CONCEPTO 3012 DE 2017
(julio 12)
<Fuente: Archivo interno entidad emisora>
COMISIÓN DE REGULACIÓN DE ENERGÍA Y GAS - CREG
XXXXXXXXXXXXXXX
| Asunto: | Respuesta a inquietudes sobre rubros factura energía eléctrica Radicado TL-2017-000318 |
Respetada señora XXXXX:
Hemos recibido su comunicación de la referencia en donde nos consulta lo siguiente:
¿Dentro del cobro en la factura de energía eléctrica, se incluye algún tipo de rubro para inversión en planta y medios, ya sea para empresas generadoras, transportadoras, comercializadoras etc. de éste servicio?
Antes de dar respuesta a su solicitud, nos permitimos manifestarle que la Comisión de Regulación de Energía y Gas tiene competencia para expedir la regulación de los sectores de electricidad y gas combustible, en el contexto de servicios públicos domiciliarios, según las funciones señaladas en las leyes 142 y 143 de 1994, y para emitir conceptos de carácter general y abstracto sobre los temas materia de su regulación.
Por tal razón, es importante precisar que en desarrollo de la función consultiva, la Comisión de Regulación de Energía y Gas, CREG, no tiene dentro de sus funciones dirimir casos particulares entre comercializadores de energía y usuarios, pues ello corresponde a las autoridades competentes mediante los procedimientos de rigor.
Respecto a su inquietud, debe considerar el efecto de varios aspectos, por un lado, la formación del costo unitario de prestación del servicio de energía eléctrica, el consumo que puede tener en cada uno de los casos, la aplicación de los subsidios y contribuciones estipulados por la ley de servicios públicos ley 142 de 1994 y la aplicación de dichas contribuciones acorde a lo definido por la Resolución CREG 241 de 2015.
En los siguientes apartes se procede a presentar los elementos a tener en consideración señalando que puede ampliar el análisis considerando el texto completo de la normatividad citada.
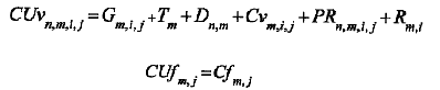
En primera instancia en la formación del costo unitario de la energía eléctrica puede referirse a lo señalado en el artículo 4 de la Resolución CREG 119 de 2007, donde se define la fórmula tarifaria
Artículo 4 Costo Unitario de Prestación del Servicio de Energía Eléctrica El Costo Unitario de Prestación del Servicio consta de un componente variable de acuerdo con el nivel de consumo, expresado en $/kWh, y un componente fijo, expresado en $/factura, según se indica a continuación:

Donde:
n: Nivel de tensión de conexión del usuario.
m: Es el mes para el cual se calcula el Costo Unitario de Prestación del Servicio.
i: Comercializador Minorista.
j: Es el Mercado de Comercialización.
CUvn,m,i,j : Componente variable del Costo Unitario de Prestación del Servicio ($/kWh) para los usuarios conectados al nivel de tensión n, correspondiente al mes m, del Comercializador Minorista i, en el Mercado de Comercialización j.
Gm,i,j : Costo de compra de energía ($/kWh) para el mes m, del Comercializador Minorista i, en ei Mercado de Comercialización j, determinados conforme se establece en el Capítulo III de la presente Resolución.
Tm : Costo por uso del Sistema Nacional de Transmisión ($/kWh) para el mes m determinado conforme al Capítulo IV de la presente Resolución.
Dn,m : Costo por uso de Sistemas de Distribución ($/kWh) correspondiente al nivel de tensión n para el mes m, determinados conforme al Capítulo IV de la presente Resolución.
Cv,m,i,j : Margen de Comercialización correspondiente al mes m, del Comercializador Minorista i, en el Mercado de Comercialización j que incluye los costos variables de la actividad de comercialización, expresado en ($/kWh) y determinado conforme al Capítulo V de la presente Resolución.
Rm,i : Costo de Restricciones y de Servicios asociados con generación en $/kWh asignados al Comercializador Minorista i en el mes m, conforme al Capítulo VI de la presente Resolución.
PRn,m,i,j : Costo de compra, transporte y reducción de pérdidas de energía ($/kWh) acumuladas hasta el nivel de tensión n, para el mes m, del Comercializador Minorista i, en el Mercado de Comercialización j, determinado conforme se establece en el Capítulo Vil de la presente Resolución.
CUfm,j : Componente fija del Costo Unitario de Prestación del Servicio ($/factura) correspondiente al mes m para el Mercado de Comercialización j.
Cfm,j : Costo Base de Comercialización ($/factura) correspondiente al mes m, para el Mercado de Comercialización j.
PARÁGRAFO 1: El costo máximo del servicio en un período dado corresponderá a la suma de: i) el producto entre el consumo en kWh en dicho período y el componente variable del costo unitario CUv n,m,i,j
; y ii) el valor del componente fijo del costo unitario CUf m,j
Donde se agregan los costos de las diferentes actividades en la formación del costo unitario de la energía eléctrica, que puede cobrar el comercializador que la atiende.
Respecto a ios costos de inversión y de medios formulados en la inquietud es importante señalar que la remuneración de las actividades de transmisión, distribución y comercialización, incluye los rubros de inversión, de administración, operación y mantenimiento - AOM, eficientes, en virtud del principio de eficiencia económica establecido en el numeral 87.1 del artículo 87 de la Ley 142 de 1994, “(...) el régimen de tarifas procurará que éstas se aproximen a lo que serían los precios de un mercado competitivo
En cuanto al componente de generación hay que precisar que la Comisión no regula como tal la remuneración de los generadores. Estos agentes participan en el mercado de energía donde diariamente hacen sus ofertas de precios en la bolsa de energía. Adicionalmente venden energía a través de contratos de largo plazo que celebran con los comercializadores para atender la demanda y compiten en las subastas del cargo por confiabilidad. En este contexto corresponde a cada agente generador considerar en las ofertas que realiza en cada una de estos aspectos del mercado la remuneración correspondiente a las inversiones que realiza.
La metodología correspondiente a la transmisión eléctrica fue definida mediante la Resolución CREG 011 de 2009, específicamente en el artículo 4, y el capítulo 2 tratan sobre el tema consultado.
Para la metodología de remuneración de la distribución puede remitirse Resolución CREG 097 de 2008 en especial los numerales 2.2.1 Costo Anual de Inversión, 2.2.2 Costo Anual de AOM así como el capítulo 3 cálculo de cargos por nivel de tensión.
Finalmente la actividad de comercialización se remunera mediante el margen de comercialización, donde se hace una evaluación de costos fijos y variables establecidos en los artículos 11 y 12 de la Resolución CREG 180 de 2014 y mediante un factor de eficiencia se evalúan dichos costos el cual se puede observar en el anexo 1 de la citada resolución.
El texto completo de la normatividad mencionada en la presente comunicación puede consultarlo en la página web de la Comisión, www.creg.gov.co, bajo el vínculo “Regulaciones” y luego “Resoluciones[1]”.
En los anteriores términos damos por atendida su solicitud. Los conceptos aquí emitidos tienen el alcance previsto en los artículos 73.24 de la Ley 142 de 1994 y 28 del Código de Procedimiento Administrativo y de lo Contencioso Administrativo.
Cordialmente,
CHRISTIAN JARAMILLO HERRERA
Director Ejecutivo (E)
1. http://apolo.creg.gov.co/Publicac.nsf/Documentos-Resoluciones?openview