BUSCAR search
ÍNDICE developer_guide
MEMORIA memory
DESARROLLOS attachment
MODIFICACIONES quiz
CONCORDANCIAS quiz
NOTIFICACIONES notifications_active
ACTOS DE TRÁMITE quiz

CONCEPTO 4668 DE 2009

(Octubre)

<Fuente: Archivo interno entidad emisora>

COMISIÓN DE REGULACIÓN DE ENERGÍA Y GAS - CREG

Bogotá, D.C.,

XXXXXXXXXXXXXXX

Asunto: Su comunicación por correo electrónico

Radicado TL-2009-000031

Respetada XXXXX:

Hemos recibido su comunicación radicada con el número de la referencia en la que nos manifiesta: “en el año 2007 se pagaba una tarifa mensual de 14.000, para el año 2008 pagamos una tarifa promedio de 23.000 y en la actualidad pagamos una tarifa promedio 32.000 pesos, solcitamos una inspeccion a esta empresa y el mes siguente se redujo este pago en un 35% el mes siguente nuevamente realizaron el cobro indiscriminado e injustificado. Por tal razon solicito muy respetuosamente se me informe el uamento y tarifas establecidas pra el estrato 1 que es en el que me encuentro. Hay con migo 6 personas habitando en mi residencia y no tengo ningun negocio sic”.

Al respecto, de la manera más atenta nos permitimos aclararle que la CREG establece las formulas tarifarias que deben aplicar los prestadores del servicio, en ese sentido para conoer las razones específicas por las cuales hubo cambios de sus tarifas en los meses que usted menciona, le recomendamos que usando el derecho que usted tiene se dirija a su prestador de servicio para que sea este quien le explique las variaciones que ha sufrido la tarifa y el por qué de las mismas.

En caso de que la respuesta no sea satisfactoria le comentamos que es la Superintendencia de Servicios Públicos Domiciliarios la entidad encargada de vigilar que las empresas estén actualizando las tarifas dentro del marco legal establecido. Por lo tano, si usted considera que la empresa está cometiendo alguna arbitrariedad usted puede presentar los recursos de reposición (ante la misma empresa) y de apelación ante la Superintendencia de Servicios Públicos Domiciliarios entidad encargada de la vigilancia y control de las empresas prestadoras de este servicio.

No obstante, lo anterior nos permitimos informarle lo que se encuentra establecido sobre la fórmula de la prestación del servicio de gas combustible por redes:

El costo unitario de prestación del servicio resulta de agregar los costos de las actividades de producción, transporte, distribución y comercialización, las cuales forman parte de la cadena de prestación del servicio.

La metodología tarifaria del servicio público de gas combustible por redes de tubería se encuentra establecida en la Resolución CREG 011 de 2003. En ésta se determina que la fórmula tarifaria general aplicable a los usuarios regulados del servicio domiciliario de distribución de gas natural es la siguiente:

Cargo Variable

Cargo Fijo

J =Rango j de consumo.
m =Mes de prestación del servicio.
Gm =Costo promedio máximo unitario para compras de gas natural destinado a Usuarios Regulados, aplicable en el mes m, expresado en $/m3.
Tm =Costo promedio máximo unitario para el transporte de gas natural destinado a Usuarios Regulados a través del Sistema Nacional de Transporte, aplicable en el mes m, expresado en $/m3.
p = Porcentaje reconocido de pérdidas de gas en el Sistema Nacional de Transporte y en el Sistema de Distribución, equivalente a 3.5%, desagregado en un 1% para el Sistema Nacional de Transporte y un 2.5% para el Sistema de Distribución.
Dvjm =Componente variable del cargo de distribución permitido al Distribuidor por uso de la red, aplicable en el mes m, correspondiente al rango j de consumo, expresado en $/m3. No incluye la conexión.
Dfjm =Componente fijo del cargo de distribución, aplicable en el mes m, correspondiente al rango j de consumo, expresado en $/factura. El componente fijo para los usuarios del primer rango de consumo de la canasta de tarifas será igual a cero.
Cm =Cargo máximo de Comercialización del mes m expresado en $/factura.

De otro lado, para cada uno de los componentes se tiene:

- COMPRAS DE GAS

El costo promedio máximo unitario para compras de gas (Gm) se calcula con base en la siguiente expresión:

Gm = Costo promedio máximo unitario para compras de gas natural para el mercado de Comercialización, aplicable en el mes m, expresado en $/m3.
CTGm-1 = Costo total de compras de gas destinado al mercado de Usuarios Regulados, sin incluir pérdidas de gas, costos de transporte, penalizaciones, compensaciones, intereses de mora u otros cargos no regulados, expresado en USD.
Em-1 =Volumen de gas medido en el mes m-1 en las Estaciones de Puerta de Ciudad, expresado en términos de energía con el Poder Calorífico promedio del gas medido en dichas Estaciones de Puerta de Ciudad (MBTU).
TRMm-1 =


PCm-1 =
Tasa de Cambio Representativa del Mercado del último día del mes m-1.

Poder Calorífico del gas en el mes m-1, expresado en MBTU/m3, calculado de acuerdo con el procedimiento establecido en la Resolución CREG-067 de 1995 o aquellas que la sustituyan, complementen o modifiquen.

Así mismo, se establece que bajo ninguna circunstancia el Comercializador podrá trasladar a los usuarios regulados costos promedios de compra de gas superiores al Precio Máximo Regulado, cuando el gas comprado esté sometido a dicho Precio.

En relación con esta variable es importante precisar que el costo del gas está asociado a los precios del mercado y el índice de devaluación de la moneda.

- TRANSPORTE

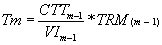
El costo promedio máximo unitario de transporte de gas (Tm), se calculará con base en la siguiente expresión:

Tm =Costo promedio máximo unitario para el transporte de gas natural al mercado de Comercialización, aplicable en el mes m, expresado en $/m3.
CTTm-1 =Costo total de transporte de gas en el mes m-1, causado por el volumen efectivamente transportado incluyendo los cargos por capacidad y los cargos por volumen, en USD, destinado a Usuarios Regulados, sin incluir penalizaciones, compensaciones o intereses de mora. Se deben incluir los pagos por concepto de impuesto de transporte y otras contribuciones relativas al mismo. En el caso en que el Comercializador reciba ingresos adicionales por la venta de capacidad contratada con anterioridad, el CTTm-1 será el neto entre los costos totales por concepto de transporte y los ingresos por venta de capacidad.
VIm-1=Volumen de gas medido en condiciones estándar en el mes m-1 en las Estaciones de Puerta de Ciudad, según sea el caso (m3).
TRM(m-1) =Tasa de Cambio Representativa del Mercado en el último día del mes m-1.

Bajo ninguna circunstancia el Comercializador podrá trasladar a los usuarios costos de transporte de gas superiores a los resultantes de aplicar lo dispuesto por la CREG para el servicio de transporte a usuarios regulados.

- DISTRIBUCIÓN

El cargo promedio de distribución se determina como la relación entre el valor presente descontado de los costos de inversión y los gastos de AOM, y el valor presente de la demanda de volumen.

La metodología de la Resolución CREG 011 de 2003 establece que con base en el cargo promedio de distribución aprobado por la Comisión (Resolución independiente por mercado relevante), el Distribuidor puede aplicar una metodología de canasta de tarifas en donde el cargo más alto (cargo techo) aplicable al rango de consumo no podrá exceder el 10% del cargo promedio de distribución y el cargo más bajo (cargo piso) o aquel aplicable a los usuarios de más alto consumo, no deberá ser menor al costo medio de la red primaria.

Los cargos definidos aplicando la metodología de canasta de tarifas son cargos máximos por rango. No obstante, el Distribuidor podrá ofrecer cargos menores en cada rango considerando que sean iguales para todos los usuarios del mismo rango, conservando una tendencia descendente, teniendo en cuenta lo establecido en los artículos 34 y 98 de la Ley 142 de 1994 y no afectando los cargos máximos definidos con la aplicación de la metodología de canasta de tarifas.

Los cargos promedios de distribución aprobados en resoluciones particulares de la CREG, expresados en pesos de Fecha Base (fecha de referencia que se tiene en cuenta para realizar el cálculo de los cargos de distribución y corresponde al 31 de diciembre del año anterior de la solicitud tarifaria), se actualizan mes a mes de acuerdo con la siguiente fórmula general:

Donde,

Dm =Cargo Promedio de Distribución correspondiente al mes m de prestación del servicio.
Do =Cargo Promedio de Distribución aprobado por resolución de la CREG y expresado en precios de la fecha base.
IPPm-1 =Indice de Precios al Productor Total Nacional reportado por el Banco de la República para el mes (m-1).
IPPO =Indice de Precios al Productor Total Nacional reportado por el Banco de la República para la fecha base del cargo por distribución D0.
XD =Factor de productividad mensual de la actividad de Distribución equivalente a 0.00106. Dicho factor aplicará a partir de la entrada en vigencia de la resolución que establece el Cargo Promedio de Distribución para cada mercado.
nm =Número de meses transcurrido desde la entrada en vigencia de la resolución que establece el Cargo Promedio de Distribución para cada mercado hasta el Cargo de Comercialización para cada   mercado, hasta el mes m.

- COMERCIALIZACIÓN

El cargo máximo base de comercialización C0, definido de acuerdo con la Resolución CREG 011 de 2003, se determinará como el cociente de la suma de los componentes a) y b) descritos a continuación, sobre el número de facturas del año para el cual se tomaron los parámetros de cálculo de dichos componentes.

a) Los gastos anuales de AOM y la depreciación anual de las inversiones en equipos de cómputo, paquetes computacionales y demás activos atribuibles a la actividad de Comercialización que resulten de aplicar la metodología de Análisis Envolvente de Datos, tal como se describe en el Anexo 7 de la Resolución CREG 011 de 2003.

b) El ingreso anual del Comercializador correspondiente al año en el cual se efectuaron los cálculos de los gastos de AOM multiplicado por un margen de comercialización de 1.67%.

El Cargo de Comercialización se actualiza mensualmente utilizando la siguiente fórmula:

Donde,

Cm =Cargo máximo de comercialización, expresado en pesos por factura, correspondiente al mes m de prestación del servicio.
Co =Cargo base de comercialización aprobado por la CREG para cada mercado, expresado en pesos por factura, a precios de la fecha base.
IPCm-1 =Indice de Precios al Consumidor reportado por el DANE para el mes   (m-1).
IPCo =Indice de Precios al Consumidor reportado por el DANE para la fecha   base del Cargo por Comercialización Co.
XC =El factor de productividad mensual de la actividad de Comercialización  será 0.00125. Dicho factor aplicará a partir de la entrada en vigencia   de la resolución que establece el Cargo Base de Comercialización   para cada mercado.
nm =Número de meses transcurrido desde la entrada en vigencia de la Resolución que establece el Cargo de Comercialización para cada   mercado, hasta el mes m.

- SUBSIDIOS Y CONTRIBUCIONES

Es de indicar que las tarifas de los usuarios incluyen los porcentajes de subsidio para el estrato 1 y 2 y de contribución para los estratos 5 y 6, comerciales e industriales.

La normatividad sobre el tema de subsidios y contribuciones para los servicios públicos se puede consultar la reglamentación que se enumera a continuación:

- El Régimen de Servicios Públicos Domiciliarios (Ley 142 de 1994).

- La Ley 286 de 1996, por la cual se modifican parcialmente las ley 142

- La resolución CREG 124 de 1996, por la cual se verifican los factores de contribución a aplicar y los subsidios a otorgar a los usuarios de las empresas distribuidoras de gas natural por redes y el programa de ajuste a los límites legales.

- La resolución CREG 015 de 1997, por la cual se verifica el factor de contribución aplicable a usuarios industriales y comerciales del servicio de gas natural por red

- La Ley 1117 de 2006, Por la cual se Expiden Normas sobre Normalización de Redes Eléctricas y Subsidios para Estratos 1 y 2.

- Las Resoluciones CREG 001 de 2007 y CREG 006 de 2007, Por la cual se da cumplimiento a lo establecido en el Artículo 3o de la Ley 1117 de 2006 en relación con los subsidios de usuarios a estratos1 y 2 de los servicios de Energía Eléctrica y de Gas Combustible por Redes de Tubería”.

En resumen de esta normatividad se tiene que los porcentajes de subsidio para los usuarios de estrato 1 y 2 de los servicios de gas combustible en relación con sus consumos básicos o de subsistencia deberán ser como máximo del (60%) del Costo de prestación del servicio para el estrato 1 y como máximo del (50%) para el estrato . Ahora bien, los usuarios de gas combustible pertenecientes a los estratos 3 y 4 del gas combustible, no son sujetos de subsidio, a la vez que quedan exentos por Ley del pago de contribución.

El consumo de subsistencia para el servicio público de gas natural, tal y como está establecido en el numeral 107.2 de la Resolución CREG 057 de 1996 es de 20 m3, los consumos por encima de este valor de los usuarios subsidiables son facturados al costo pleno de prestación del servicio.

De otro lado, el factor de contribución que deben sufragar los usuarios residenciales de estratos 5 y 6, es del veinte por ciento (20%) sobre el valor del servicio y 8.9% para los usuarios comerciales e industriales.

De acuerdo con lo citado anteriormente, se concluye que los cambios en cada uno de los componentes de la tarifa dependen de diversos factores: (i) el costo de gas, (ii) la tasa representativa del mercado, (iii) las condiciones económicas de los contratos de compra y transporte de gas y (iv) el origen y la trayectoria del gas comprado, entre otros. Para las actividades de distribución y comercialización la variación depende de los cambios en los indicadores económicos del IPC e IPP.

En los anteriores términos damos por atendida su solicitud. Los conceptos aquí emitidos tienen el alcance previsto en el artículo 25 del Código Contencioso Administrativo.

Cordialmente,

HERNÁN MOLINA VALENCIA

Director Ejecutivo

×
Volver arriba