CONCEPTO 7189 DE 2017
<Fuente: Archivo interno entidad emisora>
COMISIÓN DE REGULACIÓN DE ENERGÍA Y GAS - CREG
Bogotá, D.C.,
XXXXXXXXXXXXXXX
Asunto: Sus comunicaciones de radicado CREG No. E-2017-007189 y E-2017-007710 de asunto: “Cálculo de Gm para GLP”
Respetada XXXXX:
En su comunicación nos escribe lo siguiente:
“(…) El presente es con el fin de solicitar aclaración sobre el tema de actualización de los costos tarifarios de GLP en la componente Gm. Para establecer el costo Gm trasladable al usuario final se debe calcular como el precio medio ponderado considerando los costos de contratos resultados de las OPC más los costos de compras de GLP adquirida de forma directas. (…)”
En primer lugar, le informamos que la CREG tiene la función de regular(1) los servicios públicos domiciliarios de energía eléctrica, gas natural y gas licuado del petróleo, GLP(2). Así mismo, regula algunos aspectos de los servicios públicos de combustibles líquidos(3). Le corresponde a esta Entidad emitir conceptos de carácter general y abstracto sobre los temas materia de su regulación. Sin embargo en ejercicio de su función consultiva, la Comisión no se pronuncia mediante concepto sobre asuntos particulares en desarrollo de la prestación de los servicios públicos domiciliarios de energía eléctrica y gas combustible.
Ahora bien, como lo plantea en su comunicación, la componente G, que hace referencia al costo de suministro de GLP dentro del costo unitario del servicio, y que corresponde al costo máximo que un distribuidor o comercializador minorista le puede trasladar a un usuario regulado por sus compras de GLP, es calculado como el promedio ponderado, por cantidades, de dichas compras, considerando todas las fuentes de las que se surte la planta de envasado desde la que se atiende al usuario.
La forma en que se determina el costo máximo de suministro que puede ser trasladado a un usuario regulado fue definida mediante Resolución CREG 180 de 2009, “Por la cual se aprueba la fórmula tarifaria general que permite a los Distribuidores y Comercializadores Minoristas establecer los costos de prestación del servicio de Gas Licuado de Petróleo - GLP, a usuarios regulados” y en la Resolución CREG 004 de 2010, “Por la cual se aprueba la fórmula tarifaria general que permite a los Distribuidores y a los Comercializadores Minoristas establecer los costos de prestación del servicio de GLP a usuarios regulados, en el Archipiélago de San Andrés, Providencia y Santa Catalina”.
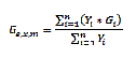
A continuación se transcribe la fórmula de cálculo prevista en la Resolución CREG 180 de 2009, la cual fue replicada en la Resolución CREG 004 de 2010:
“(…) ARTÍCULO 4. Costo máximo de traslado de compras de GLP. (Ge,x,m). El costo máximo por compras de GLP que se trasladará a los usuarios regulados será el promedio ponderado en $/kg, de acuerdo con el origen del gas, del costo de las compras de GLP con destino a la Planta de Envasado e, de la empresa x, en el mes m:

Donde:
| es el costo de compra de gas de la Planta de Envasado e, de la empresa distribuidora x, para el mes m. | |
| es la fuente u origen del gas según lo establecido en la Resolución CREG 066 de 2007 o aquellas que la modifiquen o sustituyan (Barranca, Apiay, Cartagena, importado, otras). | |
| es la cantidad de gas proveniente de la fuente i utilizada en la Planta de Envasado e de la empresa x en el mes m. | |
| es el precio cobrado por el Comercializador Mayorista al Distribuidor para el gas proveniente de la fuente i, de acuerdo con lo establecido en la Resolución CREG 066 de 2007 y aquellas que la modifiquen y la sustituyan. | |
| número de fuentes de producción de GLP utilizadas para suministrar GLP a la Planta de Envasado e de la empresa x en el mes m. |
Parágrafo 1. Bajo ninguna circunstancia el Distribuidor o el Comercializador Minorista podrá trasladar a los usuarios regulados costos de producción de gas superiores al precio máximo regulado vigente, o al precio de compra, según sea el caso.
Parágrafo 2. El Distribuidor tiene la obligación de distinguir el origen del gas envasado y el contrato firme de compra correspondiente, con el objeto de aplicar la fórmula establecida en este artículo y en caso de que las autoridades requieran de esta información, para propósitos de control y vigilancia (…)” Resaltado y subrayado fuera de texto
Como se observa, se define que el precio máximo de suministro es el “promedio ponderado en $/kg, de acuerdo con el origen del gas”. La fuente u origen del gas se debe determinar “según lo establecido en la Resolución CREG 066 de 2007 o aquellas que la modifiquen o sustituyan”.
Mediante Resolución CREG 066 de 2007, la CREG estableció el marco tarifario para el suministro de GLP al servicio público domiciliario, diferenciando entre el régimen aplicable al GLP comercializado por Ecopetrol, para el cual aplica precio máximo regulado, y el régimen aplicable al GLP comercializado por cualquier otro mayorista, para el cual se estableció libertad de precios.
Actualmente el GLP proveniente de las fuentes Apiay, Barrancabermeja, Cartagena, Cusiana y Dina, y el GLP importado que comercialice Ecopetrol está sujeto al régimen de precio máximo regulado. El precio del GLP proveniente de otras fuentes, sea de producción nacional o importado, “se determinarán libremente, sin sujeción a topes máximos, bajo el régimen de libertad vigilada que consagra la Ley 142 de 1994”.
El costo de suministro máximo (G) que un distribuidor o comercializador minorista puede trasladar a un usuario regulado es el promedio ponderado del costo del GLP con el que se abastece la planta de envasado respectiva desde donde se atiende, en donde se tomará el precio máximo regulado cuando el GLP provenga de alguna de las fuentes comercializadas por Ecopetrol, o el que conste en los contratos de suministro, cuando el GLP provenga de fuentes de precio libre. Es obligación del distribuidor identificar la procedencia del gas y contar con el respectivo contrato de suministro que soporte el costo del producto.
En los anteriores términos damos por atendida su solicitud. Los conceptos aquí emitidos tienen el alcance previsto en el numeral 73.24 del artículo 73 de la Ley 142 de 1994 y por el artículo 28 del Código de Procedimiento Administrativo y de lo Contencioso Administrativo, sustituido por el artículo 2 de la Ley 1755 de 2015.
Cordialmente,
GERMÁN CASTRO FERREIRA
Director Ejecutivo
1. La función de regulación se define como “la facultad de dictar normas de carácter general o particular en los términos de la Constitución y de esta ley, para someter la conducta de las personas que prestan los servicios públicos domiciliarios a las reglas, normas, principios y deberes establecidos por la ley y los reglamentos”, según la Ley 142 de 1994, artículo 14, numeral 18.
2. Ley 142 de 1994, artículo 73; Ley 143 de 1994, artículo 23; y Decreto 1260 de 2013.