BUSCAR search
ÍNDICE developer_guide
MEMORIA memory
DESARROLLOS attachment
MODIFICACIONES quiz
CONCORDANCIAS quiz
NOTIFICACIONES notifications_active
ACTOS DE TRÁMITE quiz

RESOLUCIÓN 85 DE 2004

(noviembre 18)

Diario Oficial No. 45.764 de 16 de diciembre de 2004

COMISIÓN DE REGULACIÓN DE ENERGÍA Y GAS

Por la cual se ordena hacer público un proyecto de resolución de carácter general que pretende adoptar la Comisión, por la cual se dictan disposiciones sobre la identificación de Indices de Precios contenidos en la Resolución CREG 011 de 2003, Fórmula Tarifaria General para Usuarios Regulados del servicio público de gas combustible por redes de tubería, para efectos de lo dispuesto en el artículo 125 de la Ley 142 de 1994.

LA COMISIÓN DE REGULACIÓN DE ENERGÍA Y GAS,

en ejercicio de sus facultades legales, en especial de las conferidas por las Leyes 142 y 143 de 1994 y en desarrollo de los Decretos 1524 y 2253 de 1994, y 2696 de 2004,

CONSIDERANDO:

Conforme a lo dispuesto por el artículo 9o del Decreto 2696 de 2004, la Comisión debe hacer públicos en su página web todos los proyectos de resoluciones de carácter general que pretenda adoptar, con las excepciones que allí se señalan, con antelación no inferior a treinta (30) días a la fecha de su expedición;

Que la Comisión de Regulación de Energía y Gas, en su sesión número 244 del 18 de noviembre de 2004, aprobó hacer público el proyecto de resolución, por la cual se identifican los Indices de Precios contenidos en la Fórmula Tarifaria General para Usuarios Regulados del servicio público de gas natural por redes de tubería, para efectos de lo dispuesto en el artículo 125 de la Ley 142 de 1994,

RESUELVE:

ARTÍCULO 1o. Hágase público el proyecto de resolución por la cual se identifican los Indices de Precios contenidos en la Fórmula Tarifaria General para Usuarios Regulados del servicio público de gas natural por redes de tubería, para efectos de lo dispuesto en el artículo 125 de la Ley 142 de 1994, anexo a la presente resolución, y los soportes técnicos del mismo.

ARTÍCULO 2o. Invítase a los agentes, los usuarios y la Superintendencia de Servicios Públicos Domiciliarios, para que remitan sus observaciones o sugerencias sobre la propuesta, dentro de los quince (15) días hábiles siguientes a la publicación de la presente resolución en la página web de la Comisión de Regulación de Energía y Gas.

ARTÍCULO 3o. Infórmese en la página web la identificación de la dependencia administrativa y de las personas a quienes se podrá solicitar información sobre el proyecto y hacer llegar las observaciones, reparos o sugerencias, y los demás aspectos previstos en el artículo 10 del Decreto 2696 de 2004.

ARTÍCULO 4o. La presente resolución no deroga disposiciones vigentes por tratarse de un acto de trámite.

Publíquese y cúmplase.

Dada en Bogotá, D. C., a 18 de noviembre de 2004.

El Viceministro de Minas y Energía

delegado del Ministro de Minas y Energía,

MANUEL MAIGUASHCA OLANO.

El Presidente.

La Directora Ejecutiva,

ANA MARÍA BRICEÑO MORALES.

ANEXO 1.

PROYECTO DE RESOLUCION.

Por la cual se identifican los Indices de Precios contenidos en la Fórmula Tarifaria General para Usuarios Regulados del servicio público de gas natural por redes de tubería, para efectos de lo dispuesto en el artículo 125 de la Ley 142 de 1994.

LA COMISIÓN DE REGULACIÓN DE ENERGÍA Y GAS,

en ejercicio de sus atribuciones legales, en especial de las conferidas por las Leyes 142 y 143 de 1994 y en desarrollo de los Decretos 1524 y 2253 de 1994, y

CONSIDERANDO:

Que de conformidad con lo establecido en el artículo 74 de la Ley 142 de 1994, le corresponde a la Comisión de Regulación de Energía y Gas regular el ejercicio de las actividades de los sectores de energía y gas combustible;

Que el artículo 125 de la Ley 142 de 1994 estableció que "Durante el período de vigencia de cada fórmula, las empresas podrán actualizar las tarifas que cobran a sus usuarios aplicando las variaciones en los índices de precios que las fórmulas contienen. Las nuevas tarifas se aplicarán a partir del día quince del mes que corresponda, cada vez que se acumule una variación de, por lo menos, un tres por ciento (3%) en alguno de los índices de precios que considera la fórmula";

Que mediante resolución CREG 112 de 2001 se definieron los índices y la variación de los mismos para la fórmula tarifaria contenida en la Resolución CREG 057 de 1996;

Que mediante la Resolución CREG-011 de 2003, la Comisión de Regulación de Energía y Gas estableció la Fórmula Tarifaria General para Usuarios Regulados del servicio público de gas combustible por redes de tubería en áreas de servicio no exclusivo;

Que las Fórmulas Tarifarias definidas por la Comisión de Regulación de Energía y Gas, en la mencionada Resolución, contienen Indices de Precios implícitos y propios de dichas fórmulas, los cuales es necesario identificar expresamente para la aplicación de lo dispuesto en el artículo 125 de la Ley 142 de 1994;

Que mediante la Resolución CREG-112 de 2001 la Comisión de Regulación de Energía y Gas definió y determinó, en forma general, la manera de calcular los índices de precios y la variación de los mismos;

Que la Comisión de Regulación de Energía y Gas considera necesario establecer una metodología para determinar las variaciones acumuladas en los índices de precios que dan lugar a la actualización de tarifas por parte de las empresas, de conformidad con lo previsto en el artículo 125 de la Ley 142 de 1994;

Que el día xxx la Comisión publicó en su página web el proyecto de resolución, por la cual se identifican los Indices de Precios contenidos en la Fórmula Tarifaria General para Usuarios Regulados del servicio público de gas natural por redes de tubería, para efectos de lo dispuesto en el artículo 125 de la Ley 142 de 1994;

Que la Comisión de Regulación de Energía y Gas, en su sesión número XXX del xx de xxx de 2004, acordó expedir la presente resolución,

RESUELVE:

ARTÍCULO 1o. DEFINICIONES. Para efectos de la presente resolución se adoptan las definiciones contenidas en el artículo 1o de la Resolución CREG 112 de 2001.

ARTÍCULO 2o. INDICES DE PRECIOS DE LA FÓRMULA TARIFARIA. Para efectos de lo dispuesto en el artículo 125 de la Ley 142 de 1994, identifícanse los Indices de Precios incluidos en el anexo de la presente resolución.

ARTÍCULO 3o. PUBLICACIÓN. La presente resolución rige a partir de su expedición. Deberá publicarse en el Diario Oficial y deroga las disposiciones que le sean contrarias.

Publíquese y cúmplase.

Dada en B ogotá, D. C., a 18 de noviembre de 2004.

El Viceministro de Minas y Energía

delegado del Ministro de Minas y Energía,

MANUEL MAIGUASHCA OLANO.

Presidente.

La Directora Ejecutiva,

ANA MARÍA BRICEÑO MORALES.

ANEXO.

IDENTIFICACION DE LOS INDICES DE PRECIOS.

1. Determinación de Indices de Precios

Los índices se determinan conforme se establecieron en el numeral 1 del anexo de la Resolución CREG 112 de 2001.

2. Variación de los Indices de Precios

La variación entre periodos de un componente se define conforme al numeral 2 del anexo de la Resolución CREG 112 de 2001.

3. Indices de Precios para usuarios regulados del servicio público de gas natural por redes de tubería

Con base en la fórmula definida en el artículo 32 de la Resolución CREG-011 de 2003, se identifican los índices asociados a cada uno de los componentes de la Fórmula Tarifaria General para usuarios regulados del servicio público de gas natural por redes de tubería para cada Distribuidor - Comercializador así:

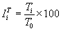
Componente Cargo Variable

donde:

:         Es el Indice de Precios definido para el componente del cargo variable

del rango j en el período i (año t, mes m).

:    Es el componente Cargo Variable del Servicio de Gas Natural ($/m3),

para el rango j período i (año t, mes m).

: Es el componente Cargo Variable del Servicio de Gas Natural ($/m3),

para el rango j aplicado en el período en el que se actualizó por última

vez el componente.

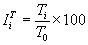
Componente Cargo Fijo

donde

: Es el Indice de Precios definido para el componente cargo fijo del

rango j en el período i (año t, mes m).

:   Es el componente Cargo Fijo del Servicio de Gas Natural ($/factura),

para el rango j período i (año t, mes m).

: Es el componente Cargo Fijo del Servicio de Gas Natural ($/factura),

para el rango j aplicado en el período en el que se actualizó por última

vez el componente.

Costo de Compra de Gas Natural

donde

: Es el Indice de Precios definido para el componente Gm en el período

i (año t, mes m).

: Es el Costo Promedio Máximo Unitario en $/m3 para Compras de Gas

Natural destinado a usuarios regulados, aplicable en el período i (año

t, mes m).

: Es el Costo Promedio Máximo Unitario en $/m3 para Compras de Gas

Natural destinado a usuarios regulados, aplicado en el período en el

que se actualizó por última vez el costo.

Costo de Transporte

donde

: Es el Indice de Precios definido para el componente Tm en el período i (año

t, mes m).

: Es el Costo Promedio Máximo Unitario en $/m3 para el Transporte de Gas

en el Sistema Nacional de Transporte, destinado a usuarios regulados,

aplicable en el período i (año t, mes m).

: Es el Costo Promedio Máximo Unitario en $/m3 para el Transporte de Gas

en el Sistema Nacional de Transporte, destinado a usuarios regulados,

aplicado en el período en el que se actualizó por última vez el costo.

Componente Variable Cargo de Distribución

donde

: Es el Indice de Precios definido para el componente variable del cargo

de distribución del rango j en el período i (año t, mes m)

: Es el componente variable del cargo de distribución por uso de la red,

en $/m3, del rango j en el período i (año t, mes m).

: Es el componente variable del cargo de distribución por uso de la red,

en $/m3, del rango j, aplicado en el período en el que se actualizó por

última vez el componente.

Componente Fijo Cargo de Distribución

donde

: Es el Indice de Precios definido para el componente fijo del cargo de

distribución del rango j en el período i (año t, mes m).

: Es el componente fijo del cargo de distribución por uso de la red, en

$/factura, del rango j en el período i (año t, mes m).

: Es el componente fijo del cargo de distribución por uso de la red, en

$/factura, del rango j, aplicado en el período en el que se actualizó por

última vez el componente.

Cargo de Comercialización

donde:

: Es el Indice de Precios definido para el componente Cm en el período i (año

t, mes m).

: Es el Cargo Máximo de Comercialización en $/factura, en el período i (año t,

mes m).

Co: Es el Cargo Máximo de co mercialización en $/factura aplicado en el período

en el que se actualizó por última vez el cargo.

4. Indices de Precios para usuarios regulados del servicio público de gas natural comprimido

Con base en la fórmula definida en el artículo 34 de la Resolución CREG-011 de 2003, se identifican los índices asociados a cada uno de los componentes de la Fórmula Tarifaria General para usuarios regulados del servicio público de gas natural comprimido para cada Distribuidor - Comercializador así:

Componente Cargo Variable

donde:

: Es el Índice de Precios definido para el componente del cargo variable

del rango j  en el período i  (año t, mes m).

: Es el componente Cargo Variable del Servicio de Gas Natural

Comprimido ($/m3), para el rango j  periodo i  (año t, mes m).

: Es el componente Cargo Variable del Servicio de Gas Natural

Comprimido ($/m3), para el rango j  aplicado en el periodo en el que se

actualizó por última vez el componente.

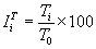
Componente Cargo Fijo

donde:

: Es el Índice de Precios definido para el componente cargo fijo del rango j  en el período i  (año t, mes m).

: Es el componente Cargo Fijo del Servicio de Gas Natural comprimido ($/factura), para el rango j  periodo i  (año t, mes m).

: Es el componente Cargo Fijo del Servicio de Gas Natural comprimido ($/factura), para el rango j aplicado en el periodo en el que se actualizó por última vez el componente.

Costo de Compra de Gas Natural

donde:

: Es el Índice de Precios definido para el componente Gm en el período i

(año t, mes m).

: Es el Costo Promedio Máximo Unitario en $/m3 para Compras de Gas Natural destinado a usuarios regulados, aplicable en el período i  (año t, mes m).

: Es el Costo Promedio Máximo Unitario en $/m3 para Compras de Gas Natural destinado a usuarios regulados, aplicado en el periodo en el que se actualizó por última vez el costo.

Costo de Transporte

donde:

: Es el Índice de Precios definido para el componente Tm en el período i (año t, mes m).

: Es el Costo Promedio Máximo Unitario en $/m3 para el Transporte de Gas en el Sistema Nacional de Transporte, destinado a usuarios regulados, aplicable en el período i  (año t, mes m).

: Es el Costo Promedio Máximo Unitario en $/m3 para el Transporte de Gas en el Sistema Nacional de Transporte, destinado a usuarios regulados, aplicado en el periodo en el que se actualizó por última vez el costo.

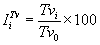
Costo de Transporte Gas Comprimido

donde:

: Es el Índice de Precios definido para el componente Tvm en el período i  (año t, mes m).

: Es el Costo Máximo Unitario en $/m3 para el Transporte de Gas natural comprimido en vehículos de carga, aplicable en el período i  (año t, mes m).

: Es el Costo Máximo Unitario en $/m3 para el Transporte de Gas natural comprimido en vehículos de carga, aplicado en el periodo en el que se actualizó por última vez el costo.

Costo de Compresión

donde:

: Es el Índice de Precios definido para el componente Pm en el período i  (año t, mes m)

: Es el Costo de compresión en $/m3, en el período i  (año t, mes m).

: Es el Costo de compresión en $/m3 aplicado en el periodo en el que se actualizó por última vez el costo

Componente Variable Cargo de Distribución

donde:

: Es el Índice de Precios definido para el componente variable del cargo de distribución del rango j  en el período i  (año t, mes m)

: Es el componente variable del cargo de distribución por uso de la red, en $/m3, del rango j  en el período i  (año t, mes m).

: Es el componente variable del cargo de distribución por uso de la red, en $/m3, del rango j , aplicado en el periodo en el que se actualizó por última vez el componente.

Componente Fijo Cargo de Distribución

donde:

: Es el Índice de Precios definido para el componente fijo del cargo de distribución del rango j  en el período i  (año t, mes m)

: Es el componente fijo del cargo de distribución por uso de la red, en $/factura, del rango j  en el período i  (año t, mes m).

: Es el componente fijo del cargo de distribución por uso de la red, en $/factura, del rango j , aplicado en el periodo en el que se actualizó por última vez el componente.

Cargo de Comercialización

donde:

: Es el Índice de Precios definido para el componente Cm en el período i  (año t, mes m)

: Es el Cargo Máximo de Comercialización en $/factura, en el período i  (año t, mes m).

: Es el Cargo Máximo de comercialización en $/factura  aplicado en el periodo en el que se actualizó por última vez el cargo.

5. Indices de Precios para usuarios regulados del servicio público de distribución de GLP

Con base en la fórmula definida en el artículo 40 de la Resolución CREG-011 de 2003, se identifican los índices asociados a cada uno de los componentes de la Fórmula Tarifaria General para usuarios regulados del servicio público de distribución de GLP para cada Distribuidor - Comercializador así:

Componente Cargo Variable

donde:

: Es el Índice de Precios definido para el componente del cargo variable del rango j  en el período i  (año t, mes m).

: Es el componente Cargo Variable del Servicio de GLP ($/m3), para el rango j  periodo i  (año t, mes m).

: Es el componente Cargo Variable del Servicio de GLP ($/m3), para el rango j aplicado en el periodo en el que se actualizó por última vez el componente.

Componente Cargo Fijo

donde:

: Es el Índice de Precios definido para el componente cargo fijo del rango j en el período i  (año t, mes m).

: Es el componente Cargo Fijo del Servicio de GLP ($/factura), para el rango j  periodo i  (año t, mes m).

: Es el componente Cargo Fijo del Servicio de GLP ($/factura), para el rango j  aplicado en el periodo en el que se actualizó por última vez el componente.

Ingreso por Producto al Gran Comercializador

Tal y como se definió en el numeral 5 del anexo de la resolución CREG 112 de 2001.

Ingreso al Gran Comercializador por Transporte

Tal y como se definió en el numeral 5 del anexo de la resolución CREG 112 de 2001.

Margen del Comercializador Mayorista

Tal y como se definió en el numeral 5 del anexo de la resolución CREG 112 de 2001.

Costo de Transporte Terrestre

donde:

: Es el Índice de Precios definido para el componente Tt en el período i  (año t, mes m).

: Es el Costo del transporte terrestre en $/gal desde los terminales de entrega hasta los municipios donde se distribuye el producto, aplicable en el período i  (año t, mes m).

: Es el Costo del transporte terrestre en $/gal desde los terminales de entrega hasta los municipios donde se distribuye el producto, aplicado en el periodo en el que se actualizó por última vez el costo.

Componente Variable Cargo de Distribución

donde:

: Es el Índice de Precios definido para el componente variable del cargo de distribución del rango j  en el período i  (año t, mes m)

: Es el componente variable del cargo de distribución por uso de la red, en $/m3, del rango j  en el período i  (año t, mes m).

: Es el componente variable del cargo de distribución por uso de la red, en $/m3, del rango j , aplicado en el periodo en el que se actualizó por última vez el componente.

Componente Fijo Cargo de Distribución

donde:

: Es el Índice de Precios definido para el componente fijo del cargo de distribución del rango j  en el período i  (año t, mes m)

: Es el componente fijo del cargo de distribución por uso de la red, en $/factura, del rango j  en el período i  (año t, mes m).

: Es el componente fijo del cargo de distribución por uso de la red, en $/factura, del rango j , aplicado en el periodo en el que se actualizó por última vez el componente.

Cargo de Comercialización

donde:

: Es el Índice de Precios definido para el componente Cm en el período i  (año t, mes m)

: Es el Cargo Máximo de Comercialización en $/factura, en el período i  (año t, mes m).

: Es el Cargo Máximo de comercialización en $/factura aplicado en el periodo en el que se actualizó por última vez el cargo.

El Viceministro de Minas y Energía

delegado del Ministro de Minas y Energía,

MANUEL MAIGUASHCA OLANO,

Presidente.

La Directora Ejecutiva,

ANA MARÍA BRICEÑO MORALES.

×
Volver arriba