CONCEPTO 2827 DE 2004
COMISIÓN DE REGULACIÓN DE ENERGIA Y GAS
<NOTA: concepto bajado de la página de intenet de la CREG>
Solicitante: XXXXX
Fecha:
Radicación: CREG – E – 2004 – 006592
Tema: Aumento de las tarifas de gas natural.
RESPUESTA: S – 2004 – 002827
PROBLEMA: Se plantean algunas inquietudes con respecto al incremento en las tarifas de gas natural.-
Bogotá, D.C.,
XXXXXXXXXXXXXXX
Asunto: Su comunicación vía e-mail
Radicado CREG E-2004-006592
Respetado XXXXX:
Hemos recibido su correo electrónico, en donde expresa lo siguiente: "Cómo la CREG autoriza un aumento del 43.3% de la tarifa de gas natural. Esto no está amparado bajo aumento del IPC? Según lo pregonan, todo lo que suba debe estar dado en esta variable macroeconómica.
Cuál es la función de la CREG, para defender al usuario de este servicio, y no establecer un aumento tan dramático. No era posible hacerlo escalonado?"
En relación con su inquietudes nos permitimos aclararle los diferentes aspectos que explican los cambios tarifarios ocurridos durante el mes de mayo y junio en la empresa GAS NATURAL S.A. E.S.P, los cuales son el resultado de la aplicación de la nueva metodología establecida para remunerar las actividades de distribución y comercialización de gas combustible y la nueva fórmula para la prestación del servicio público domiciliario (Resolución CREG 011 de 2003).
Luego de más de cinco años de vigencia de las actuales fórmulas tarifarias, y según lo dispuesto en la Ley 142 de 1994, la Comisión de Regulación de Energía y Gas aprobó una nueva metodología de carácter general y de aplicación en todas las áreas de servicio no exclusivo del país.
La metodología aprobada por la CREG, determina unos nuevos cargos de comercialización y distribución que reflejan una asignación más precisa de costos por usuario, estableciendo cargos descendentes de acuerdo con el nivel de consumo; es decir los usuarios con menor consumo que imponen un costo unitario superior con respecto a usuarios de gran consumo, tienen una tarifa unitaria mayor, mientras que los usuarios de consumos más altos, que imponen menores costos unitarios, tienen una tarifa menor.
Asimismo, estos cargos incorporan explícitamente los costos necesarios para asegurar estándares de calidad del servicio y el costo de las inversiones necesarias para incrementar cobertura. También incorporan factores de eficiencia en la prestación del servicio; separan claramente la actividad de distribución y comercialización; permiten estrategias comerciales independientes para el mercado regulado y para el no regulado; y definen claramente el alcance de la tarifa dentro de un mercado relevante.
Con esta metodología se espera que se incremente la penetración en términos volumétricos y se mantenga el ritmo de crecimiento en cobertura de usuarios y municipios, acorde con las metas de masificación de este combustible establecidas por el gobierno.
Es importante precisar que la tarifa unitaria de la prestación del servicio cobrado en la factura de los usuarios, resulta de agregar los costos de producción, transporte, distribución y comercialización. Los cargos aprobados con la nueva metodología remuneran las actividades de distribución y comercialización que corresponden aproximadamente al 50% de la tarifa total a usuario final. A continuación se detallan algunos aspectos generales relacionados con la nuevas tarifas y algunos tópicos particulares relacionados con las tarifas de la ciudad de Bogotá.
1. LAS NUEVAS TARIFAS
Para el caso particular de GAS NATURAL S.A. E.S.P., mediante la Resolución CREG 033 de 2004, la CREG aprobó para la empresa un cargo promedio de distribución de 238,97 $/m3 y uno de comercialización de 1.896,33 $/factura (pesos de 31 de diciembre de 2002).
Con base en el Cargo Promedio de Distribución aprobado, la empresa aplicó la metodología de canasta de tarifas definida en la Resolución CREG 011 de 2003 y estableció 6 rangos de consumo, teniendo en cuenta que el primero de ellos no excediera el 10% del cargo promedio de distribución y que el cargo más bajo no fuera menor al costo medio de la red primaria. Es importante precisar que la empresa bajo ciertas condiciones tiene la libertad de diseñar esta canasta tarifaria.
- Tarifas en el mes de abril de 2004 (Anterior periodo tarifario)
En el mes de abril de 2004, de acuerdo con los datos publicados por GAS NATURAL S.A. E.S.P., el cargo promedio máximo del servicio de gas natural era de 496.83 $/m3, el cual la empresa estructuró en cargo fijo y variable para cada uno de los sectores de consumo de la siguiente manera:

- Tarifas en el mes de mayo de 2004 (Nuevo periodo tarifario)
Con los nuevos cargos aprobados mediante Resolución CREG 033 de 2004, la empresa determinó que para el mes de mayo los cargos fijos y variables para los diferentes rangos de consumo, serían los siguientes:

Se resalta que la estructura tarifaria cambió y se determina ahora por rangos de consumo, y no por clasificación por tipo de usuarios como en el régimen anterior.
1.1. INCREMENTOS POR RANGOS DE CONSUMO
El incremento promedio por factura para todos los usuarios de la empresa GAS NATURAL S.A., fue del 17%. Sin embargo, en el primer rango de consumo definido por la empresa, para un usuario residencial cuyo consumo promedio esta alrededor de los 23 m3, el incremento en la factura fue aproximadamente del 27%, lo cual equivale a unos 3.000 pesos mensuales para los estratos 3, 4, 5 y 6. El incremento tarifario para los usuarios de los estratos 1 y 2, en relación con sus consumos básicos o de subsistencia, debe corresponder solo a la variación del IPC, tal como lo establece la Ley 812 de 2003. Igualmente, aunque no es comparable, en las nuevas tarifas se aplica un cargo fijo menor para el rango 1 de consumo.
Gráfica 1. Variaciones en la factura sector residencial
(Sin subsidios ni Contribuciones)

Gráfica 2. Variaciones en la factura sector comercial e industrial
(Sin Contribuciones)

En las gráficas se puede observar, tal y como se comentó anteriormente, que los usuarios residenciales pagan un poco más en sus facturas y los del sector industrial y comercial pagan menos por unidad de consumo (m3), acorde con su estructura de costos.
1.1.1. INCREMENTO EN LA COBERTURA EN NÛMERO DE USUARIOS
La empresa GAS NATURAL S.A. E.S.P. actualmente presta el servicio en Bogotá D.C. y en el municipio de Soacha. Su expansión incluye nuevos usuarios en dichas ciudades y adicionalmente en el municipio de Sibaté. En este sentido, los nuevos cargos incorporan las inversiones necesarias para extender la cobertura del servicio a un promedio de 45.000 nuevos usuarios por año, hasta alcanzar en el año quinto un total de 1.249.925 usuarios, lo cual equivale a un 22,89% de incremento del número total de usuarios atendidos en los próximos cinco años.

La expansión se hará principalmente en los estratos 1, 2 y 3, que representan los mayores costos de expansión del servicio, vale decir que dichos usuarios tienen un consumo mensual inferior al promedio residencial, con lo cual los costos medios de atender estos usuarios son superiores al costo medio de atender los demás usuarios del mercado. A continuación se discrimina dicha expansión por estratos.

1.1.2. EXPANSION EN REDES
Los nuevos cargos aprobados incluyen los costos de expansión en longitud de redes con un incremento del 34%, esto considerando que la empresa actualmente cuenta con 7,087 kilómetros de red y en el año quinto del periodo tarifario tendrá 2,409 kilómetros adicionales, tal como se observa a continuación.

1.1.3. COSTO DE LA INVERSIÓN A REALIZAR
GAS NATURAL S.A. E.S.P. hará inversiones por 155.800 millones de pesos, aumentando así su inversión existente en un 49,5%, esto teniendo en cuenta que las redes actuales se valoran en 314.800 millones de pesos. ($diciembre de 2002).

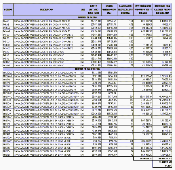
1.1.4. INCREMENTO EN COSTOS POR ESPECIFICACIONES ESPECIALES PARA BOGOTA D.C.
Es importante aclarar que se presentan costos adicionales para las unidades constructivas previstas en las redes proyectadas para la ciudad de Bogotá, en relación con las unidades constructivas típicas para el resto del país. Esto teniendo en cuenta que existe una normatividad Distrital (Anexo IDU 02 -800), la cual establece unas especificaciones técnicas más exigentes a las del resto del país, lo que hace que se incrementen en más de un 100% en promedio, el costo unitario requerido para realizar estas inversiones. Aspecto que afecta directamente a la tarifa de los usuarios.
Estos costos adicionales representan un incremento aproximado del 7% en el cargo de distribución y un 4% en la tarifa a usuario final.

1.1.5. REDUCCIONES EN DEMANDA
- Demanda Presentada
Como se puede observar en la serie histórica que se presenta a continuación, la demanda real de la empresa GAS NATURAL S.A. E.S.P. fue inferior a la proyectada en el periodo tarifario anterior, aspecto que incide directamente en el resultado tarifario que hoy se presenta., dado que al calcular tarifas para el nuevo periodo debe realizarse este ajuste. En la gráfica se incluyen las curvas de demanda real y proyectadas para los dos periodos tarifarios.
Gráfica 3. Demanda Histórica Vs. Proyectada

- Demanda Proyectada
Otro aspecto que influye considerablemente en el incremento de la tarifa es la proyección de demanda de gas natural La tarifa es la relación entre Inversión sobre Demanda; así, a menor demanda mayor tarifa para la misma inversión. para el nuevo periodo tarifario. Estudios realizados por la empresa, muestran que el crecimiento para el sector residencial y comercial de la demanda esperada está alrededor del 16% y 12% respectivamente. No obstante, para el sector industrial, mayor consumidor de este combustible, se prevé un decrecimiento del 22%, esto debido a la mejor competitividad de precios que están alcanzando los otros energéticos sustitutos respecto con los precios del gas natural. De acuerdo con esto, se estimó por parte de la empresa que el crecimiento para el próximo quinquenio sea solo del 4.33%.
| CRECIMIENTO QUINQUENAL RESIDENCIAL | 16% |
| CRECIMIENTO QUINQUENAL COMERCIAL | 12% |
| CRECIMIENTO QUINQUENAL INDUSTRIAL | -22% |
| CRECIMIENTO QUINQUENAL OTROS | 32% |
| CRECIMIENTO QUINQUENAL TOTAL | 4,33% |
Vale la pena señalar que debido a la incertidumbre en la proyección de esta demanda, la metodología ha contemplado una revisión de la misma a mitad de periodo tarifario.
2. COMPARACIÓN CARGOS SOLICITADOS POR LA EMPRESA Y CARGOS APROBADOS POR LA CREG
Es de anotar que los cargos solicitados por la empresa eran muy superiores a los aprobados por la CREG. Estos cargos fueron ajustados en un 18% en distribución y en un 20% en comercialización, de acuerdo con la depuración realizada a la información suministrada por la empresa.

3. INCREMENTOS PARA LOS USUARIOS DE ESTRATOS 1 Y 2 EN CONSUMOS DE SUBSISTENCIA.
El incremento tarifario para los usuarios de los estratos 1 y 2, en relación con sus consumos básicos o de subsistencia, corresponderá en cada mes a la variación del Índice de Precios al Consumidor, esto de acuerdo con lo establecido en el Artículo 116 de la Ley del Plan Nacional de Desarrollo (Ley 812 de 2003) y a las Resoluciones que la CREG expidió en este sentido (Resoluciones CREG 108 de 2003 y 040 de 2004).
Esperamos con las anteriores consideraciones haber resuelto sus inquietudes sobre los aspectos tarifarios en el suministro de gas natural para Bogotá, que como pudo observar responden a diversas condiciones de prestación de este servicio.
Agradecemos su amable atención y quedamos a su disposición para cualquier información adicional que se requiera.
Cordialmente,
SANDRA STELLA FONSECA ARENAS
Directora Ejecutiva