CONCEPTO 566 DE 2007
(febrero 28)
<Fuente: Archivo interno CREG>
COMISIÓN DE REGULACIÓN DE ENRGÍA Y GAS
Bogotá, D. C.,
XXXXXXXXXXXXXXX
Asunto: Sus comunicaciones de consulta
Radicados CREG E-2007-001060 y E-2007-001137
Respetada XXXXX:
Hemos recibido sus correos electrónicos radicados con el número de la referencia en donde nos solicita explicación sobre la forma como se liquida el cobro mensual del servicio de gas domiciliario.
En relación con su inquietud nos permitimos precisarle lo siguiente:
La metodología tarifaria del servicio público de gas combustible por redes de tubería (Resolución CREG 011 de 2003) determina que la fórmula tarifaria general aplicable a los Usuarios Regulados del servicio domiciliario de distribución de gas natural, será la siguiente:
Cargo Variable:

Cargo fijo:

| J | Rango j de consumo |
| M | Mes de prestación del servicio |
| Gm | Costo promedio máximo unitario en $/m3 para compras de gas natural destinado a Usuarios Regulados. |
| Tm | Costo promedio máximo unitario en $/m3 para el transporte de gas en el Sistema Nacional de Transporte destinado a Usuarios Regulados |
| P | % reconocido de pérdidas de gas en el Sistema Nacional de Transporte y en el Sistema de Distribución equivalente a 3.5%. |
| Dvjm | Componente fijo del cargo de distribución expresado en $/factura. El componente fijo para los usuarios del primer rango de consumo de la canasta de tarifas será igual a cero. |
| Cm | Cargo máximo de comercialización del mes m expresado en pesos por factura. |
Ahora bien para cada uno de los componentes se tiene:
COMPRAS DE GAS
El costo promedio máximo unitario para compras de gas (Gm) se calcula con base en la siguiente expresión:

| Gm | Costo promedio máximo unitario en $/m3 para compras de gas natural para el mercado de comercialización |
| CTGm-1 | Costo total de compras de gas en el mes m-1, en USD, destinado al mercado de Usuarios Regulados. |
| Em-1 | Volumen de gas medido en el mes m-1 en las Estaciones de Puerta de ciudad, expresado en términos de energía con el Poder Calorífico promedio del gas medido en dichas Estaciones de Puerta de Ciudad (MBTU). |
| TRM(m-1) | Tasa de cambio Representativa del Mercado del último día del mes m-1. |
| PCm-1 | Poder calorífico del gas en el mes m-1, expresado en MBTU/m3 |
Así mismo se establece que bajo ninguna circunstancia el Comercializador podrá trasladar a los Usuarios Regulados costos promedios de compra de gas superiores al Precio Máximo Regulado, cuando el gas comprado esté sometido a dicho precio.
En relación con esta variable es importante precisar que el costo del gas está asociado a los precios del mercado y el índice de devaluación de la moneda.
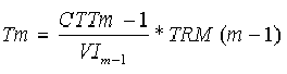
TRANSPORTE

| Tm | Costo promedio máximo unitario en $/m3 para el transporte de gas natural al mercado de comercialización. |
| CTTm-1 | Costo total de transporte de gas en el mes m-1, causados por el volumen efectivamente transportado incluyendo los cargos por capacidad y los cargos por volumen, en USD, destinado a Usuarios Regulados. |
| VIm-1 | Volumen de gas medido en condiciones estándar en el mes m-1 en las Estaciones de Puerta de Ciudad, según sea el caso (m3). |
| TRM (m-1) | Tasa de cambio representativa del mercado en el último día del mes m-1 |
Bajo ninguna circunstancia el Comercializador podrá trasladar a los usuarios costos de transporte de gas superiores a los resultantes de aplicar lo dispuesto por la CREG para el servicio de transporte a Usuarios Regulados.
DISTRIBUCIÓN
El cargo promedio de distribución se determina como la relación entre el valor presente descontado de la proyección de los costos de inversión y los gastos de AOM y el valor presente de la proyección de la demanda de volumen.
Para el caso de la empresa que atiende su municipio: MADIGAS INGENIEROS S.A. E.S.P., el cargo de distribución fue aprobado mediante la Resolución CREG 065 de 2006 y es de $ 712,37 $/m3 pesos de diciembre de 2003.
Ahora la metodología de la Resolución CREG 011 de 2003 establece que con base en el Cargo Promedio de distribución aprobado por la Comisión (Resolución independiente por mercado relevante), el Distribuidor puede aplicar una metodología de canasta de tarifas en donde el cargo más alto (cargo techo), aplicable a un rango de consumo no podrá exceder el 10% del cargo promedio de distribución y el cargo más bajo (cargo piso) o aquel aplicable a los usuarios de más alto consumo, no deberá ser menor al costo medio de la red primaria.
Los cargos definidos aplicando la metodología de canasta de tarifas son cargos máximos por rano. No obstante, el distrib. Oidor podrá ofrecer cargos menores en cada rango considerando que sean iguales para todos los usuarios del mismo rango, conservando una tendencia descendente, teniendo en cuenta lo establecido en los artículos 34 y 98 de la Ley 142 de 1994 y no afectando los cargos máximos definidos con la aplicación de metodología de canasta de tarifas.
Los cargos promedios de distribución aprobados en resoluciones particulares de la CREG, expresados en pesos de fecha Base, se actualizan mes a mes de acuerdo con la siguiente fórmula general:

| Dm | Cargo Promedio de Distribución correspondiente al mes m de prestación del servicio |
| Do | Cargo Promedio de Distribución aprobado por Resolución de la CREG y expresado en precios de la Fecha Base |
| IPPm-1 | Índice de precios al Productor Total Nacional reportado por el Banco de la República para el mes (m-1). |
| IPPO | Índice de precios al Productor Total Nacional reportado por el Banco de la República para la fecha base del cargo por distribución Do |
| Xo | Factor de Productividad mensual de la actividad de Distribución equivalente a 0.00106. Dicho factor aplicará a partir de la entrada en vigencia de la resolución que establece el Cargo Promedio de Distribución para cada mercado. |
| nm | Número de meses transcurrido desde la entrada en vigencia de la resolución que establece el Cargo Promedio de Distribución para cada mercado hasta el mes m. |
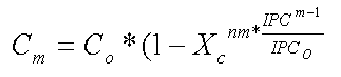
COMERCIALIZACIÓN
El cargo máximo base de comercialización Co, definido de acuerdo con la Resolución CREG 011 de 2003, se determinará como el cociente de la suma de los componentes a) y b) descritos a continuación, sobre el número de facturas del año para el cual se tomaron los parámetros de cálculo de dichos componentes.
a) Los gastos anuales de AOM y la depreciación anual de las inversiones en equipos de cómputo, paquetes computacionales y demás activos atribuibles a la actividad de comercialización que resulten de aplicar la metodología de Análisis Envolvente de Datos, tal como se describe en el Anexo 7 de la Resolución CREG 011 de 2003.
b) El ingreso anual del Comercializador correspondiente al año en el cual se efectuaron los cálculos de los gastos de AOM multiplicado por un margen de comercialización de 1.67%.
Es de anotar que para el mercado relevante en donde se encuentra su municipio se aprobó mediante Resolución CREG 065 de 2006 un cargo de comercialización de $ 3.151.39
Este cargo de comercialización se actualiza mensualmente utilizando la siguiente fórmula:

| Cm | Cargo máximo de comercialización, expresado en pesos por factura, correspondiente al mes m de prestación del servicio. |
| Co | Cargo base de comercialización aprobado por la CREG para cada mercado, expresado en pesos por factura, a precios de la Fecha Base. |
| IPCM-1 | Índice de Precios al Consumidor reportado por el DANE para el mes (m-1) |
| Xc | El factor de productividad mensual de la actividad de comercialización será 0.00125. Dicho factor aplicará a partir de la entrada en vigencia de la Resolución que establece el Cargo Base de Comercialización para cada mercado. |
| Nm | Número de meses transcurrido desde la entrada en vigencia de la Resolución que establece el Cargo de Comercialización para cada mercado, hasta el mes m. |
De acuerdo con lo anterior se observa que los componentes de la tarifa dependen de diversos factores: (i) el costo de gas, (ii) la tasa representativa del mercado, (iii) las condiciones económicas de los contratos de compra y transporte de gas y (iv) el origen y la trayectoria del gas comprado, entre otros. Para la actividad de distribución y comercialización la variación depende de los cambios en los indicadores económicos del IPC e IPP.
De acuerdo con la última publicación de tarifas de MADIGAS INGENIEROS S.A. E.S.P para el municipio de Medina a aplicar en el mes de enero de 2007 que se factura en el mes de febrero, se utilizaron los siguientes valores:
| Rangos de consumo | DVjm | Gm | Tm | Alfa | Cargo variable Mvjm | Cargo fijo Mfjm |
| Rango 1 (0 a 100 m3) | 353,66 | 140,17 | 92,49 | 0 | 595 | 3.444 |
| Rango 2 (101 a 999999) | 291,37 | 140,17 | 92,49 | 0,1 | 532 | 6.649 |
Ahora bien, al usuario en su factura le aparece el cargo fijo y el consumo del mes en metros cúbicos por el cargo variable.
Es importante tener en cuenta que sobre estos valores los usuarios de estrato 1 y 2 tienen un subsidio los cuales son establecidos conforme a lo definido en la Resolución CREG 001 de 2007 anteriormente Resoluciones CREG 108 de 2003 y 040 de 2004 y los usuarios de estrato 5 y 6 pagan una contribución del 20% de acuerdo con lo estipulado en la Resolución CREG 124 de 1996.
Las normas citadas en esta comunicación las puede encontrar en la página web de la Comisión www.creg.gov.co
Cordialmente,
CAMILO QUINTERO MONTAÑO
Director Ejecutivo