano de Casuarito. El prestador del servicio será Casuarito PV S.A. E.S.P., empresa que está en proceso de constitución.

Desde el punto de vista de la fuente de generación, hasta el momento en Casuarito se viene utilizando el combustible diésel 2 como energético. No obstante, desde el año 2019 DUE Capital and Services S.A.S., viene estructurando un proyecto de generación de energía con tecnología solar el cual espera producir de prácticamente el l 00% (68.5% de generación solar directa y 31.5% de producción por baterías) de la energía que el municipio de Casuarito consumiría, convirtiéndose en una alternativa de generación con las siguientes características:

- Renovable no convencional

- Inagotable

- No contaminante

- Evita la generación de gases efectos invernadero causantes del calentamiento global

- Reduce el uso de combustible fósiles

- Reduce la generación de residuos peligrosos derivado de la generación diésel

- Contribuye al desarrollo sostenible

- Es modular y muy versátil, adaptable a diferentes situaciones y necesidades de generación

Con esto se logra uno de los fundamentos de la Ley 1715 de 2014 que es la sustitución de combustibles fósiles por fuentes renovables no convencionales ya que en el municipio de Casuarito en la actualidad la energía producida proviene (sic) de los grupos electrógenos Diésel 2. Con Centenario dicho consumo bajara al 91.8% lográndose ahorros y aumento de la disponibilidad de energía en el municipio.

Como se puede constatar en la información adjunta en la actualidad el fisco nacional tiene que erogar a través de subsidios hasta $2,500 / kWh, ya que por cuenta del esquema legal actual se cancelan costos reales y no eficientes. La solución, petición de cargo, es de un valor de remuneración para la actividad de generación de energía eléctrica a partir de un sistema híbrido como es descrito en este documento a valores de diciembre de 2020, corresponde a COP $833.11 por kWh para la solución solar fotovoltaica con alimentación directa a la red y acumulación de recurso solar fotovoltaico de COP $2,023.17; lo que significa un ahorro promedio del 48% a costos de hoy. Dicho cargo se sustenta en la operación combinada de la planta solar y el sistema de almacenamiento requerido para atender la demanda creciente de la zona”.

La petición de cargo es de $1.217 / kWh a precios de noviembre de 2021.

3. EL TRÁMITE ADELANTADO

Se da inicio al trámite administrativo, mediante Auto con radicado CREG I–2021-002479, proferido el 1 de septiembre de 2021. La Dirección Ejecutiva de la Comisión ordenó la conformación del expediente administrativo 2021-0072, con el objeto de decidir sobre sobre la solicitud de remuneración para un proyecto solar fotovoltaico interconectado a la red de distribución del centro poblado de Casuarito, en el municipio de Puerto Carreño, en el Departamento del Vichada, con una capacidad de generación de 307,5 kWp con acumulación de 140 kWh, presentada por la empresa DUE CAPITAL AND SERVICES S.A.S.

Mediante aviso No. 118 del 1 de septiembre de 2021, se informa sobre el Auto de apertura de la actuación administrativa CREG I-2021-002479, dentro del expediente CREG 2021-0072, el cual se remitió a la Alcaldía de Puerto Carreño con comunicación CREG- S-2021-003800 el 1 de septiembre del mismo año, para los fines previstos en el artículo 37 del Código de Procedimiento Administrativo y de lo Contencioso Administrativo.

El precitado Auto se notificó al representante legal de la empresa DUE CAPITAL AND SERVICES S.A.S., mediante comunicación CREG S-2021-003799 el 02 de septiembre de 2021.

Una vez incorporado dentro del expediente la solicitud y los documentos soportes, con el fin de obtener mayor información y de una manera detallada para poder dar trámite al mismo, se dicta dentro del expediente, el Auto de pruebas I-2021-003542 el 24 de diciembre de 2021. Por medio el cual se solicita al peticionario la remisión de los soportes, archivos de manera independiente y asimismo el detalle de las variables en cantidades unitarias y costos de los equipos, materiales y equipos de medida, entre otros, tendientes a aclarar y complementar la información.

El anterior Auto se notifica al representante legal de DUE CAPITAL AND SERVICES S.A.S., el 24 de diciembre de 2021, mediante comunicación CREG- S-2021-005519.

Igualmente se notifica del Auto de pruebas a ELECTROVICHADA E.S.P., para lo de su competencia, mediante comunicación CREG-S-2021-005520 el 24 de diciembre de 2021.

Por medio de los radicados CREG E-2022 000334-000335-000411-000462-00463 del 6 de enero de 2022, DUE CAPITAL AND SERVICES S.A.S., remite respuesta al Auto I-2021-003542, mediante el envío de documentacion a través de enlaces electrónicos, con lo cual esta Comisión a partir de la comunicación CREG- S-2022-001619 del 10 de mayo de 2022, le solicita a DUE CAPITAL AND SERVICES S.A.S., corregir el medio de envío de la información allegada.

La empresa DUE CAPITAL AND SERVICES S.A.S., responde mediante comunicación CREG- E-2022-005274 el 12 de mayo de 2022, remitiendo los documentos solicitados por esta Comisión. En la mencionada comunicación, DUE CAPITAL AND SERVICES S.A.S., además de la remisión de archivos modificados, informa de la actualización de los parámetros de generación del proyecto de referencia presentado, lo cuales pasaron de un taman~o original de 307,5 kWp a 372,6 kWp para el sistema fotovoltaico, y una acumulación de 1,183 kWh en vez de 140 kWh.

La anterior información, hace parte de los expedientes administrativos dentro del trámite de la actuación administrativa en el marco del debido proceso y el derecho de defensa.

4. ANÁLISIS DE LA SOLICITUD

4.1 CONSIDERACIÓN JURÍDICA

Mediante la Resolución CREG 091 de 2007 se establecen las metodologías generales para remunerar las actividades de generación, distribución y comercialización de energía eléctrica, y las fórmulas tarifarias generales para establecer el costo unitario de prestación del servicio público de energía eléctrica en Zonas No Interconectadas.

Mediante las Resoluciones CREG 161 de 2008, 057, 074, 097 de 2009 y 072 de 2013, se modificó la Resolución CREG 091 de 2007.

Debe resaltarse que el municipio de Puerto Carreño, Vichada, no hace parte de ninguna área de servicio exclusivo para la prestación del servicio público domiciliario de energía eléctrica o sus actividades complementarias, en los términos del artículo 40 de la Ley 142 de 1994 y, por tanto, en dicha área geográfica no existe exclusividad en la prestación del servicio público de energía eléctrica o sus actividades complementarías.

En el artículo 2 de la Resolución CREG 091 de 2007 se define el mercado de relevante de comercialización y el parque de generación de la siguiente manera:

“Artículo 2. Definiciones. Para la interpretación y aplicación de esta Resolución se tendrán en cuenta, además de las definiciones contenidas en las Leyes 142 y 143 de 1994 y en las resoluciones vigentes de la CREG, las siguientes: (…)

Mercado Relevante de Comercialización: Conjunto de usuarios conectados a un mismo Sistema de Distribución Local o atendido sin red física por un Distribuidor. (…)”

Parque de Generación: Conjunto de unidades de generación con el que se atiende un Mercado Relevante de Comercialización.

El literal d) del artículo 22 de la Resolución CREG 091 de 2007, invocado como fundamento de la solicitud, señala lo siguiente:

Artículo 22. Remuneración de la componente de inversión y mantenimiento de tecnologías de Generación. La componente de inversión de los Cargos Regulados de Generación, expresada en ($/kWh), incluye los costos de adquisición, transporte, instalación, diseños, permisos ambientales, almacenamiento de combustible, transformadores elevadores, equipos de telemedida y los necesarios para la puesta en operación de una central de generación, y dependerá del tamaño, tecnología, horas de prestación del servicio y el tipo de combustible de cada unidad de generación, como se muestra a continuación: (…)

d) Costo de inversión de sistemas híbridos y otras tecnologías de generación

Los costos unitarios de inversión para sistemas híbridos y otras tecnologías de generación no definidos en la presente resolución, podrán proponerse a la Comisión quién definirá en Resolución particular los costos correspondientes.”

En el artículo 22 se define la remuneración de la componente de inversión y mantenimiento de tecnologías de generación, componente expresada en pesos por kilovatio hora ($/kWh), la cual incluye los costos de adquisición, transporte, instalación, diseños, permisos ambientales, almacenamiento de combustible, transformadores elevadores, equipos de telemedida, y los necesarios para la puesta en operación de una central de generación.

En dicho artículo se establecen las metodologías para determinar:

a) Costos de inversión y mantenimiento de generadores diésel operando con ACPM.

b) Costo de inversión de centrales hidroeléctricas a pequeña escala.

c) Costo de inversión para soluciones individuales.

d) Costo de inversión de sistemas híbridos y otras tecnologías de generación.

En el literal d) se determina: “los costos unitarios de inversión para sistemas híbridos y otras tecnologías de generación no definidos en la presente resolución, podrán proponerse a la Comisión quién definirá en resolución particular los costos correspondientes”.

Dado que la solicitud presentada por DUE CAPITAL AND SERVICES S.A.S., se refiere a la definición de un cargo de comercialización para un sistema híbrido DIÉSEL - SOLAR FOTOVOLTAICO ubicado en el centro poblado de Casuarito en el municipio de Puerto Carreño, y que el mismo no corresponde a ninguno de los casos previstos en los literales a, b o c del precitado artículo, encuentra esta Comisión que tiene la competencia para definir, mediante resolución particular, los costos unitarios de inversión para sistemas híbridos y otras tecnologías de generación que no se encuentren definidos en la Resolución CREG 091 de 2007.

Así mismo, con respecto a los gastos de administración, operación y mantenimiento, en el artículo 24 de la Resolución CREG 091 de 2007 se establece lo siguiente:

“Artículo 24. Remuneración de Gastos de Administración, Operación y Mantenimiento (AOM) para diferentes tecnologías de generación. Los gastos de administración, operación y mantenimiento (AOM) para cada tecnología de generación se determinarán como se indica a continuación:

24.1 Gastos de administración y operación de generadores diésel operando con ACPM.

24.2 Gastos de administración y operación de generadores diésel operando con fuel oil No. 6.

24.3 Gastos de administración, operación y mantenimiento de centrales hidroeléctricas a pequeña escala

24.4 Gastos de Administración, Operación y Mantenimiento de Sistemas Solares Fotovoltaicos.

24.5 Gastos de Administración, Operación y Mantenimiento para otras tecnologías de conversión”.

De acuerdo con el numeral 24.5 “los costos unitarios de administración, operación y mantenimiento para tecnologías de generación no definidos en la presente resolución podrán solicitarse a la Comisión, quien los definirá en Resolución particular”.

Por otra parte, la precitada resolución, en su artículo 25, establece lo siguiente:

Artículo 25. Fórmula de Actualización de Cargos Máximos de Generación. Los Cargos Máximos de Generación expresados en pesos de la Fecha Base, se actualizarán con las siguientes fórmulas generales:

a) Fórmula de Actualización de Cargos Máximos para Generación Diésel

b) Fórmula de Actualización de Cargos Máximos de Generación para Centrales Hidroeléctricas a Pequeña Escala

c) Fórmula de Actualización de Cargos Máximos de Generación para Soluciones Fotovoltaicas Individuales”.

En este contexto, se identifica que las fórmulas de actualización de cargos máximos de generación definidas en el artículo 25, tampoco consideran una forma de actualización para el tipo de generación enunciada en la solicitud presentada por DUE CAPITAL AND SERVICES S.A.S., lo cual será objeto de análisis en la presente resolución.

De acuerdo con las competencias de esta Comisión, y teniendo en cuenta los criterios tarifarios definidos en el artículo 87 de la Ley 142 de 1994, en particular los de eficiencia económica y suficiencia financiera, en esta actuación administrativa se definirá el cargo de comercialización en su totalidad, incluyendo el costo de inversión y los gastos de administración, operación y mantenimiento, aplicable para el cálculo de costo unitario de prestación del servicio de los usuarios ubicados en el mercado relevante de comercialización que atiende el centro poblado de Casuarito en el municipio de Puerto Carreño, a partir de la mejor información disponible, con el fin de dar señales adecuadas que reflejen la estructura de costos económicos que acarrea la prestación del servicio, adicionalmente que permita utilizar las tecnologías y sistemas administrativos que garanticen la mejor calidad, continuidad y seguridad a los usuarios.

Por otra parte, es importante resaltar que un cargo de comercialización es simplemente la aplicabilidad de la metodología tarifaria de carácter general que fija un precio máximo dirigido a los usuarios y, por tanto, no se constituye en un derecho adquirido. En este mismo sentido, se señala que la elección del prestador del servicio es libre y de escogencia en el mercado, por cuanto la zona solicitada no corresponde a un área de servicio exclusivo, tal y como se mencionó anteriormente.

Así las cosas, el cargo de comercialización aprobado en el presente acto administrativo corresponde al precio máximo que puede trasladar un prestador del servicio a los usuarios finales, sin importar a cuál generador le compra la energía para prestar el servicio en el mercado del centro poblado de Casuarito en el municipio de Puerto Carreño. Tanto el prestador del servicio, como los generadores a los que compre la energía, deben estar debidamente registrados como prestadores del servicio en el Registro Único de Prestadores, RUPS, a cargo de la Superintendencia de Servicios Públicos Domiciliarios, cumpliendo con lo previsto en los artículos 15, 17, 18 y 26 de la Ley 142 de 1994. Adicionalmente, dar cumplimiento a lo establecido en la resolución CREG 101 021 de 2022, Por la cual se definen los principios y procedimientos que deben cumplir los comercializadores para la celebración de contratos de energía eléctrica destinados a atender usuarios en Zonas No Interconectadas.

En el capítulo VII de la Resolución CREG 091 de 2007 se establecen las fórmulas tarifarias generales para usuarios regulados del servicio público de energía eléctrica en las Zonas No Interconectadas, diferenciando entre la aplicable a usuarios regulados del servicio de energía eléctrica con red y sin red, artículos 40 y 41 de la precitada resolución, respectivamente.

Bajo el entendido de que el mercado relevante de comercialización del centro poblado de Casuarito en el municipio de Puerto Carreño, es atendido mediante el uso de redes, dentro de la presente actuación administrativa se considerará que la fórmula tarifaria aplicable para el cálculo del costo del servicio de energía eléctrica de usuarios regulados corresponde a la prevista en el artículo 40 de la Resolución CREG 091 de 2007.

Así las cosas, teniendo en cuenta que en la regulación vigente no se encuentran tipificados los costos de generación para sistemas híbridos de generación diésel – solar fotovoltaicos, como el presentado por DUE CAPITAL AND SERVICES S.A.S., en su solicitud, procede la determinación del costo de inversión y los gastos de administración, operación y mantenimiento, en los términos definidos en la fórmula aplicable, esto es, en pesos por kilovatio hora ($/kWh) para el mercado relevante de comercialización de la cabecera municipal del centro poblado de Casuarito en el municipio de Puerto Carreño.

4.2 ANÁLISIS TÉCNICO

Teniendo en cuenta lo previsto en los artículos 22, 24, 25 y 40 de la Resolución CREG 091 de 2007, se procede a revisar la información allegada por DUE CAPITAL AND SERVICES S.A.S., en términos de costos de inversión y gastos administración, operación y mantenimiento, así como también se analizan los datos de proyección de energía a generar y de la demanda a atender, presentados en la solicitud.

Atendiendo los criterios tarifarios de eficiencia económica y suficiencia financiera, esta Comisión resuelve la solicitud definiendo la remuneración a partir de costos eficientes de referencia y de la mejor información disponible, ajustados a las condiciones de prestación del servicio en el mercado de comercialización que atiende el centro poblado de Casuarito en el municipio de Puerto Carreño. El documento de soporte de la presente resolución, detalla el análisis técnico realizado para resolver la solicitud de la empresa en cuestión.

Para efectos de la notificación se debe comunicar al representante legal de DUE CAPITAL AND SERVICES S.A.S., el contenido de la presente resolución la cual deberá notificarse según lo estipulado por la empresa al correo electrónico señalado en su solicitud, de acuerdo con lo estipulado en el artículo 8 de la Ley 2080 del año 2021, que introduce el artículo 53A del CPACA y el artículo 56 de la misma.

Por último, por tratarse de la aplicación de una metodología, la presente resolución no se remite a la Superintendencia de Industria y Comercio, para el ejercicio de la Abogacía de la Competencia, con fundamento en las disposiciones del Decreto 1074 de 2015.

En sesión No. 1188 del 6 de agosto de 2022, la Comisión de Regulación de Energía y Gas analizó la presente actuación administrativa.

Por lo anteriormente expuesto,

RESUELVE:

ARTÍCULO 1. REMUNERACIÓN DE LAS COMPONENTES DE INVERSIÓN, DE ADMINISTRACIÓN, OPERACIÓN Y MANTENIMIENTO PARA SISTEMAS HÍBRIDOS DIÉSEL SOLAR FOTOVOLTAICOS CON ACUMULACIÓN EN EL MERCADO RELEVANTE DE COMERCIALIZACIÓN QUE ATIENDE EL CENTRO POBLADO DE CASUARITO EN EL MUNICIPIO DE PUERTO CARREÑO EN EL DEPARTAMENTO DEL VICHADA, Y USUARIOS ATENDIDOS CON EL MISMO SISTEMA DE DISTRIBUCIÓN. Las componentes que remuneran los costos de inversión y de administración, operación y mantenimiento son las siguientes:

Tabla 1. Componentes de remuneración de costos de inversión y de administración, operación y mantenimiento para sistemas híbridos diésel - solar fotovoltaico con acumulación

(pesos de diciembre de 2006)

Tipo de recurso energéticoCosto de inversión,
($/kWh)
Costos de administración, operación y mantenimiento,  ($/kWh)
Solar fotovoltaico con alimentación directa a red.323,2068,91
Acumulación de recurso solar fotovoltaico.1.460,81142,91
Diésel.Según lo previsto en el literal a), del artículo 22, de la Resolución CREG 091 de 2007, modificada mediante Resolución CREG 057 de 2009.

En donde:

:Componente de remuneración de los costos de inversión del recurso energético j, del mercado relevante de comercialización que atiende el centro poblado de Casuarito en el municipio de Puerto Carreño, expresado en pesos constantes de la fecha base.

:
Componente de remuneración de los costos de administración operación y mantenimiento del recurso energético j, del mercado relevante de comercialización que atiende el centro poblado de Casuarito en el municipio de Puerto Carreño, expresado en pesos constantes de la fecha base.
Fecha base
:
31 de diciembre de 2006.

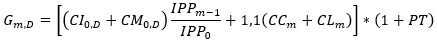
ARTÍCULO 2. FÓRMULA DE ACTUALIZACIÓN DE CARGOS MÁXIMOS DE GENERACIÓN PARA SISTEMAS HÍBRIDOS DIÉSEL - SOLAR FOTOVOLTAICOS CON ACUMULACIÓN EN EL MERCADO RELEVANTE DE COMERCIALIZACIÓN QUE ATIENDE EL CENTRO POBLADO DE CASUARITO EN EL MUNICIPIO DE PUERTO CARREÑO, VICHADA Y USUARIOS ATENDIDOS CON EL MISMO SISTEMA DE DISTRIBUCIÓN. <Consultar resoluciones que modifican este artículo en Notas de Vigencia. El texto ORIGINAL es el siguiente:> Los cargos máximos de generación expresados en pesos de la fecha base, se actualizarán con las siguientes fórmulas generales:

En donde,


:
Cargo máximo de generación para el mercado relevante de comercialización señalado en este artículo, correspondiente al mes m de prestación del servicio, expresado en pesos por kilovatio hora ($/kWh).
:Cargo máximo de generación para energía suministrada a partir de recursos energéticos diésel, para el mes m, expresado en pesos por kilovatio hora ($/kWh).

:
Cargo máximo de generación para energía suministrada a partir de recursos energéticos solares fotovoltaicos con alimentación directa a la red de distribución, para el mes m, expresado en pesos por kilovatio hora ($/kWh).
Cargo máximo de generación para energía suministrada a partir de acumuladores de recursos energéticos solares fotovoltaicos, para el mes m, expresado en pesos por kilovatio hora ($/kWh).

:
Proporción de la generación de recursos energéticos diésel como parte de la generación del parque de generación del mercado relevante de comercialización señalado en este artículo, para el mes m.
:Proporción de la generación de recursos solares fotovoltaicos con alimentación directa a red, como parte de la generación de sistemas solares fotovoltaicos con acumulación, dentro del parque de generación del mercado relevante de comercialización señalado en este artículo, para el mes m. El valor mínimo de este parámetro será de 0,854.
:Cargo máximo que remunera la actividad de monitoreo, expresado en pesos por kilovatio hora ($/kWh). Para los efectos de esta resolución el valor reconocido será igual a cero (0). La CREG podrá revisar este valor, de oficio o por solicitud del prestador del servicio, en resolución posterior.
:Mes de cálculo de la tarifa.

El valor de  se obtiene a partir de la siguiente fórmula:

En donde,

:Energía total entregada al sistema de distribución del mercado relevante de comercialización señalado en este artículo, por los recursos energéticos diésel del parque de generación, durante los últimos doce meses contados a partir del mes m-1.

A partir de la entrada en vigencia de esta resolución, según lo previsto en el artículo 3 de esta resolución y hasta contar con un histórico de 12 meses, se tomará la información acumulada de los meses que hayan transcurrido.
:Energía total entregada al sistema de distribución del mercado relevante de comercialización señalado en este artículo, por el parque de generación, durante los últimos doce meses contados a partir del mes m-1.

A partir de la entrada en vigencia de esta resolución, según lo previsto en el artículo 3 de esta resolución y hasta contar con un histórico de 12 meses, se tomará la información acumulada de los meses que hayan transcurrido.

El valor de  se obtiene a partir de la siguiente fórmula:

En donde,

:Energía total entregada al sistema de distribución del mercado relevante de comercialización respectivo, por los recursos solares fotovoltaicos con alimentación directa a red, del parque de generación conectado a dicho sistema de distribución, durante los últimos doce meses contados a partir del mes m-1.

A partir de la entrada en vigencia de esta resolución, según lo previsto en el artículo 3 de esta resolución, y hasta contar con un histórico de 12 meses, se tomará la información acumulada de los meses que hayan transcurrido.
:Energía total entregada al sistema de distribución del mercado relevante de comercialización respectivo, desde equipos de acumulación de recursos solares fotovoltaicos, del parque de generación conectados a dicho sistema de distribución, durante los últimos doce meses contados a partir del mes m-1.

A partir de la entrada en vigencia de esta resolución, según lo previsto en el artículo 3 de esta resolución, y hasta contar con un histórico de 12 meses, se tomará la información acumulada de los meses que hayan transcurrido.

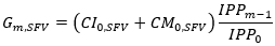
El valor de  se obtiene a partir de la siguiente fórmula:

En donde,

:Componente de remuneración del costo promedio ponderado de inversión, por energía generada, de los recursos energéticos diésel, del mercado relevante de comercialización señalado en este artículo, expresado en pesos constantes de la fecha base, según lo previsto en el literal a) del artículo 22 de la Resolución CREG 091 de 2007, modificada mediante la Resolución CREG 057 de 2009.
:Componente de remuneración del costo promedio ponderado de mantenimiento, por energía generada, de los recursos energéticos diésel, del mercado relevante de comercialización señalado en este artículo, expresado en pesos constantes de la fecha base, según lo previsto en el literal a) del artículo 22 de la Resolución CREG 091 de 2007, modificada mediante la Resolución CREG 057 de 2009.
:Componente de remuneración del costo promedio de combustible, por energía generada, de los recursos energéticos diésel, del mercado relevante de comercialización señalado en este artículo, para el mes m, expresado en pesos por kilovatio hora ($/kwh), según lo previsto en el numeral 24.1 del artículo 24 de la Resolución CREG 091 de 2007.
:Componente de remuneración del costo promedio de lubricante, por energía generada, de los recursos energéticos diésel, del mercado relevante de comercialización señalado en este artículo, para el mes m, expresado en pesos por kilovatio hora ($/kwh), según lo previsto en el numeral 24.1 del artículo 24 de la Resolución CREG 091 de 2007.
:Porcentaje de pérdidas promedio de transformación, de la conexión de los recursos energéticos diésel al sistema de distribución, del mercado relevante de comercialización señalado en este artículo, según lo previsto en el numeral 24.1 del artículo 24 de la Resolución CREG 091 de 2007.
:Índice de precios al productor, Oferta Interna, del mes m-1.
:Índice de precios al productor, Oferta Interna, de la fecha base.

El valor de  se obtiene a partir de la siguiente fórmula:

En donde,


:
Componente de remuneración del costo promedio ponderado de inversión, por energía suministrada, de los recursos energéticos solares fotovoltaicos con alimentación directa a la red de distribución, del mercado relevante de comercialización señalado en este artículo, expresado en pesos constantes de la fecha base, según lo previsto en el artículo 1 de esta resolución.
:Componente de remuneración de los costos promedios ponderados de administración, operación y mantenimiento, por energía suministrada, de los recursos energéticos solares fotovoltaicos con alimentación directa a la red de distribución, del mercado relevante de comercialización señalado en este artículo, expresado en pesos constantes de la fecha base, según lo previsto en el artículo 1 de esta resolución.

El valor de  se obtiene a partir de la siguiente fórmula:

En donde,

:Componente de remuneración del costo promedio ponderado de inversión, por energía suministrada, a partir de acumuladores de recursos energéticos solares fotovoltaicos, del mercado relevante de comercialización señalado en este artículo, expresado en pesos constantes de la fecha base, según lo previsto en el artículo 1 de esta resolución.
:Componente de remuneración de los costos promedios ponderados de administración, operación y mantenimiento, por energía suministrada, a partir de acumuladores de recursos energéticos solares fotovoltaicos, del mercado relevante de comercialización señalado en este artículo, expresado en pesos constantes de la fecha base, según lo previsto en el artículo 1 de esta resolución.

PARÁGRAFO. El valor máximo aplicable a  será el calculado para .

ARTÍCULO 3. PRINCIPIOS Y REGLAS DE DESPACHO DE RECURSOS ENERGÉTICOS Y MECANISMOS DE COMERCIALIZACIÓN DE ENERGÍA. En resolución posterior de carácter general, esta Comisión definirá los principios y reglas aplicables para la coordinación del despacho y operación de recursos energéticos, así como los mecanismos de comercialización de energía eléctrica en las Zonas No Interconectadas.

ARTÍCULO 4. VIGENCIA DE LOS CARGOS MÁXIMOS DE GENERACIÓN PARA EL MERCADO RELEVANTE DE COMERCIALIZACIÓN QUE ATIENDE EL CENTRO POBLADO DE CASUARITO EN EL MUNICIPIO DE PUERTO CARREÑO. Las componentes de inversión y de administración, operación y mantenimiento, y la fórmula de actualización de cargos máximos, señalados en los artículos 1 y 2 de la presente resolución, serán aplicables para el mercado relevante de comercialización que atiende el centro poblado de Casuarito en el municipio de Puerto Carreño, a partir de la fecha en que quede en firme la presente resolución y hasta la entrada en vigencia de la resolución que modifique o sustituya a la Resolución CREG 091 de 2007.

ARTÍCULO 5. NOTIFICACIÓN. Notificar a los representantes legales de las empresas DUE CAPITAL AND SERVICES S.A.S. y ELECTROVICHADA S.A. E.S.P. el contenido de esta resolución. Contra lo dispuesto en la presente resolución procede recurso de reposición, el cual deberá interponerse ante la Dirección Ejecutiva de la CREG dentro de los cinco (5) días hábiles siguientes a su notificación.

NOTIFÍQUESE, PUBLÍQUESE Y CÚMPLASE

Dada en Bogotá. D. C., 06 AGO. 2022

DIEGO MESA PUYO
Ministro de Minas y Energía
Presidente


JORGE ALBERTO VALENCIA MARIN
Director Ejecutivo

×
Volver arriba