CONCEPTO 1134 DE 2001
COMISIÓN DE REGULACIÓN DE ENERGIA Y GAS
<NOTA: concepto bajado de la página de intenet de la CREG>
Texto del documento
Solicitante: HOTEL CHICALÁ (Neiva)
Fecha: 30 de marzo de 2001
Radicación: CREG – 3053 de 2001
Tema: Incrementos tarifarios.
Respuesta: MMECREG – 1134 - 01
PROBLEMA: El solicitante manifiesta su inconformismo para con los incrementos tarifarios que se vienen presentando en la Electrificadora del Huila y requiere de la Comisión una explicación para tales eventos.-
Bogotá, D.C., 23 de abril de 2001
MMECREG-1134
XXXXXXXXXXXXXXX
Ref.: Su comunicación G-33 del 30 de marzo de 2001
Radicación CREG – 3053 de 2001
Apreciado doctor:
Con respecto a la comunicación de la referencia, en la cual manifiesta su inconformismo con los incrementos tarifarios que se vienen presentando en la Electrificadora del Huila, precisamos que en el actual marco regulatorio, la Comisión de Regulación de Energía y Gas no aprueba las tarifas ni los incrementos tarifarios de cada una de las empresas. La estructura tarifaria se rige por lo señalado, principalmente en la Constitución Nacional y en las Leyes 142 y 143 de 1994.
Dentro del nuevo régimen jurídico del servicio público domiciliario de electricidad establecido por las Leyes 142 y 143 de 1994, corresponde a la Comisión de Regulación de Energía y Gas, "establecer fórmulas para la fijación de las tarifas de los servicios públicos".
Para la definición de tales fórmulas, la Comisión está sujeta a la aplicación de los siguientes criterios señalados por la Constitución y las leyes mencionadas, los cuales se explican a continuación:
La Constitución Política de 1991, Artículo 365, estableció que el régimen tarifario de los servicios públicos domiciliarios debe tener en cuenta los criterios de costos y de solidaridad y redistribución del ingreso, en la forma que defina la Ley.
a) En cuanto al criterio de costos se refiere, la Ley 142, Artículo 87, y la Ley 143, Artículo 44, ambas de 1994, establecieron que el régimen tarifario debe regirse por los principios de eficiencia económica y de suficiencia financiera.
La aplicación del criterio de eficiencia económica implica, de acuerdo con tales leyes, que el régimen de tarifas procurará que éstas se aproximen a lo que serían los precios de un mercado competitivo; que las fórmulas tarifarias deben tener en cuenta no solo los costos sino los aumentos de productividad esperados, y que éstos deben distribuirse entre la empresa y los usuarios, tal como ocurriría en un mercado competitivo; y que las fórmulas tarifarias no pueden trasladar a los usuarios los costos de una gestión ineficiente, ni permitir que las empresas se apropien de las utilidades provenientes de prácticas restrictivas de la competencia. En el caso de servicios públicos sujetos a fórmulas tarifarias, las tarifas deben reflejar siempre tanto el nivel y la estructura de los costos económicos de prestar el servicio, como la demanda por éste. (Ley 142, artículo 87; Ley 143, artículo 44).
En virtud del principio de suficiencia financiera, las fórmulas tarifarias deben garantizar la recuperación de los costos y gastos propios de operación, incluyendo la expansión, la reposición y el mantenimiento; permitirán remunerar el patrimonio de los accionistas en la misma forma en la que lo habría remunerado una empresa eficiente en un sector de riesgo comparable; y permitirán utilizar las tecnologías y sistemas administrativos que garanticen la mejor calidad, continuidad y seguridad a sus usuarios. (Ley 142, artículo 87; Ley 143, artículo 44).
En síntesis, de acuerdo con los anteriores principios, las fórmulas tarifarias que le corresponde aprobar a la CREG deben garantizar a las empresas la recuperación de los costos económicos eficientes en que incurren por la prestación del servicio. Con base en tales fórmulas, las empresas deben calcular el Costo de Prestación del Servicio ($/kWh) que aplicarán a todos los usuarios que atienden en un determinado mercado. Las diferencias en las tarifas que aplican las empresas a los usuarios, están dadas fundamentalmente por los subsidios que se pueden otorgar a los usuarios residenciales de menores ingresos (estratos 1, 2 y 3) y por las contribuciones que deben pagar los usuarios residenciales de mayores ingresos (estratos 5 y 6) y los usuarios industriales y comerciales.
El régimen tarifario actualmente vigente comenzó a regir desde el inicio del año de 1998 (CREG-031, 079 de 1997, 092, 094 de 1998, 096 de 1999 y 050 de 2000) y, de acuerdo con el Artículo 126 de la Ley 142 de 1994, tiene una vigencia de cinco (5) años, antes de los cuales solamente es posible, regulatoriamente, modificarlo en los eventos previstos en dicha norma.
b) Los criterios de solidaridad y redistribución por su parte, se concretan, constitucional y legalmente, en la posibilidad de otorgar subsidios a los usuarios de menores ingresos, los cuales pueden ser cubiertos con recursos provenientes del presupuesto de la Nación, de las entidades territoriales o de las contribuciones establecidas por la Ley.
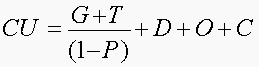
En cuanto el Costo de Prestación del Servicio (CU) para usuarios regulados es un costo económico eficiente que resulta de agregar los costos de las actividades de generación, transmisión, distribución y comercialización. Este costo está representado en la siguiente fórmula, desarrollada en la Resolución CREG-031 de 1997:

El G (generación) corresponde al costo de compra de energía ($/kWh) por parte del comercializador. Este se calcula como un promedio del valor de las compras del comercializador en el mercado de contratos y en la bolsa de energía. En el sistema eléctrico colombiano, todos los comercializadores están obligados a comprar su energía en el mercado, pudiendo hacerlo en el mercado de largo plazo o en la bolsa de energía (mercado spot). La actualización de este ítem, depende de cómo contraten los comercializadores y como evoluciona el precio en la bolsa de energía.
El T (transmisión), corresponde actualmente al 75% del costo promedio por uso del Sistema de Transmisión Nacional ($/kWh) ( 220 kV). El D (distribución) corresponde al valor del costo de transporte por las redes de distribución ($/kWh) (< 220 kV). Estos dos costos remuneran el transporte de energía desde las plantas de generación hasta el inmueble del usuario final.
El C (comercialización) es igual al costo de atención de clientela ($/kWh). Con este valor se remuneran los costos máximos asociados con la atención de los usuarios, tales como la facturación, lectura, atención de reclamos., etc.
El O (otros) corresponde a los costos adicionales del mercado mayorista que no se incluyen en los otros rubros, tal como las contribuciones que deben pagarse a la CREG y a la SSPD, los costos asignados a los comercializadores por restricciones en las redes y servicio de regulación secundaria de frecuencia y la utilización de otros servicios como son los del Centro Nacional de Despacho y los del Administrador del Sistema Intercambios Comerciales.
La P (pérdidas) representa el porcentaje reconocido de pérdidas de energía. Este porcentaje en 1998 fue del 20% y tiene que llegar gradualmente al 13% en un período de cinco (5) años, de los cuales han transcurrido cuatro (4). Con este mecanismo, se impide que el prestador del servicio traspase a los usuarios ineficiencias derivadas de no tener ni ejecutar planes de recuperación de las pérdidas.
Es pertinente señalar que cada uno de los componentes del Costo de Prestación del Servicio, están acompañados de indicadores que miden la eficiencia y la productividad de cada uno de ellos.
Ahora analizaremos la evolución del costo en el mercado de la Electrificadora del Huila. Es importante mostrar el impacto que, en función de las tarifas al usuario final, ha representado la implantación de las reformas en el sector eléctrico, especialmente desde el momento en que empezó a regir la figura de tarifas que reflejan costos eficientes basándose en fórmulas (enero de 1998), la cual se explico anteriormente. Para analizar el impacto tarifario al usuario final se tuvo en cuenta la estructura de costos y la tarifa promedio nacional del nivel de tensión I por ser este nivel en el que está conectado el 90% de los usuarios.
Como señalamos anteriormente, la Comisión de Regulación de Energía y Gas aprobó la Resolución CREG-031 de 1997 que estableció la formula para calcular el Costo de Prestación de Servicio (CU), la cual tendrá una vigencia de cinco años contados a partir de enero de 1998.

Como se aprecia en la Gráfica, el Costo Unitario de Prestación del Servicio (CU), que es aplicable a usuarios residenciales, así como, a pequeños industriales y comerciantes (Nivel de Tensión 1), en promedio presentó una tendencia descendente hasta septiembre de 1999, cuando se arrecian los atentados contra la infraestructura eléctrica nacional. Esto ocasionó que para poder mantener el suministro de energía a los usuarios, se hiciera uso de recursos energéticos más costos y que son despachados forzosamente, a pesar de no ser recursos que entran en mérito de despacho por precio y que se denominan comúnmente restricciones. Estas restricciones se encuentran reflejadas en el componente "Otros" que anteriormente se explicó.
No obstante, es necesario hacer énfasis en el hecho de que este Costo de Prestación del Servicio, se ha mantenido por debajo del costo de referencia que era reconocido con anterioridad a la vigencia del actual esquema tarifario. Así por ejemplo, para el mes de diciembre de 2000 con el esquema anterior el costo en diciembre de 2000 (a pesos de diciembre de 2000), hubiese sido de $216.59/kWh y con el actual esquema este costo resultó de $198.09/kWh.

En el grafico anterior se aprecia la evolución de los componentes de la fórmula tarifaria, de los cuales vale la pena destacar el componente de "Otros Cargos"
(O), que a diciembre de 2000 alcanzó la cifra de $26.23/kWh, que en contraste con junio de 1998 esta cifra solo alcanzó los $8.21/kWh en la Electrificadora del Huila.
Esperamos con esto haber respondido a buena parte de sus inquietudes.
Cordialmente,
DAVID REINSTEIN
Director Ejecutivo (E)