CONCEPTO 878 DE 2003
COMISIÓN DE REGULACIÓN DE REGULACIÓN DE ENERGÍA Y GAS
<NOTA: Concepto bajado de la Página de Internet de la CREG>
Solicitante: EL COLOMBIANO
Fecha: 04 de marzo de 2003
Radicación: CREG – 2099 de 2003
Tema: Régimen tarifario.
RESPUESTA: MMECREG – 0878 - 03
PROBLEMA: Se remite un extenso cuestionario con preguntas relacionadas con el régimen tarifario de energía existente en el país.-
Bogotá, 7 de marzo de 2003
MMECREG - 0878
XXXXXXXXXXXXXXX
Asunto: Su comunicación recibida el 4 de marzo de 2003
Radicación CREG – 2099 de 2003
Respetada XXXXX:
Damos respuesta a su comunicación de la referencia, en la cual nos consulta lo siguiente:
1. ¿Cómo se define una tarifa de energía: cuáles son los elementos que la componen?
La tarifa está compuesta por dos factores:
a. El costo eficiente de prestación del servicio y,
b. El porcentaje de subsidio o contribución de solidaridad.
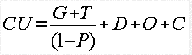
El Costo de Prestación del Servicio (CU) para usuarios regulados es un costo económico eficiente que resulta de agregar los costos de las actividades de generación, transmisión, distribución y comercialización. Igualmente refleja un nivel máximo de pérdidas y otros costos menores.
Este costo está representado en la siguiente fórmula, desarrollada en la Resolución CREG-031 de 1997:

El elemento G (generación) corresponde al costo de compra de energía ($/kWh) por parte del comercializador. Este se calcula como un valor de mercado, que refleja el valor de los contratos y la bolsa de energía. Con este valor se cubren los costos eficientes de las plantas hidráulicas y térmicas que producen la electricidad que consumen los usuarios, el cual refleja condiciones de competencia, productividad, eficiencia energética y disponibilidad. Este mercado ha permitido precios óptimos, reducción de costos, mayores eficiencias y ampliación de cobertura.
El T (transmisión), corresponde actualmente al costo promedio por uso del Sistema de Transmisión Nacional ($/kWh). Con este valor se paga el transporte o transmisión nacional de la energía, esto es, los costos de las líneas de transmisión, los transformadores y las subestaciones necesarias para llevar la energía desde las plantas de generación hasta las redes regionales de transmisión.
El D (distribución) corresponde al valor del costo de transporte por las redes de distribución ($/kWh). Este costo remunera el transporte de energía hasta el inmueble del usuario final, esto es, los costos de las redes de transporte urbanas y rurales que llevan la energía desde las subestaciones del sistema de transmisión nacional hasta usuario final. Se determina de acuerdo con unos Cargos Máximos (Cargos por Uso del Sistema de Transmisión Regional y/o Distribución Local).
El C (comercialización) corresponde a los costos máximos asociados con la atención de los usuarios, tales como la elaboración de la facturación, la atención de reclamos, la lectura de medidores y el recaudo, asociados con la atención de los usuarios regulados; y con los costos de gestión de compras de energía. Se determinan de acuerdo con un Cargo Máximo (Costo Base de Comercialización).
El O (otros) corresponde al valor de las restricciones o generaciones fuera de mérito que han debido despacharse por restricciones de transporte en el Sistema de Transmisión Nacional, las contribuciones a la CREG y a la SSPD; y la remuneración de la operación del Centro Nacional de Despacho y del Administrador del Sistema de Intercambios Comerciales.
La P (pérdidas) representa el porcentaje máximo reconocido de pérdidas de energía. Es un valor asociado con la energía que por razones técnicas o no técnicas se pierde en el Sistema Interconectado Nacional. Esta variable se refiere a las pérdidas de energía producidas principalmente por la transformación requerida para pasar la energía de los niveles de voltaje del STN a los niveles inferiores de los Sistemas Regional y Local, así como en las líneas de transporte en esos niveles de voltaje, y no a pérdidas patrimoniales de las empresas.
Los recursos correspondientes a cada actividad deben ser pagados por la empresa que presta el servicio al usuario final, a cada uno de los agentes que prestan el servicio respectivo (Generación, Transmisión, Distribución).
Es pertinente señalar que cada uno de los componentes del Costo de Prestación del Servicio, está determinado por los criterios de eficiencia, calidad y la productividad.
En la Resolución CREG 047 de 2002, norma que se encuentra en discusión de los agentes y terceros interesados, se encuentran las bases sobre las cuales se establecerá la fórmula tarifaria para el siguiente período tarifario, 2003-2008, que permita a las empresas comercializadoras de energía eléctrica calcular los costos unitarios de prestación del servicio y las tarifas aplicables a los usuarios finales regulados en el SIN.
En cuanto a subsidios, la Ley 142 de 1994 estableció como porcentajes máximos sobre el consumo de subsistencia (200 kWh/mes) los siguientes valores:
% Subsidios
| Estrato 1 | 50% |
| Estrato 2 | 40% |
| Estrato 3 | 15% |
En cuanto al factor de contribución, la Ley 223 de 1995, Artículo 97, definió los siguientes:
% Contribuciones
| Estratos 5 y 6 | 20% |
| Comercial e Industrial | 20% |
2. ¿Cuál es la posibilidad de maniobra que tienen las empresas para fijar sus tarifas?
Dependiendo de la actividad de que se trate dentro de la cadena de prestación del servicio, la empresa puede tener margen de maniobra para mover su tarifa.
el costo de la generación es el resultado de un mercado de energía que presenta fluctuaciones en función de ofertas y demandas horarias. Este costo no puede alterarse más que a través de compras eficientes de energía por parte del comercializador.
el costo de la transmisión es una estampilla nacional que se ajusta con las variaciones en la demanda nacional y con la expansión. No es posible tampoco alterar su valor, ya que la metodología garantiza los ingresos de los transportadores y si alguien no reúne los ingresos por haber alterado esta tarifa, no se daría esa garantía de remuneración.
los costos de otros corresponden fundamentalmente a las restricciones producidas por pago de generaciones fuera de mérito que paga también toda la demanda nacional. Si algún comercializador pudiera modificar lo que le corresponde pagar, no se obtendría la remuneración necesaria para cubrir estos costos.
las actividades de distribución y comercialización se regulan mediante tarifas máximas, lo cual permite que una empresa pueda decidir cobrar un valor inferior, hasta un mínimo que fija la ley y que corresponde a los gastos de operación del servicio. La decisión de cobrar tarifas por debajo de la tarifa tope, corresponde a cada empresa y en ese sentido la CREG no interviene.
En resumen, de las cinco actividades, dos pueden ser objeto de reducción de tarifas por parte de la empresa, a saber, la distribución y la comercialización. Estas dos actividades representan en general alrededor de un 50 % del Costo Unitario.
3. ¿Hasta dónde interviene la CREG en la definición de esas tarifas?
4. ¿Sobre qué temas específicos regula la CREG en materia de tarifas de energía?
De conformidad con el Artículo 73.12 de la Ley 142 de 1994, la Comisión de Regulación de Energía y Gas tiene la función de:
"Establecer fórmulas para la fijación de las tarifas de los servicios públicos, cuando ello corresponda según lo previsto en el artículo 88; y señalar cuándo hay suficiente competencia como para que la fijación de las tarifas sea libre."
En desarrollo de esta función la CREG fijó las formulas para determinar el Costo de Prestación del Servicio, las empresas comercializadoras aplican la fórmula y establecen los costos unitarios que van al usuario final.
Por otro lado, la CREG fija los cargos eficientes de distribución, transmisión, comercialización y las reglas del mercado para los precios de generación.
5. ¿Cuáles son los riesgos que corre una empresa que no acata las disposiciones o que se sale de los límites tarifarios permitidos?
Aquellas empresas que comercializan su energía por debajo de sus costos operacionales en cualquiera de sus actividades, pueden tener problemas de suficiencia financiera que las pueden llevar a insuficiencia financiera, lo cual, de conformidad con las Leyes 142 de 1994 y 689 de 2001, constituye causal de Toma de Posesión por parte de la Superintendencia de Servicios Públicos Domiciliarios. Igualmente, corre el riesgo de pérdida patrimonial, condición que muy seguramente deberá explicar a sus propietarios.
Así mismo, es importante señalar que vender energía por debajo de los costos operacionales puede constituirse una práctica restrictiva de la competencia, actitud que de ocurrir debe ser sancionada por la Superintendencia de Servicios Públicos Domiciliarios.
6. ¿De qué manera se equiparan las tarifas con los descuentos comerciales o se contraponen?
Los llamados descuentos comerciales no pueden conllevar a la empresa a vender por debajo de sus costos operacionales. Sin embargo pueden ser el resultado de una estrategia corporativa, sustentada en diversas razones internas de cada empresa. La explicación sobre descuentos debe darse fundamentalmente a los dueños de la empresa y probablemente a los organismos de control, cuando dichos descuentos lleguen a afectar la suficiencia financiera de la actividad. Cabe anotar que los descuentos comerciales no pueden ser discriminatorios entre usuarios de las mismas características comerciales para cada actividad.
7. ¿Pueden las empresas decretar un congelamiento de tarifas y cuáles son las implicaciones?
Considero que en este punto, es importante transcribir las declaraciones realizadas por el Director Ejecutivo de la CREG en cuento el tema de congelamiento de tarifas.
"La CREG fija una metodología para determinar, en el caso del negocio de la Distribución, un precio máximo que pueden cobrar en condiciones de eficiencia las empresas a los usuarios.
Como es un precio máximo las empresas pueden cobrar un precio menor a ese máximo, pero obviamente, tiene que existir un sustento que justifique esa reducción de precios, porque dichos precios fueron calculados en unas condiciones muy exigentes de eficiencia. Ante esto, bajar los precios por debajo del tope, puede en un momento dado poner en riesgo de inviabilidad financiera o la sostenibilidad de la empresa en un largo plazo.
Quienes tienen que verificar, si hubo una reducción de precios por debajo de ese máximo, que pueda eventualmente afectar a la empresa; son los órganos de Control de las empresas, que en el caso de las empresas de servicios públicos domiciliarios corresponde a la Superintendencia de Servicio Públicos y en el caso de las empresas Oficiales la Contraloría, la Fiscalía, la Procuraduría y los demás entes de control del estado, quienes en un momento dado pueden llegar a revisar las justificaciones que presenten las empresas para bajar los precios.
En este sentido, un congelamiento de tarifas no resulta fácilmente justificable desde el punto de vista técnico y económico, sino que probablemente obedece a decisiones políticas y no realmente a estudios técnicos que sustenten que la tarifa puede estar por debajo del precio tope fijado.
De esta manera, un congelamiento arbitrario de tarifas no es posible, a menos que alguien asuma el costo del rezago que se produce, entre otras cosas, porque los negocios de Distribución y Comercialización tienen tarifas topes, pero hay otros negocios como son la Generación, la Transmisión y las Restricciones, que también hacen parte de la tarifa, y que no dependen de la decisión unilateral de una empresa.
Además la Ley es muy clara, al decir que nunca se puede cobrar por debajo de los costos de la prestación del servicio, porque se puede incurrir en inviabilidad financiera. En este sentido la Ley misma que se opone a que una empresa pueda hacer reducciones o congelamientos arbitrarios y no sustentados, de tarifas"
Quedamos a su disposición para cualquier información adicional.
Cordialmente,
JAIME ALBERTO BLANDÓN DÍAZ
Director Ejecutivo