CONCEPTO 798 DE 2007
(28 febrero)
<Fuente: Archivo interno entidad emisora>
COMISIÓN DE REGULACIÓN DE ENERGÍA Y GAS - CREG
Bogotá D.C.,
XXXXXXXXXXXXXXX
Asunto: Información sobre Tarifas. Comunicación vía correo electrónico
Radicado CREG E-2007-008321.
Apreciado XXXXX:
Hemos recibido la comunicación de la referencia, mediante la cual solicita saber “cuál es la proyección del incremento porcentual de la tarifa de energía y de gas para el año 2008”, al respecto, a continuación encontrará nuestra respuesta sobre el particular, siendo conveniente realizar las siguientes precisiones para un mayor entendimiento en relación con este tema:
En primer lugar, las tarifas de los usuarios regulados de electricidad se establecen de acuerdo con el régimen de Libertad Regulada(1), es decir, que son las empresas las que calculan las tarifas a cobrar a los usuarios quienes a partir de la metodología tarifaria que fija la Comisión.
De otra parte, las empresas en el cobro de las tarifas deben sujetarse a lo dispuesto en la Ley 142 de 1994 (Artículos 125 y 126). Conforme con la Ley se pueden presentar variaciones o ajustes a la fórmula tarifaria los cuales se pueden dar por tres motivos:
Por variaciones en los índices de precios que dan lugar a la actualización tarifaria.
Por variación en los cargos aprobados por esta Comisión, por fuera de los índices de actualización definidos en cada fórmula, en función de su metodología de cálculo.
Por cambio en la metodología tarifaria.
En estos casos, las tarifas solo se actualizarán (modificarán) hasta que la fórmula como un todo o alguno de sus componentes acumule una variación de al menos el 3%, mientras tanto se sigue aplicando el costo que hubiese publicado conforme la aplicación de la metodología tarifaria establecida por la Comisión para el traslado a los usuarios finales de los costos de prestación de los servicio de electricidad y gas.
En Energía Eléctrica, la fórmula tarifaria que se encuentra vigente para la determinación de los costos unitarios de prestación de servicio está consignada en la Resolución CREG 119 de 2007.
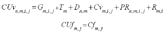
El Costo Unitario de Prestación de servicio (CU), que aparece registrado en su factura de electricidad, es el costo económico eficiente que resulta de sumar los costos variables
de las actividades de generación, transmisión, distribución y comercialización, expresado en $/kWh, y el cargo fijo,
expresado en $/factura lo cual se representa de la siguiente manera:

donde:
: Componente variable del Costo Unitario de Prestación del Servicio ($/kWh) para los usuarios conectados al nivel de tensión n, correspondiente al mes m, del Comercializador Minorista i, en el Mercado de Comercialización j.
: Costo de compra de energía ($/kWh) para el mes m, del Comercializador Minorista i, en el Mercado de Comercialización j, determinados conforme se establece en el capítulo III de la Resolución en mención
: Costo por uso del Sistema Nacional de Transmisión ($/kWh) para el mes m determinado conforme al Capítulo IV de la Resolución en mención
: Costo por uso de Sistemas de Distribución ($/kWh) correspondiente al nivel de tensión n para el mes m
: Margen de Comercialización correspondiente al mes m, del Comercializador Minorista i, en el Mercado de Comercialización j que incluye los costos variables de la actividad de comercialización, expresado en ($/kWh).
: Costo de Restricciones y de Servicios asociados con generación en $/kWh asignados al Comercializador Minorista i en el mes m.
: Costo de compra, transporte y reducción de pérdidas de energía ($/kWh) acumuladas hasta el nivel de tensión n, para el mes m, del Comercializador Minorista i, en el Mercado de Comercialización j.
: Componente fija del Costo Unitario de Prestación del Servicio ($/factura) correspondiente al mes m para el Mercado de Comercialización j.
: Costo Base de Comercialización ($/factura) correspondiente al mes m, para el Mercado de Comercialización j.
El G corresponde al costo de compra de energía por parte del comercializador tanto en Bolsa como en Contratos y representa el costo de producción de energía.
El T es el valor con el cual se paga el transporte de energía desde las plantas de generación hasta las redes regionales de transmisión (STR). Es el costo promedio por uso del Sistema de Transmisión Nacional ($/kWh) (³ 220 kV), el cual corresponde a un cargo uniforme para todos los usuarios del país independientemente de su ubicación o tipo (residencial, comercial, industrial, otros).
El D corresponde al valor que se paga por transportar la energía desde las subestaciones del Sistema de Transmisión Nacional hasta el usuario final y se definen por la CREG para cada empresa distribuidora.
La R corresponde a los costos de las restricciones que corresponde al costo de la generación más costosa que debió utilizarse debido a las restricciones en la red de transporte originadas por requerimientos del sistema de transmisión, que impiden abastecer la demanda con los recursos de generación más económicos.
El Cv remunera los costos variables de comercialización asociados con la energía, tales como el margen de la actividad, riesgo de cartera, pagos al Administrador del Mercado y al Centro Nacional de Despacho, así como las contribuciones a la CREG y a la SSPD.
El Cf remunera los costos de la atención de los usuarios tales como facturación, lectura, atención, reclamos, etc.
El PR corresponde al costo reconocido de pérdidas de energía que por razones técnicas o no técnicas se pierden tanto en el Sistema de Transmisión Nacional como en el Sistema de Transmisión Regional y Local; así como los costos de los programas de reducción de pérdidas no técnicas que se realicen por Mercado de Comercialización.
Teniendo en cuenta lo anteriormente mencionado, para cada uno de los componentes que conforman el costo unitario, se puede indicar lo siguiente:
Para el caso del costo de Generación, no se puede precisar el crecimiento esperado puesto que su formación corresponde a un precio que se forma en un mercado competitivo. No obstante, los contratos de compra-venta de energía que representan el mayor porcentaje en el total de compras de los comercializadores se indexan con el Índice de Precios al Productor (IPP).
En el caso de los componentes de Distribución y Transmisión, la actualización se realiza con el Índice de Precios al Productor (IPP) y por tanto se espera que éste crezca de conformidad con este índice.
En cuanto al componente de Comercialización, este se actualiza con el IPC
En relación con la componente de Restricciones, es variable por cuanto depende de la magnitud de la indisponibilidad de los activos de transmisión, siendo difícil predecir su comportamiento.
A nivel nacional, teniendo en cuenta los valores de los componentes que conforman el CU la participación de aquellos que crecen al IPP es mayoritaria, un escenario razonable para proyectar los costos de energía es esperar que el CU crezca aproximadamente al mismo ritmo que este índice. De todas maneras, es de recordar, como lo mencionamos anteriormente, la tarifa al usuario final solo se actualiza hasta que la fórmula como un todo o alguno de sus componentes acumule una variación de al menos el 3%.
En relación con la metodología tarifaria aplicable a los Usuarios Regulados del servicio público de Gas Natural Combustible por redes de tubería se encuentra establecida en la Resolución CREG 011 de 2003, conforme la siguiente expresión:
Cargo variable:

Cargo fijo:
![]()
| j | rango j de consumo |
| m | Mes de prestación del servicio |
| Gm | Costo promedio máximo unitario en $/m3 para compras de gas natural destinado a Usuarios Regulados. |
| Tm | Costo promedio máximo unitario en $/m3 para el transporte de gas en el Sistema Nacional de Transporte destinado a Usuarios Regulados. |
| p | % reconocido de pérdidas de gas en el Sistema Nacional de Transporte y en el Sistema de Distribución equivalente a 3.5%. |
| Dvjm | Componente variable del Cargo de Distribución en $/m3 permitido al Distribuidor por uso de la red. |
| Dfjm | Componente fijo del cargo de distribución, expresado en $/factura. El componente fijo para los usuarios del primer rango de consumo de la canasta de tarifas será igual a cero. |
| Cm | Cargo máximo de Comercialización del mes m expresado en pesos por factura |
Ahora bien para cada uno de los componentes se tiene:
COMPRAS DE GAS
El costo promedio máximo unitario para compras de gas (Gm) está asociado a los precios del mercado y el índice de devaluación de la moneda.
TRANSPORTE
El costo promedio máximo unitario de transporte de gas (Tm), se calculará con base en la siguiente expresión:

Bajo ninguna circunstancia el Comercializador podrá trasladar a los usuarios costos de transporte de gas superiores a los resultantes de aplicar lo dispuesto por la CREG para el servicio de transporte a Usuarios Regulados.
DISTRIBUCIÓN
La metodología de la Resolución CREG 011 de 2003 establece que con base en el Cargo Promedio de distribución aprobado por la Comisión (Resolución independiente por mercado relevante), el Distribuidor puede aplicar una metodología de canasta de tarifas en donde el cargo más alto (cargo techo), aplicable al rango de consumo no podrá exceder el 10% del cargo promedio de distribución y el cargo más bajo (cargo piso) o aquel aplicable a los usuarios de más alto consumo, no deberá ser menor al costo medio de la red primaria.
Los cargos definidos aplicando la metodología de canasta de tarifas son cargos máximos por rango.
Los cargos promedios de distribución aprobados en resoluciones particulares de la CREG, expresados en pesos de Fecha Base, se actualizan mes a mes de acuerdo con la siguiente fórmula general:
| Dm | Cargo Promedio de Distribución correspondiente al mes m de prestación del servicio. |
| D0 | Cargo Promedio de Distribución aprobado por resolución de la CREG y expresado en precios de la Fecha Base. |
| IPPm-1 | Índice de Precios al Productor Total Nacional reportado por el Banco de la República para el mes (m-1). |
| IPP0 | Índice de Precios al Productor Total Nacional reportado por el Banco de la República para la Fecha Base del cargo por distribución D0. |
XD | Factor de productividad mensual de la actividad de Distribución equivalente a 0.00106. Dicho factor aplicará a partir de la entrada en vigencia de la resolución que establece el Cargo Promedio de Distribución para cada mercado. |
| nm | Número de meses transcurrido desde la entrada en vigencia de la resolución que establece el Cargo Promedio de Distribución para cada mercado hasta el mes m. |
COMERCIALIZACIÓN
El Cargo de Comercialización se actualiza mensualmente utilizando la siguiente fórmula:

| Cm Cargo máximo de comercialización, expresado en pesos por factura, correspondiente al mes m de prestación del servicio | |
| C0 | Cargo base de comercialización aprobado por la CREG para cada mercado, expresado en pesos por factura, a precios de la Fecha Base. |
| IPCm-1 | Índice de Precios al Consumidor reportado por el DANE para el mes (m-1). |
| IPC0 | Índice de Precios al Consumidor reportado por el DANE para la Fecha Base del Cargo por Comercialización |
| Xc | El factor de productividad mensual de la actividad de Comercialización será 0.00125. Dicho factor aplicará a partir de la entrada en vigencia de la Resolución que establece el Cargo Base de Comercialización para cada mercado. |
| nm | Número de meses transcurrido desde la entrada en vigencia de la Resolución que establece el Cargo de Comercialización para cada mercado, hasta el mes m. |
De acuerdo con lo anterior se concluye que los cambios en cada uno de los componentes de la tarifa dependen de diversos factores: (i) el costo de gas, (ii) la tasa representativa del mercado, (iii) las condiciones económicas de los contratos de compra y transporte de gas y (iv) el origen y la trayectoria del gas comprado, entre otros. Para las actividades de distribución y comercialización la variación depende de los cambios en los indicadores económicos del IPC e IPP. Como en el caso del servicio público de electricidad, De todas maneras, es de recordar, como lo mencionamos anteriormente, la tarifa al usuario final solo se actualiza hasta que la fórmula como un todo o alguno de sus componentes acumule una variación de al menos el 3%.
Dichos documentos los podrá encontrar en la página web de la Comisión www.creg.gov.co en el link normas / Resoluciones CREG.
Esperamos haber atendido sus inquietudes.
Cordialmente,
HERNÁN MOLINA VALENCIA
Director Ejecutivo
1. Régimen de tarifas mediante el cual la comisión de regulación respectiva fijará los criterios y la metodología con arreglo a los cuales las empresas de servicios públicos domiciliarios pueden determinar o modificar los precios máximos para los servicios ofrecidos al usuario o consumidor.