ACUERDO 1833 DE 2024
(mayo 24)
<Fuente: Archivo interno entidad emisora>
<Esta norma no incluye análisis de vigencia>
CONSEJO NACIONAL DE OPERACIÓN - CNO
Fecha de entrada en vigencia: mayo 24 de 2024
Por el cual se actualiza el "Procedimiento para la realización de las pruebas de verificación de la curva de capacidad de las plantas de generación eólicos y solares fotovoltaicas conectados al STN y STR y de los autogeneradores conectados al STN y al STR sin entrega de excedentes"
Sustituye Acuerdo:
04/04/2024 Acuerdo 1827 Por el cual se actualiza el "Procedimiento para la realización de las pruebas de verificación de la curva de capacidad de las plantas de generación eólicos y solares fotovoltaicas conectados al STN y STR y de los autogeneradores conectados al STN y al STR sin entrega de excedentes"
Acuerdos relacionados:
Acuerdo 1546 Por el cual se aprueban las curvas de potencia reactiva en función de la tensión (Q-V) que ajustan la curva PQ establecida en la Resolución CREG 060 de 2019 en el punto de conexión de las plantas solares y eólicas que se conecten al STN y al STR - 25/03/2022
EL CONSEJO NACIONAL DE OPERACIÓN
en uso de sus facultades legales, en especial las conferidas en el Artículo 36 de la Ley 143 de 1994, el Anexo general de la Resolución CREG 025 de 1995, su Reglamento Interno y según lo aprobado en la reunión no presencial 751 del 24 de mayo de 2024, y
CONSIDERANDO:
1. Que el numeral 5.7 -Control de Voltaje- del Código de Operación de la Resolución CREG 025 de 1995 Código de Redes modificado por el Artículo 14 de la Resolución CREG 060 de 2019 prevé:
"El numeral 5.7 del Código de Operación contenido en la Resolución CREG 025 de 1995, modificado por el artículo 1 de la Resolución 135 de 2013, quedará así:
5.7 CONTROL DE VOLTAJE
Los voltajes objetivo en los nodos de generación se determinarán según los resultados de las metodologías del Planeamiento Operativo Eléctrico.
Los movimientos de taps en los transformadores con cambio bajo carga, se hacen según los resultados del Planeamiento Operativo Eléctrico de Corto y muy Corto Plazo.
La disminución de voltaje se hace siguiendo las instrucciones del CND o del CRD, según el siguiente orden de prioridades:
1. Ajuste de voltajes objetivo de generadores.
2. Cambio de posición de los taps de transformadores.
3. Desconexión de condensadores.
4. Conexión de reactores.
5. Desconexión de líneas de transmisión o distribución en horas de baja carga.
El aumento de voltaje se hace siguiendo las instrucciones del CND o del CRD, según el siguiente orden de prioridades:
1. Conexión de líneas de transmisión o distribución.
2. Desconexión de reactores.
3. Conexión de condensadores.
4. Cambio de posición de los taps de transformadores.
5. Ajuste de voltajes objetivo de generadores.
Todas las plantas del SIN están obligadas a participar en el control de tensión, por medio de la generación o absorción de potencia reactiva según la curva de capacidad declarada.
La generación o absorción de potencia reactiva de las centrales se establece en los análisis eléctricos de estado estacionario para las diferentes condiciones de demanda.
La frecuencia con la que deben realizarse las pruebas de potencia reactiva se establecen en el numeral 7.4.1 Prueba de Potencia Reactiva del Reglamento de Operación.
Las plantas eólicas y solares fotovoltaicas, conectadas al STN y STR, deberán cumplir lo siguiente:
a) Tener la capacidad de controlar la tensión en forma continua en el rango operativo normal del punto de conexión, por medio de la entrega o absorción de potencia reactiva de acuerdo con su curva de carga declarada y según las consignas de operación definidas por el CND, para esto, se deberán cumplir los siguientes requisitos:
El regulador de tensión deberá contar con los siguientes modos de control: tensión, potencia reactiva y factor de potencia.
El regulador de tensión deberá disponer de un estatismo configurable.
El control de potencia reactiva/tensión, debe ajustarse de tal manera que sea estable y que, ante cualquier cambio en lazo abierto tipo escalón en la consigna de tensión, potencia reactiva o factor de potencia, la potencia reactiva de la planta tenga un tiempo de respuesta inicial menor a 2 segundos y un tiempo de establecimiento menor a 10 segundos.
El control debe tener la capacidad de recibir al menos una consigna de potencia reactiva, de tensión o factor de potencia de forma local o remota.
Para tensiones dentro del rango normal de operación en el punto de conexión, deberá operar dentro de los límites establecidos por la curva de capacidad de plantas eólicas y solares fotovoltaicas que se muestra a continuación.
Curva de capacidad de plantas fotovoltaicas

Donde:
P y Q son la potencia activa y reactiva y Pn es la potencia activa nominal.
Cuando una planta de generación eólica y solar fotovoltaica, conectada al STN y STR, esté operando en valores de potencia inferiores al 10% de la potencia activa nominal no habrá exigencia de entrega o absorción de potencia reactiva para control de tensión. Sin embargo, en esa condición la planta no debe exceder el 5% en aporte o absorción de potencia reactiva respecto a la capacidad de potencia activa nominal de la planta (5 % Q/Pn).
Antes de la entrada en operación comercial, se realizarán pruebas para verificar las curvas de capacidad y, posterior a la entrada en operación, el CND realizará seguimiento posoperativo para verificar que se conserve su cumplimiento.
Cuando se presenten fallas simétricas o asimétricas deben poder operar dentro de los límites establecidos por las curvas de comportamiento de depresiones de tensión (LVRT) y sobretensiones (HVRT) para plantas eólicas y solares fotovoltaicas.
La Característica de depresiones de tensión y sobretensiones para plantas eólicas y solares fotovoltaicas conectadas al STN y STR, que no incluye red de 500 kV, es la que se muestra a continuación:

La Característica de depresiones de tensión y sobretensiones para fuentes no síncronas conectadas a la red en el nivel de tensión de 500 kV es la que se muestra a continuación:

Adicional a lo anterior, estas plantas deben ser capaces de superar depresiones de tensión sucesivas así:
--Para plantas eólicas, si la energía disipada durante las depresiones de tensión es menor a la capacidad nominal del recurso de generación durante 2 segundos, contabilizada en una ventana móvil de 30 minutos. - Para plantas solares fotovoltaicas, deben soportar depresiones sucesivas separadas por 30 segundos entre depresión y depresión.
La depresión de tensión se considera superada cuando la tensión de línea-línea es mayor a 0.85 p.u. Una vez superada la depresión de tensión, la fuente de generación debe recuperar el 90% de la potencia activa que estaba suministrando antes de la depresión en un tiempo no superior a 1 segundo.
El CND realizará seguimiento del cumplimiento de este requisito ante eventos en el SIN.
Deben priorizar la inyección de corriente reactiva de forma que alcance un 90% del delta de cambio esperado en menos de 50 ms, con una tolerancia del 20%, ante desviaciones de tensión que excedan los límites operativos de la tensión nominal en la planta de generación. Los 50 ms consideran el tiempo necesario para detectar la falla.
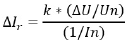
El valor del delta de cambio de inyección de corriente reactiva (AI_r), en el punto de conexión, se calcula de acuerdo con la siguiente figura:

Para la figura anterior, se deben tener en cuenta los siguientes criterios:
es el valor de la siguiente relación:
![]()
Donde:
es la variación de comente reactiva respecto al valor de corriente reactiva que tenía antes del evento
In es la corriente nominal /
AU es la variación de tensión respecto al valor de tensión que tenía antes del evento
Un es la tensión nominal
k valor de la pendiente de respuesta. Debe ser ajustable con valores entre O y 10
--El aporte de potencia reactiva adicional se limitará al 100% de la corriente nominal del generador.
--El CND determinará el valor de k a ser usado en el punto de conexión, después de realizar los estudios eléctricos con el modelo suministrado por cada planta de generación. Cada planta de generación solar fotovoltaica y eólica debe determinar el valor de k a utilizar en cada inversor para cumplir con el valor de k definido por el CND en el punto de conexión, para lo cual se debe tener en cuenta una k parametrizable entre 0 y 10 en cada inversor y el valor máximo declarado para el generador.
--La banda muerta de tensión corresponde al rango de tensión de operación normal en el punto de conexión definido en el numeral 5.1 del Código de Operación y en el cual no operará el control de respuesta rápida de corriente reactiva definido en este literal.
--El aporte de potencia reactiva adicional se debe mantener siempre que la tensión esté por fuera del rango normal de operación.
--Se debe mantener un aporte de potencia reactiva por 500 ms después de que la tensión entre a la banda muerta de tensión manteniendo un aporte adicional proporcional a la desviación de la tensión con respecto al valor de referencia (1 p.u).
Ante eventos simultáneos de frecuencia y tensión, el CND deberá evaluar según el estado del sistema que prioridad da a la corrección de las variables de balance de frecuencia o tensión.
El CND deberá realizar evaluaciones periódicas del funcionamiento de este servicio teniendo en cuenta las condiciones del SIN."
2. Que en el artículo 18 de la Resolución CREG 060 de 2019 se prevé lo siguiente:
"Artículo 18. Adiciónese el numeral 7.7 (“pruebas para plantas solares fotovoltaicas y eólicas”) al Código de Operación, contenido en el anexo general de la Resolución CREG 025 de 1995. El numeral 7.7 del Código de Operación quedara así:
7.7 PRUEBAS PARA PLANTAS SOLARES FOTOVOLTAICAS Y EÓLICAS.
Antes de declararse en operación comercial, las plantas eólicas y solares fotovoltaicas, conectadas al STN y STR, deben realizar y remitir los resultados de las siguientes pruebas al CND, de acuerdo con los términos y plazos establecidos mediante Acuerdo C.N.O:
--Pruebas de la curva de capacidad de que trata el literal b del numeral 5.7 del Código de Operación que hace parte del anexo general de la Resolución CREG 025 de 1995.
--Pruebas de las características del control de potencia activa/frecuencia de que trata el artículo 4 de la Resolución CREG 023 de 2001.
--Pruebas de rampa operativa de entrada y salida de que trata el numeral 5.8 del Código de Operación que hace parte del anexo general de la Resolución CREG 025 de 1995.
--Pruebas de las características del control de potencia reactiva/tensión de que trata el literal a del numeral 5.7 del Código de Operación que hace parte del anexo general de la Resolución CREG 025 de 1995.
--Pruebas de desempeño de respuesta rápida en frecuencia de que trata el numeral 5.6.3 del Código de Operación que hace parte del anexo general de la Resolución CREG 025 de 1995.
--Pruebas a las características de operación ante depresiones de tensión y sobretensiones para plantas eólicas y solares fotovoltaicas de que trata el literal c del numeral 5.7 del Código de Operación que hace parte del anexo general de la Resolución CREG 025 de 1995. El C.N.O definirá mediante Acuerdo el contenido y el proceso de aceptación de certificados de laboratorio o fábrica de esta prueba. En todo caso, dichos certificados deberán estar avalados por entidades a nivel nacional o internacional, según el caso.
--Pruebas a los requerimientos de priorización en la inyección rápida de corriente reactiva de que trata el literal d del numeral 5.7 del Código de Operación que hace parte del anexo general de la Resolución CREG 025 de 1995. El C.N.O definirá mediante Acuerdo el contenido y el proceso de aceptación de certificados de laboratorio o fábrica de esta prueba. En todo caso, dichos certificados deberán estar avalados por entidades a nivel nacional o internacional, según el caso.
Lo anterior, sin perjuicio de las pruebas de puesta en servicio propias que debe realizar un proyecto de generación para entrar en operación, las pruebas requeridas por el TN, TR u OR que entrega el punto de conexión y las demás pruebas establecidas en la regulación vigente.
Adicional a las pruebas establecidas anteriormente, el CND realizará seguimiento posoperativo para verificar el cumplimiento de los requerimientos técnicos establecidos en la presente Resolución.
La solicitud para realizar una prueba cubre generadores solares fotovoltaicos y eólicos conectados al STN y STR. (...)"
3. Que el Consejo expidió el Acuerdo 1225 de 2019, por el cual se estableció el "Procedimiento para la realización de las pruebas de verificación de la curva de carga de las plantas eólicas y solares fotovoltaicas conectadas al STN y STR", el cual fue sustituido por el Acuerdo 1364 de 2020, por el que se actualización de los<sic> condiciones para la realización de las pruebas, teniendo en cuenta la Resolución CREG 044 de 2020.
4. Que mediante la Resolución CREG 229 de 2021 se adicionó un inciso al final del literal b) del numeral 5.7 del Código de Operación, Resolución CREG 025 de 1995, modificado por el artículo 14 de la Resolución CREG 060 de 2019, y se estableció en el artículo primero lo siguiente:
"Para la aplicación de la curva P-Q anterior el C.N.O., con apoyo del CND, deberá determinar mediante simulaciones de la operación del sistema una curva de potencia reactiva en función de la tensión (Q-V) o equivalente en el punto de conexión, que conjuntamente con la curva P-Q permitan determinar los requisitos que deben cumplir las plantas en el punto de conexión. Lo anterior debe expedirse mediante Acuerdo del C.N.O.(...)“
5. Que el CNO expidió el Acuerdo 1546 de 2022 "Por el cual se aprueban las curvas de potencia reactiva en función de la tensión (Q-V) que ajustan la curva PQ establecida en la Resolución CREG 060 de 2019 en el punto de conexión de las plantas solares y eólicas que se conecten al STN y al STR".
6. Que el Acuerdo 1364 de 2020 fue sustituido por el Acuerdo 1563 de 2022, por el que se actualizó el procedimiento para la verificación de las curvas de capacidad de las plantas de generación y los autogeneradores solares y eólicos conectados al STN y al STR, de acuerdo con lo previsto en la Resolución CREG 229 de 2021 y el Acuerdo 1546 de 2022.
7. Que la CREG mediante concepto con radicado S2023003889 del 28 de agosto de 2023 dio respuesta a la solicitud de aclaración del CNO del concepto 3228 del 2021 de la CREG relacionado con cuáles son las características que debe tener un AGGE con tecnología solar fotovoltaica o eólica para no influir sobre el STR y STN, y aclarar si ello está asociado solamente a la condición de entrega o no de excedentes al SIN, especificar cuáles son las condiciones de conexión y pruebas que deben realizar los AGGE de tecnología solar fotovoltaica y eólica sin entrega de excedentes conectados al STN/STR, y si se concluye por parte de la CREG que los AGGE que se sincronizan con el SIN a través de inversores, conectados al STN/STR, pero sin entrega de excedentes al SIN, los cobija la Resolución CREG 060 de 2019, se solicitó a la Comisión esclarecer la aplicabilidad de dicha norma, y si es del caso, realizar los ajustes correspondientes con el fin de llevar a cabo las modificaciones a los acuerdos CNO que instrumentan la Resolución referenciada. Al respecto, la CREG mencionó lo siguiente:
"En tal sentido, respecto a la aclaración del literal a), las plantas y AGGE con tecnología solar o eólica a que se refiere el citado concepto CREG 3228 de 2021, no operan en sincronismo eléctrico con el SIN y por tanto no están en condiciones de afectar la operación de la red eléctrica (del STN o STR en este caso).
En línea con lo anterior y referente al literal b), la condición arriba referida implica la no entrega de excedentes de energía a la red, pero tal característica no exime de por si del cumplimiento de los requisitos de la Resolución CREG 060 de 2019, los cuales son exigibles a un AGGE sin entrega de excedentes de energía pero operando de manera sincronizada a la red.
Ahora bien, conforme a este concepto, les informamos que la Resolución CREG 060 de 2019 no es específica sobre los requisitos que no aplican en condiciones de no entrega de excedentes, como los que menciona en su comunicación. Dicha resolución solo se refiere a la característica de tener punto de conexión al STN o STR, por lo cual, en primera medida, son requisitos de aplicación general.
No obstante, dado que como señala en su comunicación algunos requerimientos de la citada resolución no podrían cumplirse por parte de usuarios AGGE sin entrega de excedentes al STN o STR, pero sincronizados al SIN, entendemos que el C.N.O. tiene la facultad de establecer los términos para las pruebas requeridas, por lo cual está en capacidad de determinar que pruebas no aplican por la condición de no entrega de excedentes en caso de que no sea factible su cumplimiento."
8. Que se expidió el Acuerdo 1827 de 2024 por el cual se actualizó el Procedimiento General para la realización de pruebas de verificación de la curva de capacidad con la inclusión de los requisitos que aplican a los autogeneradores sin entrega de excedentes, y se sustituyó el Acuerdo 1563 de 2022.
9. Que el Subcomité de Controles en la reunión 302 del 14 de mayo de 2024 dio concepto favorable a la expedición del presente Acuerdo, en el que se incluyen cambios, considerando la posibilidad de realizar pruebas mínimo hasta el 90 % de la potencia nominal.
10. Que el Comité de Operación en la reunión no presencial 441 del 24 de mayo de 2024 recomendó la expedición del presente Acuerdo.
ACUERDA:
1. PROCEDIMIENTO: Aprobar la actualización del "Procedimiento para verificar la curva de capacidad de las plantas eólicas y solares fotovoltaicas conectadas al STN y STR y de los autogeneradores conectados al STN y al STR sin entrega de excedentes", que se presenta en el Anexo 1 del presente Acuerdo que hace parte integral del mismo.
2. CRONOGRAMA DE REALIZACIÓN DE PRUEBAS DE VERIFICACIÓN DE LA CURVA DE CAPACIDAD: A partir de la fecha de entrada en vigencia del presente Acuerdo, el CND elaborará de común acuerdo con los agentes generadores un cronograma de realización de las pruebas de verificación de la curva de capacidad de las plantas eólicas y solares fotovoltaicas que se conecten al STN y STR. En el Subcomité de Controles se presentará la actualización del cronograma, cuando aplique.
3. PRESENTACIÓN DE BALANCE DE LOS RESULTADOS DE LAS PRUEBAS DE VERIFICACIÓN DE LA CURVA DE CAPACIDAD: El balance de los resultados de las pruebas de verificación de la curva de capacidad de las plantas eólicas y solares fotovoltaicas conectadas al STN y al STR será presentado por el CND al Subcomité de Análisis y Planeamiento Eléctrico cada seis (6) meses.
4. CURVA DE REFERENCIA: Las plantas eólicas y solares fotovoltaicas conectadas al STN y STR deben cumplir alguna de las siguientes alternativas de curva de capacidad:
--Curva de capacidad definida en el punto de conexión, en el literal b del Artículo 14 de la Resolución CREG 060 del 2019 o aquella que la modifique o sustituya.
--Curva PQ definida en el punto de conexión, en el literal b del Artículo 14 de la Resolución CREG 060 del 2019 o aquella que la modifique o sustituya, ajustada con curva QV definida en el Acuerdo CNO 1546 o aquel que lo modifique o sustituya, considerando lo establecido en el Artículo 1 de la Resolución CREG 229 del 2021.
--Curva P-Q definida en el punto de conexión, en el literal b del Artículo 14 de la Resolución CREG 060 del 2019 o aquella que la modifique o sustituya, en los terminales de alto voltaje del transformador elevador del generador considerando la transición establecida en el Artículo 2 de la Resolución CREG 229 del 2021.
Para los autogeneradores sin entrega de excedentes, se debe tomar como referencia la curva PQ/VQ definida en la Resolución CREG 060 del 2019 o aquella que la modifique o sustituya en el punto de medida a la salida de la planta (POM), tomando como base el valor de potencia activa nominal en AC de la planta reportada como POTENCIA NOMINAL en el ANEXO 4 del Acuerdo CNO 1670 o aquel que lo modifique o sustituya.
5. DEFINICIÓN DE PUNTOS A PROBAR: Con base en la curva de capacidad declarada por el agente que debe cumplir con los requerimientos de curva de referencia definidos en el Artículo Cuarto del presente Acuerdo, los Agentes y el CND acordarán los puntos operativos en el plano P - Q de la planta de generación que serán sometidos a prueba. Como mínimo se deberán verificar tres (3) puntos en la zona de absorción de potencia reactiva y tres (3) puntos en la zona de entrega de potencia reactiva para las potencias correspondientes al mínimo técnico, un valor intermedio y la potencia nominal de la planta. En caso de que la curva a probar cuente con varios vértices se recomienda probarlos todos previa revisión entre el agente y el CND en la planeación de la prueba correspondiente. Con base en las condiciones del Sistema y características de la curva de capacidad, pueden considerarse más de tres puntos de prueba en cada región para mejorar la precisión de la curva a declarar.
Para los autogeneradores sin entrega de excedentes, se acordarán los puntos a probar considerando los valores de potencia activa referenciados en el POM teniendo en cuenta el nivel de generación de la planta y las condiciones de la carga al momento de la prueba, maximizando la región de potencia activa a verificar sin originar entrega de excedentes en el punto de conexión. Los puntos a probrar podrán ser redefinidos al momento de la prueba por el auditor, teniendo en cuenta el consumo de la carga asociada al autogenerador. En este caso se deben considerar también como mínimo tres (3) puntos en la zona de absorción de potencia reactiva y tres (3) puntos en la zona de entrega de potencia reactiva para las potencias correspondientes al mínimo técnico, un valor intermedio y la potencia máxima que pueda ser alcanzada según las condiciones de la carga.
Las pruebas se considerarán exitosas si se cumple con alguno de los 3 siguientes casos, tal como se encuentra indicado en el numeral 4.1 del Anexo 1 del presente Acuerdo:
Se evalúan todos los puntos planeados durante pruebas en sitio. Si para dar cumplimiento con la evaluación de los puntos a valores superiores al 90 % de la potencia nominal, el agente aporta registros operativos mostrando que se alcanzan los valores de Q tanto en absorción como en entrega de potencia para los puntos pendientes a evaluar por encima del 90 % de la potencia nominal, en el modo de control en el que se encuentre la planta. En este caso, los resultados deberán ser reportados por el agente al auditor, quien deberá verificar los registros correspondientes sin que se requiera en este caso su presencia en sitio e incorporar los mismos en el informe de auditoría. Si durante los intentos realizados se alcanza un valor superior o igual al 90 % de la potencia nominal pero inferior a la capacidad nominal y no se cuenta con registros en los que se haya alcanzado los valores de Q tanto en absorción como en entrega de potencia para los puntos pendientes a evaluar por encima del 90 % de la potencia nominal en el modo de control en el que se encuentre la planta.
Para el caso 3, luego de la entrada en operación de la planta, el agente tendrá 12 meses contados a partir de la fecha de prueba exitosa, en la que se alcanzó un valor igual o superior al 90 % de la potencia nominal, para enviar resultados de pruebas al CND mostrando que se alcanzan los valores de Q tanto en absorción como en entrega de potencia reactiva que se encuentran pendientes de verificación para valores superiores al 90 % de la potencia nominal. Para esto el agente podrá utilizar datos operativos considerando el modo de control en el que se encuentre la planta o podrá realizar pruebas siguiendo lo establecido en el presente Acuerdo.
Es de aclarar que las pruebas de verificación de la curva de capacidad son exitosas, si se alcanzan los puntos definidos en el Artículo Quinto del presente Acuerdo, o un valor entre estos puntos y los asociados a la curva de referencia indicada en el Artículo Cuarto del presente Acuerdo, en el punto donde se define el requerimiento de esta, o mínimamente los puntos definidos por la curva de referencia indicada en el Artículo Cuarto del presente Acuerdo en el punto donde se define el requerimiento de esta, y se sostienen los valores de potencia reactiva en cada punto de prueba en los tiempos de duración y con las tolerancias que se definen en el Anexo 1 del presente Acuerdo.
PARÁGRAFO PRIMERO: Si la prueba no se puede llevar a cabo por las condiciones del SIN en la fecha programada, ésta deberá ser reprogramada de común acuerdo entre el CND y el agente, una vez se restablezcan las condiciones operativas propicias para la prueba.
PARÁGRAFO SEGUNDO: Para verificar la curva de capacidad en el punto que corresponda según el Artículo Cuarto del presente Acuerdo, para plantas nuevas o existentes que operen con fronteras embebidas o autogeneradores, se deberá revisar en el Subcomité de Controles qué mediciones adicionales son factibles para individualizar el aporte de la planta bajo pruebas. Será responsabilidad del auditor verificar el cumplimiento de la curva en el punto que corresponda, utilizando las mediciones correspondientes.
Para el caso de los autogeneradores que no entregan excedentes, las mediciones se reportarán en el POM.
7. REPORTE DE CURVA DE CAPACIDAD PARA PLANTAS EÓLICAS Y SOLARES FOTO VOLTAICAS QUE SE CONECTARÁN AL STN Y STR: Los agentes generadores de las plantas eólicas y solares fotovoltaicas que se conectarán al STN y STR; deben reportar al CND la curva PQ dentro del rango normal de operación según lo previsto en el Acuerdo 1214 de 2019, o aquel que lo modifique o sustituya.
Asimismo, el agente debe suministrar la función matemática o una familia de curvas con un paso de tensión de 0.01 p.u desde una tensión en el punto donde se define la curva de referencia de 0.9 p.u a 1.1 p.u, que permita calcular la potencia reactiva de acuerdo con la tensión que se tenga en el punto donde se define la curva de referencia.
Para el caso de los autogeneradores que no entregan excedentes se entregará una familia de curvas en el POM y en el punto de de conexión sin incluir el consumo de potencia reactiva del cliente.
8. REPORTE DE CURVA DE CAPACIDAD EN EL PUNTO DE CONEXIÓN PARA PLANTAS EÓLICAS Y SOLARES FOTOVOLTAICAS QUE SE ENCUENTREN EN OPERACIÓN COMERCIAL ANTES DE LA ENTRADA EN VIGENCIA DE LA RESOLUCIÓN CREG 060 DEL 2019: Los agentes generadores de las plantas eólicas y solares fotovoltaicas conectadas al STN y STR que se encuentren en operación comercial antes de la entrada en vigencia de la Resolución CREG 060 del 2019 deben reportar al CND la curva PQ dentro del rango normal de operación en el plazo definido en la Resolución CREG 060 del 2019 o aquella que la modifique o sustituya.
9. CAMBIOS EN COMPENSACIONES, GENERACIÓN, SISTEMA DE CONTROL DE TENSIÓN O POTENCIA NOMINAL DE LAS PLANTAS EÓLICAS Y SOLARES CONECTADAS AL STN Y STR: Los agentes generadores de las plantas eólicas y solares fotovoltaicas que estén conectadas al STN y STR que realicen cambios o modernizaciones de sus sistemas de compensación, generación, control de tensión de la planta o cambio de potencia activa nominal, tendrán un plazo máximo de 90 días calendario contados a partir de la fecha del cambio en alguno de los elementos indicados, para reportar la nueva curva de carga de la planta considerando las alternativas definidas en el Artículo Cuarto del presente Acuerdo. En caso de que por razones técnicas la curva de capacidad no pueda ser reportada en los plazos establecidos, los agentes realizarán la solicitud de aplazamiento a través del Subcomité de Controles quien con base en la justificación dará aprobación o no de dicha solicitud y cuando aplique se actualizará el cronograma de pruebas correspondientes. Cuando se presente un cambio en el sistema de control de tensión y el agente no identifique la necesidad de realizar las pruebas para verificar la curva de capacidad, este deberá presentar en el Subcomité de Controles el análisis que justifica la no realización de estas pruebas y el Subcomité definirá si es necesario realizarlas. Los agentes acordarán con el CND la realización de pruebas de verificación de la curva correspondiente tal como lo especifica el presente Acuerdo. La nueva curva de carga deberá cumplir con la referencia definida en el numeral 4 del presente Acuerdo y se declarará teniendo en cuenta lo establecido en el Acuerdo CNO 1413 de 2021 o aquel que lo modifique o sustituya.
PARÁGRAFO: Para verificar la curva de capacidad en el punto que corresponda según el artículo cuarto del presente Acuerdo, cuando se den modernizaciones en plantas que operen con fronteras embebidas o autogeneradores, se deberá revisar en el Subcomité de Controles qué mediciones adicionales son factibles para individualizar el aporte de la planta bajo pruebas. Será responsabilidad del auditor verificar el cumplimiento de la curva en el punto que corresponda utilizando las mediciones correspondientes.
10. AUDITORÍA DE LAS PRUEBAS: Las funciones del auditor de las pruebas para verificar la curva de capacidad de las plantas eólicas y solares fotovoltaicas conectadas al STN y STR son:
--Verificar con el CND y con el OR correspondiente (en los casos que aplique según las condiciones establecidas en este Acuerdo) si las condiciones del sistema para las pruebas están dadas y si las mismas pueden realizarse.
--El auditor deberá verificar el cumplimiento de la prueba conforme a lo establecido en el Artículo Sexto del presente Acuerdo.
--Verificar la obtención de registros de la prueba con el uso de un registrador con certificado de calibración con una vigencia menor o igual a 5 años.
--Reportar los resultados de las pruebas según lo definido en el Anexo 1 del presente Acuerdo.
--Elaborar el informe preliminar según lo definido en el Anexo 2 del presente Acuerdo, al finalizar la prueba y el informe detallado cuyo formato se presenta en el Anexo 3 del presente Acuerdo.
--Para las plantas a las que les aplique el parágrafo del Artículo 8 del presente Acuerdo, verificar el cumplimiento de la curva en el punto que corresponda utilizando las mediciones definidas.
11. El presente Acuerdo rige a partir de la fecha de su expedición y sustituye el Acuerdo 1827 de 2024.
MARCELO ALVAREZ
Presidente
ALBERTO OLARTE AGUIRRE
Secretario Técnico
<Consultar anexo original descargado de la web del CNO: 20 de noviembre de 2024, directamente en el siguiente enlace:
https://normograma.com/documentospdf/PDF/A_CNO_1833_2024_ANEXO1.pdf
<Consultar anexo original descargado de la web del CNO: 20 de noviembre de 2024, directamente en el siguiente enlace:
https://normograma.com/documentospdf/PDF/A_CNO_1833_2024_ANEXO2.xlsx
<Consultar anexo original descargado de la web del CNO: 20 de noviembre de 2024, directamente en el siguiente enlace:
https://normograma.com/documentospdf/PDF/A_CNO_1833_2024_ANEXO3.pdf