BUSCAR search
ÍNDICE developer_guide
MEMORIA memory
DESARROLLOS attachment
MODIFICACIONES quiz
CONCORDANCIAS quiz
NOTIFICACIONES notifications_active
ACTOS DE TRÁMITE quiz

CONCEPTO 1583 DE 2022

(mayo 9)

<Fuente: Archivo interno entidad emisora>

COMISIÓN DE REGULACIÓN DE ENERGÍA Y GAS - CREG

Bogotá, D.C.,

Señor

XXXXXX

Director Mini Redes Programa Energía para la Paz USAID Colombia

TETRA TECH ES INC.

XXXXXX

Asunto: Su comunicación de radicado CREG E-2022-003288

Respetado Señor XXXXXX

Recibimos la comunicación del asunto, en la que nos formula la siguiente consulta:

“(…) Como es de su conocimiento, la agencia de cooperación americana USAID, está desarrollando un programa para apoyar a Colombia en sus planes de energizar las ZNI que hasta ahora no han podido recibir el servicio de energía eléctrica, este programa se llama 'Energía para la Paz'. TETRA TECH como empresa consultora está apoyando en la implementación del Programa.

Les escribimos para pedirles una aclaración sobre el tema de las solicitudes tarifarias de los sistemas híbridos. Esto con el fin de hacer ante la CREG, la solicitud correcta y no correr el riesgo de que la solicitud sea devuelta con la consiguiente pérdida de tiempo.

Pregunta 1: Si un prestador del servicio atiende en una region dos tipos de usuarios con sistemas híbridos independientes en la misma región, muy cerca el uno de los demás, pero sin estar conectados a una red de distribución, por un lado con un sistema híbrido para una instalación de carácter productivo y por el otro lado con otros sistemas híbridos de diferentes tamaños para usuarios de pequeños hostales;

¿Se puede solicitar una tarifa única para un operador que tenga varios sistemas solares híbridos no conectados entre sí y de diferentes tamaños?

Ejemplo de Bahía Hondita donde tenemos sistemas híbridos solar-diesel-acumulación para usos productivos de agua y hielo y otros sistemas para usos en hostales pequeños atendidos por un mismo operador.

Pregunta 2: ¿Se puede solicitar tarifa para un sistema híbrido con un solo usuario o se requiere que sea un número plural de usuarios?

Ejemplo de Katanzama, pueblo Arhuaco, donde un sistema híbrido solar-diesel-acumulación proveerá energía para un puesto de salud, un colegio indígena, la casa del cabildo y el hub productivo que incluye salones de capacitación para formación de lideres, y unas 4 residencias utilizadas como sitios de albergue temporal. Todo lo anterior administrado por el Cabildo Indígena Arhuaco. Es decir: un solo cliente. ¿Será necesario crear diversos clientes de acuerdo al uso final de la edificación, con facturación y medición independiente así sea la misma persona jurídica? (…)”

Le informamos que la CREG tiene la función de regular(1) los servicios públicos domiciliarios de energía eléctrica, gas natural y gas licuado del petróleo, GLP(2). Así mismo, regula algunos aspectos de los servicios públicos de combustibles líquidos(3). Le corresponde a esta Entidad emitir conceptos de carácter general y abstracto sobre los temas materia de su regulación. No obstante, en ejercicio de su función consultiva, la Comisión no se pronuncia mediante concepto sobre asuntos particulares en desarrollo de la prestación del servicio público domiciliario de energía eléctrica y de gas combustible.

Antes de entrar a resolver su consulta es necesario precisar que, mediante la Resolución CREG 091 de 2007 se establecieron las metodologías generales para remunerar las actividades de generación, distribución y comercialización de energía eléctrica y las fórmulas tarifarias generales para establecer el costo unitario de prestación del servicio público de energía eléctrica en Zonas No Interconectadas.

De este marco tarifario resaltamos dos elementos que son centrales para resolver su consulta: i) los costos de prestación del servicio se definen por mercado relevante de comercialización, no por operador, prestador o empresa; ii) se dejaron previstas dos fórmulas generales para el cálculo del costo de prestación del servicio, una para aquellos casos en que usuarios regulados fueran atendidos con red y otra para aquellos casos en fueran atendidos sin red.

Se debe resaltar además que, en el caso de la fórmula para usuarios atendidos con red, se estableció una metodología de cargos de precio máximo, expresados en pesos por kilovatio hora consumido ($ / kWh), mientras que, para usuarios atendidos sin red, es decir, a través de soluciones individuales, se estableció una metodología de ingreso regulado, expresado en pesos al mes por vatio pico instalado ($ / mes / Wp).

Para su referencia, a continuación transcribimos las respectivas definiciones y artículos de la Resolución CREG 091 de 2007, en donde se puede identificar lo anteriormente indicado:

“(…) Artículo 2. Definiciones. Para la interpretación y aplicación de esta Resolución se tendrán en cuenta, además de las definiciones contenidas en las Leyes 142 y 143 de 1994 y en las resoluciones vigentes de la CREG, las siguientes: (…)

Mercado Relevante de Comercialización: Conjunto de usuarios conectados a un mismo Sistema de Distribución Local o atendido sin red física por un Distribuidor. (…)

Parque de Generación: Conjunto de unidades de generación con el que se atiende un Mercado Relevante de Comercialización. (…)

Artículo 28. Principios Generales. La aplicación de los cargos por uso de los Sistemas de Distribución tendrá en cuenta los siguientes principios generales:

a) Los cargos por uso de los Sistemas de Distribución aprobados por la CREG se aplicarán de forma tal que los usuarios de las redes paguen un único cargo por el uso de cada sistema, independientemente del número de propietarios del mismo. (…)

Artículo 37. Cargo Máximo Base de Comercialización. El Cargo Máximo Base de Comercialización C*0 corresponde a un valor mensual de $3.834 por Factura ($ de diciembre de 2006).

Parágrafo 1. El Cargo Máximo Base de Comercialización de que trata el presente Artículo se variabilizará con el consumo mensual promedio del Mercado Relevante de Comercialización en el último año, expresado en kWh mes. En caso de nuevos mercados o de no existir dicha información se tomará el consumo promedio del Mercado Relevante de Comercialización más cercano del SIN. (…)

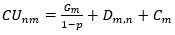
Artículo 40. Fórmulas Tarifarias Generales para Usuarios Regulados del Servicio Público de Energía Eléctrica con Red. La Fórmula Tarifaria General aplicable a los Usuarios Regulados del servicio público domiciliario de energía eléctrica, tendrá los siguientes componentes de cargos:

Costo Unitario:  ($/kWh)

Donde: (…)

Cm = Costo de Comercialización del mes m, expresado en $/kWh, que se calculará de la siguiente forma:

Donde: (…)

CFMt-1 = Consumo Facturado Medio en cada mercado en el año t-1. (Total kWh vendidos a los usuarios dividido por el total de facturas expedidas, sin considerar las debidas a errores de facturación).

Artículo 41. Fórmulas Tarifarias Generales para Usuarios Regulados del Servicio Público de Energía Eléctrica sin Red en ZNI. La Fórmula Tarifaria General aplicable a los Usuarios Regulados del servicio público domiciliario de energía eléctrica sin red en Zonas No Interconectadas tendrá los siguientes componentes:

Cargo Fijo:  ($/Factura)

Cargo Variable:  ($/W)

Donde:

Gm = Cargo Máximo por Capacidad Disponible ($/W-pico disponible) de que trata el literal c) del Artículo 22.

C*m = Cargo Base de Comercialización de que trata el Artículo 37 de la presente Resolución.

W = Capacidad disponible en W-pico por usuario, para el mes m de prestación del servicio.

(…)” Resaltado y subrayado fuera de texto

En línea con lo anterior, aunque en un mercado relevante de comercialización pueden existir simultáneamente usuarios atendidos mediante red y usuarios atendidos sin red, el costo de prestación del servicio debe calcularse para cada caso aplicando las respectivas fórmulas, artículos 40 y 41 respectivamente.

Finalmente, en el mismo marco tarifario, dentro de los principios para determinar los cargos máximos de generación, se definió lo siguiente:

“(…) Artículo 20. Determinación de Cargos Máximos de Generación por Costos Medios. Los Cargos Máximos de Generación, se calcularán a partir de la Inversión de cada tecnología, el Costo de Capital Invertido, los gastos de Administración, Operación y Mantenimiento, y las horas de prestación del servicio. (…)” Resaltado y subrayado fuera de texto

En la aplicación de este lineamiento, y tal como se dispuso en el literal c) del artículo 22 y el numeral 24.4 del artículo 24 de la misma resolución, las soluciones individuales son tratadas como una tecnología aparte, definiéndose cargos para aquellas soluciones cuya generación se hace a partir de sistemas solares fotovoltaicos, contemplándose adicionalmente la posibilidad de contar con acumulación.

Sobre su primera pregunta, entendemos que en esta se hace referencia a usuarios atendidos sin red, mediante soluciones individuales. Como se mencionó, el marco tarifario vigente tiene definidos cargos de generación para este tipo de soluciones, particularmente para soluciones solares. En la Resolución CREG 091 de 2007 se definieron cargos para soluciones con salida en corriente alterna, AC, hasta 500 Wp; la cual fue complementada con la Resolución CREG 166 de 2020, en la cual se definieron cargos transitorios para soluciones con potencia mayor a 500 Wp, también soluciones solares fotovoltaicas con salida en AC.

Ahora, cuando la tecnología de generación y, en el caso particular de su primera pregunta, el tipo de solución individual no corresponda a alguna para la que se encuentre definido el cargo, este puede ser propuesto a esta Comisión para que sea resuelto mediante resolución particular, en línea con lo dispuesto en la misma Resolución CREG 091 de 2007, literal d) del artículo 22 y numeral 24.5 de artículo 24.

En el caso particular de soluciones individuales, y de acuerdo con lo que se mencionó sobre la metodología tarifaria adoptada en este caso, que corresponde a una de ingreso máximo, en donde el costo se expresa en pesos al mes por vatio pico ($ / mes / Wp), y además de tenerse en cuenta la tecnología de generación, debe también considerarse la capacidad instalada de la misma. De allí que al identificarse soluciones individuales para las que no existe cargo definido, de ser requeridos, se deberán proponer a la Comisión tantos cargos como tecnologías de generación y rangos de capacidad instalada sean necesarios.

Atendiendo su segunda pregunta, y considerando lo ya mencionado, las solicitudes de cargos de generación se formulan a partir de la identificación de tecnologías de generación para las que no se tenga uno ya definido, independientemente del número de usuarios que se vaya a atender. Lo anterior, sin perjuicio de lo ya también mencionado sobre las fórmulas tarifarias para usuarios atendidos mediante red y usuarios atendidos mediante soluciones individuales.

Por último, identificamos que en su pregunta se hace referencia, tanto a usuarios como a clientes, así como a facturación asociada al uso de edificaciones. Sobre el particular, resaltamos que la Ley 142 de 1994, en su artículo 14, definió al servicio público domiciliario de energía eléctrica y a los usuarios en los siguientes términos:

“(…) Artículo 14. Definiciones. Para interpretar y aplicar esta Ley se tendrán en cuenta las siguientes definiciones: (…)

14.25. Servicio público domiciliario de energía eléctrica. Es el transporte de energía eléctrica desde las redes regionales de transmisión hasta el domicilio del usuario final, incluida su conexión y medición. También se aplicará esta Ley a las actividades complementarias de generación, de comercialización, de transformación, interconexión y transmisión. (…)

14.33. Usuario. Persona natural o jurídica que se beneficia con la prestación de un servicio público, bien como propietario del inmueble en donde este se presta, o como receptor directo del servicio. A este último usuario se denomina también consumidor. (…)”

Así mismo, en el artículo 287 de la Ley 1955 de 2019 se indicó:

“(…) Artículo 287. Servicio público domiciliario de energía eléctrica en Zonas No Interconectadas (ZNI). El Servicio Público Domiciliario de Energía Eléctrica en ZNI es el transporte de energía eléctrica desde la barra de entrega de energía de un Generador al Sistema de Distribución hasta el domicilio del usuario final, incluida su conexión y medición. El suministro de energía eléctrica a un domicilio mediante soluciones individuales de generación también se considera, servicio público domiciliario de energía eléctrica en ZNI. (…)”

De acuerdo con lo anterior, y con el fin de aplicar correctamente las fórmulas tarifarias generales para determinar el costo de prestación del servicio, artículos 40 y 41 de la resolución CREG 091 de 2007, se deberá determinar si el sistema del que trata su pregunta permite atender uno o varios domicilios, y si tiene uno o varios usuarios en los términos de la Ley 142 de 1994.

Debe tenerse en cuenta también que esta ley establece como derecho de los usuarios la medición individual. En su artículo 9 se definió:

“(…) Artículo 9. Derecho de los usuarios. Los usuarios de los servicios públicos tienen derecho, además de los consagrados en el Estatuto Nacional del Usuario y demás normas que consagren derechos a su favor, siempre que no contradigan esta ley, a:

9.1. Obtener de las empresas la medición de sus consumos reales mediante instrumentos tecnológicos apropiados, dentro de plazos y términos que para los efectos fije la comisión reguladora, con atención a la capacidad técnica y financiera de las empresas o las categorías de los municipios establecida por la ley. (…)

Sin perjuicio de lo anterior, en el Decreto Único Reglamentario del Sector Administrativo de Minas y Energía, Decreto 1073 de 2015, se habilita la posibilidad de realizar medición y facturación comunitaria, en los siguientes términos:

“(…) ARTÍCULO 2.2.3.1.2. Definiciones. Para efectos de la interpretación y aplicación del presente Título, se tendrán en cuenta las siguientes definiciones: (…)

Áreas Especiales: Para efectos del presente Decreto, entiéndase por Áreas Especiales a las Áreas Rurales de Menor Desarrollo, Zonas de Difícil Gestión y Barrios Subnormales, respecto de los cuales los usuarios de los estratos 1 y 2 ubicados en las mismas, son beneficiarios del Fondo de Energía Social de que trata el artículo 103 de la Ley 1450 de 2011, de conformidad con las definiciones que se establecen para cada una de ellas en el presente acto.

Área Rural de Menor Desarrollo: Es el área perteneciente al sector rural de un municipio o distrito que reúne las siguientes características: (i) presenta un índice superior a cincuenta y cuatro punto cuatro (54.4), conforme con el indicador de las Necesidades Básicas Insatisfechas publicado por el Departamento Administrativo Nacional de Estadística y (ii) está conectada al circuito de alimentación por medio del cual se le suministra el servicio público de energía eléctrica.

Corresponde al Alcalde Municipal o Distrital o a la autoridad competente, conforme con la Ley 388 de 1997, clasificar y certificar la existencia de las Áreas Rurales de Menor Desarrollo. Las áreas rurales que pertenezcan a municipios que no se encuentran clasificados en la metodología de las Necesidades Básicas Insatisfechas del Departamento Administrativo Nacional de Estadística, se considerarán Áreas Rurales de Menor Desarrollo. (…)

ARTÍCULO 2.2.3.3.4.4,1.1. Prestación del servicio en Área Especial. Con el objeto de que los usuarios ubicados en las Áreas Especiales de prestación del servicio puedan acceder a la prestación del servicio público domiciliario de energía eléctrica en forma proporcional a su capacidad o disposición de pago, los Operadores de Red y/o los Comercializadores de Energía Eléctrica podrán aplicar uno o varios de los siguientes esquemas diferenciales de prestación del servicio:

a) Medición y facturación comunitaria; (…)

ARTÍCULO 2.2.3.3.4.4,1.2. Medición y facturación comunitaria. Para que un Comercializador de Energía Eléctrica pueda efectuar la medición y facturación comunitaria deberá:

a) Instalar a su costo contadores en el punto de conexión a partir del cual se suministra electricidad al Área Especial de Prestación del Servicio;

b) Realizar la facturación al grupo de usuarios a partir de las lecturas de tales contadores;

c) Efectuar a su costo las adecuaciones técnicas y eléctricas que sean del caso con el objeto de aislar el Área Especial, de cualquier otro grupo de usuarios, y

d) Suscribir el acuerdo a que se refiere el artículo 2.2.3.3.4,2.1. por parte de un representante de la empresa, uno de la comunidad que representa al Área Especial y por el alcalde municipal o distrital, según sea el caso.

En los anteriores términos damos por atendida su solicitud. Los conceptos aquí emitidos tienen el alcance previsto en el numeral 73.24 del artículo 73 de la Ley 142 de 1994, y por el artículo 28 del Código de Procedimiento Administrativo y de lo Contencioso Administrativo, sustituido por el artículo 1 de la Ley 1755 de 2015.

Cordialmente,

JORGE ALBERTO VALENCIA MARÍN

Director Ejecutivo

<NOTAS DE PIE DE PÁGINA>

1. La función de regulación se define como “la facultad de dictar normas de carácter general o particular en los términos de la Constitución y de esta ley, para someter la conducta de las personas que prestan los servicios públicos domiciliarios a las reglas, normas, principios y deberes establecidos por la ley y los reglamentos”, según la Ley 142 de 1994, artículo 14, numeral 18.

2. Ley 142 de 1994, artículo 73; Ley 143 de 1994, artículo 23; y Decreto 1260 de 2013.

3. Decreto Ley 4130 de 2011; Decreto 1260 de 2013.

×
Volver arriba