CIRCULAR 62 DE 2015
(Junio 1)
<Fuente: Archivo interno entidad emisora>
COMISIÓN DE REGULACIÓN DE ENERGÍA Y GAS - CREG
| PARA: | MONTAGAS S.A. E.S.P., SUPERINTENDENCIA DE SERVICIOS PÚBLICOS DOMICILIARIOS, ALCALDES MUNICIPALES DE LOS DEPARTAMENTOS DE CAUCA, NARIÑO, CAQUETÁ, PUTUMAYO Y HUILA, AUTORIDADES DE POLICÍA Y DEMAS INTERESADOS |
| DE: | DIRECCIÓN EJECUTIVA |
| ASUNTO: | MODIFICACIÓN DE LA CIRCULAR 043 DE 2015 SOBRE AUTORIZACIÓN DE MOVILIZACIÓN DE CILINDROS UNIVERSALES REMANENTES PARA DESTRUCCIÓN |
La CREG mediante Circular 043 de 2015 expidió la autorización de movilización de cilindros universales remanentes para destrucción según la información reportada por la empresa MONTAGAS S.A. E.S.P. y en cumplimiento de lo establecido en la Resolución CREG 164 de 2014.
La empresa MONTAGAS S.A. E.S.P. mediante comunicaciones con radicado CREG E–2015-004666, E-2015-005508 y E-2015-005829 solicitó a la Comisión modificar la información contenida en la Circular 043 de 2015 con el fin de que “se autoricen los traslados que fueron programados para las fechas relacionadas a continuación, ello debido a que por falta de la autorización expresa de la entidad no podían ser trasladados por nuestra empresa: (…)” y así mismo que solicita la “autorización de cambio de vehículo de traslados, por cuanto los autorizados inicialmente, han sufrido desperfectos mecánicos que han impedido, dar cumplimiento a la circular emitida por la CREG”.
En las mismas comunicaciones, la empresa MONTAGAS S.A. E.S.P. informa que en la Circular CREG 043 de 2015 “se omite la autorización para trasladar los cilindros de 100 libras/45kg que se deben transportar en las siguientes fechas: (…)”
Teniendo en cuenta lo anterior, revisada la información por parte de la CREG y conforme lo previsto en el artículo 8 de la Resolución CREG 164 de 2014 donde se establece que únicamente se podrán movilizar cilindros universales remanentes dentro del territorio nacional y con destino a la destrucción en talleres autorizados cuando exista una autorización expresa de la CREG emitida mediante circular, esta entidad se permite modificar los numerales 1 y 3 de la Circular 043 de 2015 de la siguiente forma:
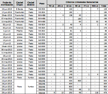
1. Se autoriza la empresa MONTAGAS S.A. E.S.P. la movilización con destino a la destrucción de los cilindros universales remanentes que se enlistan a continuación.

3. Los vehículos usados en la movilización de cilindros universales remanentes autorizada en el numeral 1 anterior no podrán por ningún motivo contener cilindros marcados con o sin gas durante dicha movilización. El detalle de los vehículos para realizar la movilización, según consta en el Sistema de Información de la Superintendencia de Servicios Públicos Domiciliarios es el siguiente:
| Empresa | Marca | Modelo | Placa | Capacidad (Ton) |
| MONTAGAS S.A. E.S.P. | Chevrolet | 1982 | NVH 488 | 6 |
| MONTAGAS S.A. E.S.P. | Ford Cargo | 2006 | AUS 830 | 10 |
| MONTAGAS S.A. E.S.P. | Cisterna – Referencia (Canastilla) | 1983 | R06348 | 3 |
| MONTAGAS S.A. E.S.P. | Chevrolet - Referencia | 1982 | NVI 954 | 9 |
Fuente: http://reportes.sui.gov.co/fabricaReportes/frameSet.jsp?idreporte=glp_tec_052
La demás información contenida en la Circular CREG 043 de 2015 se mantiene invariante y será la utilizada para efectos del cumplimiento de la Resolución CREG 164 de 2014.
Cordialmente,
JORGE PINTO NOLLA