CONCEPTO 2831 DE 2007
(noviembre 6)
<Fuente: Archivo interno entidad emisora>
COMISIÓN DE REGULACIÓN DE ENERGÍA Y GAS - CREG
Bogotá D.C.,
XXXXXXXXXXXXXXX
| Asunto: | Información sobre Tarifas. |
| Comunicación vía e-mail | |
| Radicado CREG E-2007-008213. | |
Apreciado XXXXX:
Hemos recibido la comunicación de la referencia, mediante la cual solicita se explique “cómo se fijan las tarifas de energía eléctrica en el país”; al respecto, a continuación le informamos sobre el particular.
En primer lugar la CREG no tiene como función fijar las tarifas de energía eléctrica; la labor definida por las leyes 142 (Ley de Servicios Públicos Domiciliarios) y 143 (Ley Eléctrica) de 1994 es la de definir las fórmulas tarifarias para el servicio público de energía eléctrica en Colombia, conforme a las cuales las empresas de servicios públicos domiciliarios establecen las tarifas(1)
De acuerdo con las leyes mencionadas, dichas fórmulas se enmarcan dentro de la regulación de carácter general y su vigencia conforme el Artículo 126 de la Ley 142 de 1994 es de cinco (5) años, salvo que antes haya acuerdo entre la empresa de servicios públicos y la comisión para modificarlas o prorrogarlas por un periodo igual; que excepcionalmente podrán modificarse, antes del plazo indicado, cuando se presenten las situaciones enunciadas en dicha disposición; y, que vencido el período de vigencia de las fórmulas tarifarias, continuarán rigiendo mientras la Comisión no fije otras nuevas.
Las metodologías utilizadas por la Comisión para la definición de cargos en las diferentes actividades de la cadena eléctrica, en cumplimiento de las Leyes 142 y 143 de 1994, exigen análisis técnicos y económicos detallados para reconocer sólo los costos eficientes en los que incurren los agentes, en función de la actividad, cumpliendo con los criterios establecidos en las mencionadas leyes como lo son la eficiencia económica, la suficiencia financiera, la transparencia, la neutralidad y permitiendo además la aplicación de los criterios de solidaridad y redistribución de ingresos.
El procedimiento del diseño de la metodología tarifaria inicia con las actividades de investigación y análisis, las cuales son el soporte fundamental que sustenta las decisiones regulatorias de la Comisión. Con base en estos estudios, que pueden desarrollarse completamente al interior de la Comisión o complementarse con estudios externos, se planifican las actividades a seguir para el diseño de la propuesta regulatoria de carácter general.
Conforme al artículo 11 del Decreto 2696 de 2004, para las fórmulas tarifarias con una vigencia de cinco años, la metodología regulatoria está sujeta a consultas públicas mediante audiencias. Para ello, la Comisión adelanta audiencias públicas en las regiones del país que se considere pertinente y prepara cartillas explicativas que son difundidas a través de las gobernaciones. Como resultado de esta actividad se divulga el contenido de la propuesta regulatoria, en términos de fácil entendimiento, se recogen los comentarios, se prepara la respuesta a cada uno de ellos y se procede a preparar la resolución definitiva que considere los comentarios y demás resultados de la consulta o talleres desarrollados.
En todos los casos las actuaciones que dan lugar a la expedición de resoluciones de carácter general cuentan con un expediente que contiene todos los documentos relevantes el cual se conforma a lo largo del procedimiento de Investigación y Análisis.
Una vez dado este marco general, es de mencionar que actualmente se encuentra vigente la Resolución CREG 031 de 1997 mediante la cual la CREG estableció la fórmula tarifaria general para determinar el Costo de Prestación del Servicio. No obstante, se encuentra en consulta la Resolución CREG 056 de 2007 la cual contiene el proyecto de Resolución para modificar la Resolución CREG 031 de 1997 y cuyo documento soporte es el No.43 de 2007. Dichos documentos los podrá encontrar en la página web de la Comisión www.creg.gov.coen el enlace: normas / Resoluciones CREG.
Dado que la que se encuentra en vigencia es la Resolución CREG 031 de 1997, a continuación encontrará una breve descripción de la Fórmula Tarifaria de Energía Eléctrica contenida en dicha norma, la cual refleja las particularidades de la prestación del servicio en el país de tal manera que usuarios y empresas puedan aplicarlas y controlarlas fácilmente.
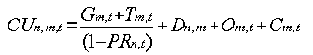
La fórmula viene determinada por el Costo de Prestación del Servicio (CU), que es un costo económico eficiente por unidad de consumo, y que se expresa en $/kWh. Este costo resulta de agregar los costos de las actividades que comprenden la prestación del servicio, como son la generación, la transmisión, la distribución, la comercialización, así como otros costos del mercado y se representa como se expresa en la siguiente fórmula:

donde:
n: Nivel de tensión.
m: Es el mes para el cual se calcula el costo unitario de prestación del servicio.
t: Años transcurridos desde el inicio de la aplicación de la fórmula
CUn,m,t: Costo unitario de prestación del servicio ($/kWh) para los usuarios conectados al nivel de tensión n, correspondiente al mes m del año t.
Gm,t: Costos de compra de energía ($/kWh).
T m,t: Costo promedio por uso del Sistema de Transmisión Nacional-STN ($/kWh) correspondiente al mes m del año t.
D n,m: Costo de distribución ($/kWh) correspondiente al nivel de tensión n para el mes m.
O m,t: Costos adicionales del mercado mayorista ($/kWh), correspondiente al mes m del año t.
PR n,t: Fracción (o Porcentaje expresado como fracción) de pérdidas de energía acumuladas hasta el nivel de tensión n, reconocidas para el año t.
C m,t: Costo de comercialización ($/kWh) correspondiente al mes m del año t.
Actividades de Naturaleza Competitiva
En el caso de las actividades donde de hecho es posible la competencia, como son la generación y la comercialización, el lineamiento general del marco regulatorio, se fundamenta en la creación e implementación de reglas que promueven y protegen la libre competencia en estos negocios. Los costos que se reconocen para estas actividades son los siguientes:
Componente G (generación): se reconoce el costo de compra de energía ($/kWh) por parte del comercializador para atender al usuario regulado, realizada ya sea a través de contratos o en bolsa de energía. Este componente se calcula como un promedio entre el valor de las compras propias de cada comercializador y los costos de compra de energía de todas las empresas en el Mercado Mayorista(2)
Esta metodología para el traslado de dichos costos al usuario, conocido como benchmarking, se constituye en un incentivo de eficiencia para que los comercializadores mejoren su gestión de compra, dado que se restringe que al usuario final se le trasladen aquellos costos que estén por encima del promedio del mercado.
Adicionalmente, por mandato de las leyes 142 de 1994, artículo 35, y 143 de 1994, artículo 42, todos los comercializadores están obligados a comprar la energía que requieren para atender a los usuarios finales regulados, buscando en el mercado las mejores condiciones objetivas, para lo cual deben comprar la energía a través de procedimientos transparentes que aseguren posibilidad de concurrencia a los eventuales contratistas, en igualdad de condiciones, y que estimulen la libre competencia. Para el efecto, deben comprar la energía que requieren en el Mercado Mayorista, a través de los contratos de largo plazo, o de las transacciones en Bolsa de Energía (mercado spot). Para el caso de los contratos de largo plazo, la Resolución CREG-020 de 1996, dispone que las empresas prestadoras del servicio deban adquirir la energía que requieran para atender a los Usuarios Regulados, mediante convocatorias en las cuales asignen los contratos a los agentes que ofrezcan el menor precio.
Componente C (comercialización): este componente se refiere al costo de atención de clientela ($/kWh) y se determina como un Cargo Máximo (Costo Base de Comercialización en $/factura) definido por la CREG para cada empresa comercializadora, el cual se variabiliza en función del consumo de los usuarios atendidos por el comercializador durante el año anterior al de cálculo. A los usuarios se les traslada los costos eficientes que incurre un comercializador asociados con las actividades de: i) lectura, facturación, reparto de facturas y recaudo; ii) gestión de compras de energía; iii) Administración General y Sistema de información Comercial; iv) gestión de pérdidas de energía; v) gestión de cartera; vi) Atención al cliente (Puntos de Peticiones, Quejas y Recursos (PQR), puntos locales de atención; Call Center); y vii) Mercadeo.
Actividades de Naturaleza Monopólica
Componente T (Transmisión): corresponde actualmente al costo promedio por uso del Sistema de Transmisión Nacional ($/kWh) (voltaje ³ 220 kV), el cual corresponde a un cargo uniforme para todos los usuarios del país independientemente de su ubicación o tipo (residencial, comercial, industrial, otros).
Componente D (Distribución): corresponde al valor del costo de transporte por las redes de distribución ($/kWh) (voltaje < 220 kV). Estos dos costos remuneran el transporte de energía desde las plantas de generación hasta el inmueble del usuario final. Con este valor se paga la distribución de la electricidad, esto es, los costos de las redes de transporte urbanas y rurales que llevan la energía desde las subestaciones del sistema de transmisión nacional hasta usuario final. Se determina dé acuerdo con unos Cargos Máximos (Cargos por Uso del Sistema de Transmisión Regional y/o Distribución Local) definidos por la CREG para cada empresa distribuidora.
Otros cargos
Componente O (otros): corresponde al valor de las restricciones; las contribuciones que por mandato legal deben pagar los agentes a la CREG y a la SSPD; los costos asignados a los comercializadores por restricciones y servicios complementarios; y la remuneración del Centro Nacional de Despacho, los Centros Regionales de Despacho y del Administrador del Sistema de Intercambios Comerciales.
Componente Pérdidas: representa el porcentaje reconocido de pérdidas de energía. Es un valor que representa la fracción (o porcentaje expresado en forma de fracción) del costo de prestación del servicio en la fórmula por kWh facturado, asociado a la energía que por razones técnicas o no técnicas se pierde en el Sistema de Transmisión Nacional, imputable sólo a las compras y al transporte por el STN. Esta variable se refiere a las pérdidas de energía producidas principalmente por la transformación requerida para pasar la energía de los niveles de voltaje del STN a los niveles inferiores de los Sistemas Regional y Local.
Por otra parte, en materia de subsidios y contribuciones los cuales se deben ver reflejados en las tarifas, de acuerdo con la Ley 142 de 1994 se establece que solamente tienen derecho a recibir subsidio los usuarios residenciales de estratos 1, 2 y 3, sobre el consumo de subsistencia, los cuales pueden ser cubiertos con recursos provenientes del presupuesto de la Nación y de las entidades territoriales así como de las contribuciones establecidas por la Ley que recaen sobre los usuarios residenciales de mayores ingresos (estratos 5 y 6) y los usuarios industriales y comerciales (éstos últimos ya sean regulados ó no regulados).
Asimismo, mediante el Artículo 3o de la Ley 1117 de 2006, el Gobierno Nacional dispuso que a partir de la vigencia de esta ley, las tarifas de los usuarios beneficiarios de subsidios en relación con sus consumos de subsistencia deben tener en cada mes como máximo un crecimiento igual a la variación del IPC, y de otra, que el porcentaje de subsidio en ningún caso será superior al 60% del costo de prestación del servicio para el estrato 1 y al 50% para el estrato 2. Igualmente, la ley establece que en caso de que se presenten reducciones en el costo de prestación del servicio, las tarifas deberán reflejar estas disminuciones otorgando sobre el costo de prestación del servicio, el porcentaje de subsidio dado en el mes anterior. Finalmente, la ley prevé que aquellas tarifas con subsidios por debajo del 50% y 40% en el estrato 1 y en el estrato 2 respectivamente podrán ajustarse a estos porcentajes. Así mismo, para el caso de mercados nuevos de comercialización, los porcentajes de subsidios aplicables en el mes de entrada en operación serán 50% y 40%. Lo anterior, fue instrumentado mediante la Resolución CREG 001 de 2007.
En concordancia con lo anterior, las fórmulas tarifarias expedida por la CREG actualmente vigentes permiten la aplicación de los subsidios y las contribuciones previstos en la ley. Para ello, las empresas sobre el costo unitario de prestación del servicio (CU), calculan las tarifas de los usuarios así:

Esperamos haber atendido sus inquietudes.
Cordialmente,
HERNÁN MOLINA VALENCIA
Director Ejecutivo
1. Conforme con el Artículo 14 de la Ley 142 de 1994 se denomina Régimen de Libertad Regulada: “Régimen de tarifas mediante el cual la comisión de regulación respectiva fijará los criterios y la metodología con arreglo a los cuales las empresas de servicios públicos domiciliarios pueden determinar o modificar los precios máximos para los servicios ofrecidos al usuario o consumidor”.
2. Realizadas a través de transacciones en la Bolsa de Energía o mediante contratos de largo plazo.