CONCEPTO 1900 DE 2021
(mayo 5)
<Fuente: Archivo interno entidad emisora>
COMISIÓN DE REGULACIÓN DE ENERGÍA Y GAS - CREG
XXXXXXXXXXXXXXX
| Asunto: | Su comunicación SPTD -160-1133. Radicado CREG E-2021-003468 Asunto: Solicitud de conceptos sobre formula tarifaria de referencia aplicable a un sistema fotovoltaico, en virtud del proyecto: “DESARROLLO DE LAS SOLUCIONES ENERGÉTICAS PARA EL ABASTECIMIENTO DE LA ENERGÍA ELÉCTRICA EN EL DEPARTAMENTO DEL AMAZONAS” construido en el departamento del Amazonas. |
Respetado señor XXXXXX:
Hacemos mención de la comunicación recibida en la Comisión el día 22 de marzo de 2021, en la que se nos solicita lo siguiente:
“Como primera medida quisiera comentarle que, en el año 2015, la Gobernación del Amazonas, inicio con recursos del sistema general de regalías, el proyecto denominado “DESARROLLO DE SOLUCIONES ENERGÉTICAS EN EL DEPARTAMENTO DEL AMAZONAS” a la fecha dicho proyecto está próximo a ser entregado, razón por la cual hemos decidido acudir a la CREG en aras de obtener algunos conceptos que esperamos sean esclarecidos respecto a la operación de dicho sistema.
Las localidades donde se construyeron los sistemas híbridos solares hacen parte de la concesión No 052 de 2010, Área de prestación exclusiva de servicio en el departamento del Amazonas, operada por ENAM SA ESP.
El sistema hibrido solar construido se conectará con el sistema eléctrico existentes en las localidades.
TARIFA APLICABLE
El operador de red de la concesión manifiesta que dado en el esquema tarifario aplicable al departamento, la tarifa que pagaran los usuarios será la misma tanto si se genera con energía solar o con combustible Diesel, sobre esta situación solicitamos a la CREG emita un concepto indicando si esta situación es estrictamente de esta manera o si existe algún esquema que permita diferenciar las tarifas y permitir a la comunidad acceder a los alivios que se tendrían si están utilizando energía solar, se entendería que al no utilizar combustible Diesel la tarifa que paga el usuario final debería verse disminuida.
CALCULO AOM
Para la realización del AOM del sistema hibrido solar, el operador de red, presenta una propuesta económica basada en el proyecto de resolución Creg 004 de 2014, sobre este particular se solicita a la CREG emita concepto sobre si es válido utilizar un “proyecto de resolución” o si por el contrario es más acertado acogernos a alguna resolución en firme, para lo cual solicitamos se nos indique que referencia tarifaria debemos tomar como base para determinar el valor del AOM más acertado del proyecto en cuestión.
DOBLE AOM
Si se tiene en cuenta que en las localidades donde se construyó el sistema hibrido solar, el operador de red ENAM SA ESP, incluye dentro del valor del kilovatio que factura a los usuarios, el costo del AOM resultado de la fórmula tarifaria autorizada por la Creg, no es muy claro el hecho de que la Gobernación deba cancelar adicionalmente otro valor por el AOM del sistema hibrido solar, más aun teniendo en cuenta que el sistema solar será conectado al actual sistema de distribución formando un único sistema en cada localidad, de esta manera acudimos a la CREG en busca de un concepto normativo que nos permita aclarar esta situación y de esta manera tener todas las garantías legales en cuanto a la operación del sistema hibrido solar construido en el departamento del Amazonas.
Es importante anotar que hemos decidido acudir a la Comisión Regulatoria de Energía y Gas, como máximo ente regulatorio de esta clase de sistemas, dada la importancia que representa para nuestro departamento el proyecto DESARROLLO DE SOLUCIONES ENERGÉTICAS HÍBRIDAS PARA ABASTECIMIENTO DE ENERGÍA ELÉCTRICA EN EL DEPARTAMENTO DE AMAZONAS”. Para la Gobernación del Amazonas es de vital importancia que se tenga plena claridad sobre los aspectos relacionados con la operación de este sistema, más aun si tenemos en cuenta la existencia del contrato de concesión No 052 de 2010, el cual tiene dentro de su alcance las localidades donde operara el sistema construido por la Gobernación del Amazonas, es así que esperamos con la presente consulta, obtener tranquilidad total respecto a los pasos a seguir para garantizar una adecuada funcionalidad y llevar a feliz término un proyecto de estas características.”
Previo a dar respuesta a su solicitud le informamos que, de acuerdo con lo dispuesto por la Ley 142 de 1994, a la CREG, aparte de las funciones genéricas que toda Comisión de Regulación tiene, se le asignaron la regulación económica de los servicios públicos domiciliarios de energía eléctrica y gas combustible. Adicionalmente, la Ley 143 de 1994 le asignó funciones de carácter regulatorio a la CREG, de manera específica en lo concerniente a la prestación del servicio público domiciliario de energía eléctrica.
Por tal razón, es importante precisar que, en desarrollo de la función consultiva, la CREG no resuelve casos particulares o concretos, pues ello corresponde a las autoridades competentes mediante los procedimientos de rigor y, en tal virtud, tanto las preguntas como las respuestas deben darse o entenderse en forma genérica, de tal manera que puedan predicarse de cualquier asunto en circunstancias similares.
De otra parte, la función de control del cumplimiento de las Resoluciones expedidas por parte de la CREG, las leyes y demás actos administrativos a que están sujetos los prestadores de servicios públicos domiciliarios, le competen por ley a la Superintendencia de Servicios Públicos Domiciliarios, y a la Superintendencia de Industria y Comercio en temas de derecho de la competencia.
En relación con su primera inquietud sobre si se puede utilizar la Resolución CREG 004 de 2014 dentro de una “propuesta económica”, esta Comisión no se pronunciará al respecto por considerar que se trata de un asunto contractual que les corresponde a las partes definir. Debe resaltarse que la regulación que expide esta entidad tiene como objeto definir el costo unitario de prestación del servicio que le puede ser trasladado a los usuarios regulados del servicio y la determinación de la tarifa aplicable, y no la definición de condiciones contractuales aplicables dentro de un área de servicio exclusivo.
Aclarado lo anterior, es importante mencionar que la Resolución CREG 074 de 2009[1] modificó el artículo 7 de la Resolución CREG 161 de 2008, artículo en el que se incluyeron los capítulos IX, X y XI a la Resolución CREG 091 de 2007, los cuales corresponden a disposiciones relacionadas con:
1) CAPITULO IX. Fórmula tarifaria para las áreas de servicio exclusivo que se conformen para cada actividad del servicio público de energía eléctrica en las zonas no interconectadas
2) CAPITULO X. Fórmula tarifaria para las áreas de servicio exclusivo conformadas para todas las actividades del servicio público de energía eléctrica en las zonas no interconectadas.
3) CAPITULO XI. Tarifa del servicio público de energía eléctrica para las zonas no interconectadas.
En ese orden de ideas, como parte del Capítulo X, el artículo 55 de la Resolución CREG 091 de 2007 establece las fórmulas tarifarias para usuarios regulados del servicio de energía eléctrica que pertenecen a Áreas De servicio Exclusivo, ASE, para procesos competitivos cuando los usuarios asumen el riesgo de demanda, de la siguiente manera:
“Artículo 55. Fórmulas Tarifarias Generales para Usuarios Regulados del Servicio Público de Energía Eléctrica para Procesos Competitivos por Todas las Actividades Cuando los Usuarios Asumen el Riesgo de Demanda. Cuando la Autoridad Contratante realice un único Proceso Competitivo para adjudicar la Obligación de Prestación del Servicio de todas las actividades para la prestación del servicio público domiciliario de energía eléctrica en un Área de Servicio Exclusivo y se asigne el riesgo de demanda a los usuarios del servicio, la Fórmula Tarifaria General aplicable a los Usuarios Regulados del servicio público domiciliario de energía eléctrica tendrá los siguientes componentes:
![]()
Donde:
CUm: Costo Unitario de Prestación del Servicio de Energía Eléctrica, para el mes m, expresado en pesos por kilovatio hora ($/kWh).
IAOMm: Remuneración de la inversión y de los gastos de AOM en generación, distribución y comercialización, para el mes m. En estos gastos no se consideran los combustibles de origen fósil, o las mezclas obligatorias de éstos con biocombustibles por disposición gubernamental, utilizados en la operación. Este valor, expresado en pesos por kilovatio hora ($/kWh)
(…)
La anterior formula[2] establece el costo unitario del servicio de energía eléctrica, incluyendo todas las actividades vinculadas en la prestación del mismo, para usuarios regulados que pertenecen a una ASE correspondientes a procesos competitivos, en los que los usuarios asumen el riesgo de demanda. Dicho de otra manera, el prestador el servicio en una ASE correspondiente a procesos competitivos en los que los usuarios asumen el riesgo de demanda, deberá aplicar la anterior fórmula para calcular el valor de la prestación del servicio de energía eléctrica.
Así mismo, el artículo 57 de la Resolución CREG 091 de 2007 establece la tarifa aplicable a los usuarios del servicio público de energía eléctrica en Zonas no Interconectadas, ZNI:
Artículo 57. Tarifa. La tarifa aplicable a los usuarios regulados del servicio público domiciliario de energía eléctrica de las Zonas No Interconectadas se determinará así:
![]()
Donde:
| Tm,k: | Tarifa para el mes m, aplicable al estrato socioeconómico k, expresada en pesos por kilovatio hora ($/kWh). |
| CUm: | Costo Unitario de Prestación del Servicio de Energía Eléctrica, para el mes m, expresado en pesos por kilovatio hora ($/kWh). |
| Sm,k: | Subsidio por menores tarifas determinado por el Ministerio de Minas y Energía para el estrato socioeconómico k, expresado en pesos por kilovatio hora ($/kWh). |
| k: | Corresponde al estrato socioeconómico aplicable según la normatividad vigente.” |
De acuerdo con lo establecido en el artículo 57 de la Resolución CREG 091 de 2007, la tarifa que se traslada a los usuarios en las ZNI es el resultado de realizar una resta entre el valor del costo unitario (
), y el subsidio (
) que es determinado por el Ministerio de Minas y Energía.
Para calcular la tarifa a aplicar para usuarios regulados pertenecientes a una ASE correspondiente a un proceso competitivo en el que los usuarios asumen el riesgo de demanda, el prestador del servicio deberá aplicar la fórmula anterior utilizando el valor de
obtenido en aplicación del artículo de la Resolución 091 de 2007.
En relación con el AOM, se menciona en su consulta el término “oferta económica”, en lo que se podría entender como parte de una negociación. En este sentido, se debe mencionar que, en presencia de un contrato de concesión, en el que se ha dado exclusividad para prestar el servicio público de energía eléctrica, incluyendo todas las actividades relacionadas para una ASE, el concesionario es el único operador autorizado para desarrollar las actividades asociadas a la prestación del servicio público de energía eléctrica en el área geográfica que fue objeto de la concesión.
En ese orden de ideas, entiende esta Comisión que, en caso de que se quieran incorporar activos para desarrollar alguna de las actividades relacionadas con la prestación del servicio público de energía eléctrica, se deberán establecer los acuerdos con el concesionario, atendiendo lo establecido en el respectivo contrato de concesión y en la normatividad relacionada.
De otra parte, se debe ratificar que, para el caso de una ASE producto de un proceso competitivo, para todas las actividades, el operador del servicio deberá dar cumplimiento a lo establecido en el artículo 55 de la Resolución CREG 091 de 2007 para el cálculo del costo de la prestación del servicio. Se debe recordar además que, en este caso, el componente
que remunera, tanto las inversiones como los gastos de AOM, corresponde al valor ofertado por el adjudicatario en el marco del proceso competitivo, tal como se muestra a continuación, de acuerdo con lo establecido en el artículo 55 de la Resolución CREG 091 de 2007:
(…)
“
: Remuneración de la inversión y de los gastos de AOM en generación, distribución y comercialización, para el mes m. En estos gastos no se consideran los combustibles de origen fósil, o las mezclas obligatorias de éstos con biocombustibles por disposición gubernamental, utilizados en la operación. Este valor, expresado en pesos por kilovatio hora ($/kWh), se estimará así:

Donde:
: Ingreso máximo regulado para el Año t del Período de Vigencia, que remunera las inversiones del prestador del servicio en activos de las actividades de generación, distribución y comercialización y los gastos de AOM en los que incurra en desarrollo de estas actividades. Este ingreso, expresado en pesos ($) del mes anterior al de la realización del Proceso Competitivo, será el ofertado por el adjudicatario de la Obligación de Prestación del Servicio en la propuesta que presente en dicho proceso.
IPPm-1: Índice de Precios al Productor publicado por el DANE, para el mes m-1.
IPP0: Índice de Precios al Productor publicado por el DANE, para el mes anterior al de realización del Proceso Competitivo.
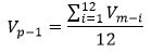
Vp-1: Promedio de las Ventas mensuales de energía de los últimos doce (12) meses, expresado en kilovatios hora (kWh).
![]()
Vm-i: Ventas de energía del mes m-i, expresado en kilovatios hora (kWh).
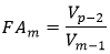
FAm: Factor de ajuste al ingreso máximo regulado, para el mes m. Este ajuste se hará a partir del segundo mes del Período de Vigencia, de la siguiente manera:
![]()
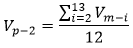
Vp-2: Promedio de las Ventas mensuales de energía de los doce (12) meses anteriores al mes anterior, expresado en kilovatios hora (kWh).
![]()
(…)
En relación con la tercera parte de su consulta denominada “DOBLE AOM”, le manifestamos lo siguiente. Del contenido de su comunicación, se entiende que los activos que componen los sistemas híbridos de generación pasarían a integrar el parque de generación en localidades que hacen parte de la Concesión de la ASE de Amazonas y que además estos activos son propiedad de la Gobernación del Amazonas.
En ese orden de ideas, vale la pena mencionar que el numeral 87.9 de la Ley 142 de 1994 establece como parte de los criterios para definir el régimen tarifario, la posibilidad para que las entidades públicas aporten bienes a las empresas de servicios públicos, de la siguiente manera:
“87.9. Las entidades públicas podrán aportar bienes o derechos a las personas prestadoras de servicios públicos domiciliarios, siempre y cuando su valor no se incluya en el cálculo de las tarifas que hayan de cobrarse a los usuarios y que en el presupuesto de la entidad que autorice el aporte figure este valor. Las Comisiones de Regulación establecerán los mecanismos necesarios para garantizar la reposición y mantenimiento de estos bienes.
Lo dispuesto en el presente artículo no es aplicable cuando se realice enajenación o capitalización de dichos bienes o derechos.” (subrayado fuera de texto)
De acuerdo con el anterior, aparte de la Ley 142 de 1994, es posible que una entidad pública haga aporte de bienes a empresas que prestan servicios públicos, siempre y cuando se cumplan con dos condiciones, a saber:
1. No se debe incluir el valor de los bienes dentro del cálculo de las tarifas que se van a cobrar a los usuarios.
2. Dentro del presupuesto de las entidades se deberán incluir los valores asociados a los bienes aportados.
En este sentido, de ser esta la figura que se pretende utilizar en el caso que usted nos manifiesta, se deberá cumplir con lo establecido en la Ley 142 de 1994 y lo definido en el contrato de concesión. En todo caso, al momento de determinarse el costo unitario por parte del prestador del servicio, este no podrá realizar un doble cobro por el mismo concepto o trasladar a los usuarios costos ineficientes.
En los anteriores términos damos por atendida su solicitud. Los conceptos aquí emitidos tienen el alcance previsto en el numeral 73.24 del artículo 73 de la Ley 142 de 1994, y por el artículo 28 del Código de Procedimiento Administrativo y de lo Contencioso Administrativo, sustituido por el artículo 1 de la Ley 1755 de 2015.
Cordialmente,
JORGE ALBERTO VALENCIA MARÍN
Director Ejecutivo
1. Por la cual se modifican las Resoluciones CREG 091 de 2007 y 161 de 2008.
2. La formulación establecida en el artículo 55 de la Resolución CREG 091 de 2007 define en detalle cada uno de los componentes para el cálculo del valor de prestación del servicio: ![]()