CONCEPTO 2733 DE 2004
COMISIÓN DE REGULACIÓN DE ENERGIA Y GAS
<NOTA: concepto bajado de la página de intenet de la CREG>
Solicitante: XXXXX
Fecha: 08 de julio de 2004
Radicación: CREG – E – 2004 – 005681
Tema: Calidad del servicio y tarifas de energía eléctrica y de gas natural.
RESPUESTA: S – 2004 – 002733
PROBLEMA: Mediante derecho de petición se presentan varias preguntas relacionadas con la calidad en la prestación del servicio público de energía eléctrica y sobre las tarifas de energía eléctrica y de gas natural.-
Bogotá, D. C.,
XXXXXXXXXXXXXXX
Asunto: Su comunicación del 8 de julio de 2004
Radicado CREG E-2004-005681
Respetado XXXXX:
En la comunicación enunciada en el asunto formula usted un derecho de petición a la Comisión sobre inquietudes relacionadas con la calidad en la prestación del servicio de energía eléctrica y las tarifas de Energía Eléctrica y Gas Natural, este derecho de petición se compone de varias preguntas, las cuales procedemos a responder en el orden en que fueron presentadas:
1. Cuál es la duración o frecuencia establecida por la CREG, para cortes o suspensión de energía eléctrica, ya sea por Mantenimientos u otros motivos, en barrios residenciales estrato 3?
Las metas de calidad aplicables actualmente se encuentran definidas en la resolución CREG 113 de 2003, allí se definen los valores de DES (tiempo máximo en el cual el servicio puede ser interrumpido en el año) y FES (número máximo de interrupciones del servicio en el año) para el año 2004. Cuando se incumplen las metas de calidad fijadas por la CREG, el Operador de Red debe compensar a los usuarios afectados, para lo cual se debe seguir el procedimiento establecido en el Artículo 7o. de la Resolución CREG 096 de 2000.
Los Valores Máximos Admisibles anuales para los indicadores de calidad del servicio (para todas las empresas), son:

En este punto debe aclararse que las metas de calidad no se publican según el estrato socioeconómico, sino por "grupos de calidad" definidos de la siguiente manera:
- GRUPO 1, Circuitos ubicados en Cabeceras municipales con una población superior o igual a 100.000 habitantes según último dato certificado por el DANE.
- GRUPO 2, Circuitos ubicados en Cabeceras municipales con una población menor a 100.000 habitantes y superior o igual a 50.000 habitantes según último dato certificado por el DANE.
- GRUPO 3, Circuitos ubicados en Cabeceras municipales con una población inferior a 50.000 habitantes según último dato certificado por el DANE.
- GRUPO 4, Circuitos ubicados en Suelo que no corresponde al área urbana del respectivo municipio o distrito.
Para el cálculo de los indicadores de calidad, no se tendrán en cuenta:
- Interrupciones por racionamiento de emergencia o programadas del sistema eléctrico nacional debidas a insuficiencia en la generación nacional o por otros Eventos en Generación y en el STN, siempre y cuando así hayan sido definidas por el CND de acuerdo con la regulación de la CREG. El CND mantendrá disponible para los OR´s la información relacionada con los Eventos citados anteriormente, con el fin de que los OR´s los excluyan del cálculo de los indicadores.
- Interrupciones debidas a las indisponibilidades permitidas de los Activos de Conexión al STN, de conformidad con la regulación vigente.
- Interrupciones con duración igual o inferior a un (1) minuto.
- Interrupciones por seguridad ciudadana y solicitadas por organismos de socorro o autoridades competentes.
- Suspensiones o cortes del servicio por incumplimiento del contrato de servicios públicos.
- Eventos Programados de activos pertenecientes al Nivel de Tensión 4, debidas a trabajos de expansión.
- Indisponibilidades originadas en Eventos de fuerza mayor. El OR afectado por el Evento de fuerza mayor, deberá declarar oficialmente ante la SSPD la ocurrencia del mismo y será responsable por tal declaración. Así mismo, si se prevé que el Evento tendrá una duración superior a los tres (3) días a partir de su ocurrencia, el OR tendrá que informar a los Usuarios antes de transcurridos dos (2) días de la ocurrencia del evento, mediante publicación en un diario que circule en la zona afectada, o en su defecto, en otro medio de comunicación masivo disponible en la región o área afectada.
Las fallas en el servicio debidas a mantenimientos se tienen en cuenta para el cálculo de los índices.
2. Esta duración o frecuencia, en que periodo de tiempo está autorizado por la CREG? Es decir, Horas por Semana, cuantas?, horas por mes, cuantas?, horas por año, cuantas?. Continuas o discontinuas?.
La información relacionada con los indicadores de calidad es calculada de manera trimestral (o sea numero de salidas y frecuencia de salidas por trimestre), de manera que los valores indicados en la tabla de la pregunta anterior, son repartidos en cuatro (4) grupos (trimestres) a criterio de la empresa (pero reportados al principio del año a la CREG). Al final de cada trimestre (por ejemplo el primer trimestre del año, enero-febrero) se determina el valor por el cual debe ser compensado cada usuario, según cuanto se ha sobrepasado la meta impuesta. Para el caso de Electrocosta S.A. E.S.P. los valores máximos por trimestre son:

3 De cuanto es el porcentaje en el ajuste para el aumento en las tarifas del estrato 3, tanto para energía eléctrica, como para el Gas Natural.
ENERGÍA ELÉCTRICA
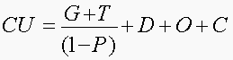
En el caso de Energía eléctrica. el Costo de Prestación del Servicio (CU) para usuarios regulados es un costo económico eficiente uqe resulta de agregar los costos de las actividades de generación, trnsmisión, distribución y comercialización. Este costo está representado en la siguiente fórmula, desarrollada en la Resolución CREG-031 de 1997:

El G (generación) corresponde al costo de compra de energía ($/kWh) por parte del comercializador. Este se calcula como un promedio del valor de las compras del comercializador en el mercado de contratos y en la bolsa de energía. En el sistema eléctrico colombiano, todos los comercializadores están obligados a comprar su energía en el mercado, pudiendo hacerlo en el mercado de largo plazo o en la bolsa de energía (mercado spot). La actualización de este ítem, depende de cómo contraten los comercializadores y como evoluciona el precio en la bolsa de energía.
El T (transmisión), corresponde al costo promedio por uso del Sistema de Transmisión Nacional ($/kWh) ( 220 kV). El D (distribución) corresponde al valor del costo de transporte por las redes de distribución ($/kWh) (< 220 kV). Estos dos costos remuneran el transporte de energía desde las plantas de generación hasta el inmueble del usuario final.
El C (comercialización) es igual al costo de atención de clientela ($/kWh). Con este valor se remuneran los costos máximos asociados con la atención de los usuarios, tales como la facturación, lectura, atención de reclamos., etc.
El O (otros) corresponde a los costos adicionales del mercado mayorista que no se incluyen en los otros rubros, tal como las contribuciones que deben pagarse a la CREG y a la SSPD, los costos asignados a los comercializadores por restricciones en las redes y servicio de regulación secundaria de frecuencia y la utilización de otros servicios como son los del Centro Nacional de Despacho y los del Administrador del Sistema Intercambios Comerciales.
La P (pérdidas) representa el porcentaje reconocido de pérdidas de energía. Este porcentaje en 1998 fue del 20% con una reducción gradual, encontrándose actualmente en 14.75%. Con este mecanismo, se impide que el prestador del servicio traspase a los usuarios ineficiencias derivadas de no tener ni ejecutar planes de recuperación de las pérdidas.
Es pertinente señalar que cada uno de los componentes del Costo de Prestación del Servicio, están acompañados de indicadores que miden la eficiencia y la productividad de cada uno de ellos.
De acuerdo con la regulación vigente (Artículo 5o de la Resolución CREG-079 de 1997), los comercializadores de energía eléctrica pueden cobrar a sus Usuarios Finales Regulados, en el Sistema Interconectado Nacional, los siguientes cargos:
- Un Cargo por Unidad de Consumo, de acuerdo con diferentes opciones tarifarias y que representan la sumatoria de los diferentes componentes de costos explicados anteriormente.
- Un Cargo de Conexión, por una sola vez, en el momento de efectuar la conexión al servicio. Este Cargo comprende los costos asociados a la acometida y el medidor. (Resolución CREG 225/97)
- Un Cargo Mínimo por Disponibilidad del Servicio, únicamente cuando la liquidación de los consumos del usuario, junto con el cargo fijo que esté vigente, sea inferior a dicho cargo mínimo, en cuyo caso la aplicación de este cobro reemplaza la liquidación y cobro de los consumos del usuario y el cargo fijo correspondiente.
La Ley 142 de 1994 (Artículos 87, 89 y 99) y la Ley 143 de 1994 (Artículos 6o., 23 Literal h y 47), en desarrollo del principio de solidaridad y redistribución de ingresos ordenados por la Constitución Nacional, fijaron subsidios y contribuciones a la prestación del servicio de electricidad. Una vez se aplican estos subsidios y contribuciones, se obtienen las tarifas finales a aplicar a los usuarios para los diferentes estratos. Los porcentajes de subsidios y contribuciones que contienen las tarifas finales, no dependen de la CREG; estos son fijados por el Congreso a través de leyes. La CREG diseña la estructura tarifaria en los términos del mandato legal.
Durante el período de vigencia de las fórmulas, los comercializadores podrán actualizar los costos de prestación del servicio, aplicando las variaciones en los índices de precios que las fórmulas contienen, con sujeción a las normas sobre subsidios y contribuciones. Para efectos tarifarios el costo unitario de prestación del servicio (CU), se actualizará cada vez que éste acumule una variación de por lo menos el tres por ciento (3%) en alguno de los índices de precios que considera la fórmula, conforme a lo dispuesto en el artículo 125 de la ley 142 de 1994. En consecuencia, cada vez que el costo de prestación del servicio acumule una variación de por lo menos un tres por ciento (3%), se podrá modificar el costo de prestación del servicio.
La Ley 812 de 2003, varió los límites de subsidios a través de su Artículo 116. Dicho Artículo establece, que en el consumo de subsistencia, el incremento tarifario hasta el 2006 para los usuarios de estratos 1 y 2, deberá corresponder a la variación del IPC. A través de la Resolución CREG 118 de 2003, la CREG dio cumplimiento al Artículo 116 inciso 2º de la Ley 812 de 2003, para los Servicios de Energía Eléctrica y Gas Combustible por Red de Tubería.
GAS NATURAL
En primer lugar es necesario analizar las razones por las cuales se presentan variaciones en las tarifas del servicio público de gas natural por red en la actualidad, éstas son las siguientes:
1. Por actualización en los costos de prestación del servicio.
Las tarifas aplicables al servicio público domiciliario de gas combustible por redes de tubería a pequeños consumidores están regidas por la Resolución CREG-057 de 1996, CREG 007 de 2000 y CREG 011 de 2003, dependiendo si la empresa sirve un área de servicio exclusivo Las empresas que sirven áreas de servicio exclusivo son Gases del Norte del Valle, Gas de Risaralda, Gases del Quindío, Gas Natural del Centro, Alcanos de Colombia (Centro y Tolima) y Gas Natural Cundiboyacense. o no.
Acorde con lo dispuesto en estas Resoluciones, el cargo promedio máximo por unidad en $/m3, aplicable a los Usuarios Regulados del servicio público domiciliario de gas combustible por redes de tubería, esta conformada por los siguientes componentes:
G: Costo en $/m3 para compras de gas natural en campo de producción.
Este precio se actualiza cada seis meses con dos variables: los precios del mercado y el índice de devaluación de la moneda.
T: Costo en $/m3 para el transporte de gas en el Sistema Nacional de Transporte. Es decir el costo de transportar el gas desde los centros de producción hasta los centros de consumo.
Las tarifas de transporte de gas natural para Usuarios Regulados se calculan de acuerdo a la metodología establecida en la Resolución CREG 001 de 2000 y se actualizan mensualmente con el índice de devaluación.
D: Cargo en $/m3 permitido al Distribuidor por uso de la red. Es decir el cargo correspondiente a la utilización de la red de distribución local.
Este cargo se actualiza anualmente con el índice de inflación.
C o S: Cargo o margen máximo unitario de comercialización en $/m3. Es decir remunera los costos por lectura, facturación, atención al cliente, etc. Este cargo es fijo y se actualiza también anualmente por la inflación.
Es decir, como consecuencia de las actualizaciones de los anteriores componentes, las variaciones en las tarifas dependen del comportamiento del mercado internacional de combustibles y de los índices de devaluación e inflación de la moneda colombiana.
2. Por cambio en la metodología tarifaria:
La CREG determina la metodología tarifaria para el servicio público de gas natural cada cinco años, con base en los criterios tarifarios ordenados por la Ley 142/94 tales como eficiencia económica, suficiencia financiera, solidaridad y redistribución, entre otros.
Considerando lo anterior, la Resolución CREG 011 de 2003 modificó la metodología tarifaria determinada por la Resolución CREG 057 de 1996, para el caso de las empresas que no prestan el servicio en áreas de servicio exclusivo.
Como consecuencia del cambio en la metodología tarifaria, algunos componentes de la fórmula tarifaria, como es el caso de los cargos de distribución y comercialización de gas natural por red, presentaron variaciones en el presente año. Estos nuevos cargos de distribución y comercialización tienen una vigencia de cinco años y su impacto en la tarifa al usuario final, varían dependiendo del mercado. En el caso de empresas con un numero de usuarios mayor a 50.000, desde –11% para EEPPM hasta el 23% para Alcanos de Colombia S.A.
1. Y si este aumento es diario, mensual o anual.
Remitirse a la pregunta anterior.
Debemos sugerirle, la visita a nuestra página Web (www.creg.gov.co) donde además de encontrar el texto de la resolución mencionada podrá encontrar documentos de consulta y de estudio, otras resoluciones relacionadas con el tema, conceptos, documentos de discusión, etc. que le pueden ser de utilidad.
Esperamos que esta información sea de su utilidad y estamos atentos a resolver cualquier inquietud adicional.
Cordialmente,
SANDRA STELLA FONSECA ARENAS
Directora Ejecutiva