CONCEPTO 8255 DE 2014
(agosto)
<Fuente: Archivo interno entidad emisora>
COMISIÓN DE REGULACIÓN DE ENERGÍA Y GAS - CREG
Bogotá, D.C.,
XXXXXXXXXXXXXXX
Asunto: Sus comunicaciones del 22/08/2014 y 04/09/2014
Inquietudes canasta de tarifas
Radicado CREG E-2014-008255 y E-2014-008712
Respetado XXXXX:
Hemos recibido por intermedio de XXXXX, representante de su empresa, comunicaciones radicadas con los números de la referencia en la que nos solicita hacerle una serie de aclaraciones en relación con la canasta de tarifas establecida en la Resolución CREG 011 de 2003
En atención a su comunicación, sea lo primero aclarar que las respuestas a sus inquietudes se formulan en consideración del artículo 28 del Código de Procedimiento Administrativo y de lo Contencioso Administrativo y del numeral 73.24 del artículo 73 de la Ley 142 de 1994. Por tal razón, es importante precisar que en desarrollo de la función consultiva, la CREG no resuelve casos particulares o concretos, por lo tanto las preguntas como las respuestas deben darse o entenderse en forma genérica, de tal manera que puedan predicarse de cualquier asunto en circunstancias similares.
Ahora bien, procedemos a responder a continuación cada uno de los interrogantes en el mismo orden en que se formularon.
Pregunta
1. Cuáles son las criterios que se deben cumplir para clasificar a un usuarios comercial y residencial??
Respuesta
Los criterios para clasificar los usuarios residenciales y no residenciales están definidos en el artículo 18 de la Resolución CREG 108 de 1997 en donde se establece lo siguiente:
“Artículo 18. Modalidades del servicio. Sin perjuicio de las normas sobre subsidios y contribuciones, los servicios públicos domiciliarios de energía eléctrica y gas combustible por red de ductos, serán prestados bajo la modalidad residencial o no residencial. El residencial es aquel que se presta directamente a los hogares o núcleos familiares, incluyendo las áreas comunes de los conjuntos habitacionales. El servicio no residencial es el que se presta para otros fines.
Parágrafo 1o. Para efectos del servicio de energía eléctrica, podrán considerarse como residenciales los pequeños establecimientos comerciales o industriales conexos a los apartamentos o casas de habitación, cuya carga instalada sea igual o inferior a tres (3) kilovatios, si el inmueble esté destinado, en más de un 50% de su extensión, a fines residenciales.
Parágrafo 2o. Los suscriptores o usuarios residenciales serán clasificados de acuerdo con la estratificación socioeconómica que haya realizado la autoridad competente, según lo dispuesto en la Ley 142 de 1994.
Parágrafo 3o. Los suscriptores o usuarios no residenciales se clasificarán de acuerdo con la última versión vigente de la “Clasificación Industrial Internacional Uniforme de Todas las Actividades Económicas” (CIIU) de las Naciones Unidas. Se exceptúa a los suscriptores o usuarios oficiales, especiales, otras empresas de servicios públicos, y las zonas francas, que se clasificarán en forma separada”.
Pregunta
a. existe algún rango de consumo que clasifique a estos usuarios ej. (1-20 m3 son residenciales y de 20 en adelante son comerciales)??
Respuesta
Regulatoriamente la clasificación de usuarios por consumo, sólo se refiere a usuarios regulados y no regulados y es la que se encuentra establecida en el artículo 2 de la Resolución CREG 137 de 2013 y por la cual se establecen las Fórmulas Tarifarias Generales para la prestación del servicio público domiciliario de gas combustible por redes de tubería a usuarios regulados:
“Usuario no regulado: es un consumidor que consume más 100.000 pcd o su equivalente en m3, medidos de conformidad con lo establecido en el artículo 77 de la Resolución CREG 057 de 1996 y aquellas que la modifiquen o sustituyan. Para todos los efectos un gran consumidor es un usuario no regulado.
Usuario regulado: es un consumidor que consume hasta 100.000 pcd o su equivalente en m3, medidos de conformidad con lo establecido en el artículo 77 de la Resolución CREG 057 de 1996 y aquellas que la modifiquen o sustituyan. Para todos los efectos un pequeño consumidor es un usuario regulado.
Por lo tanto, no hay un valor de consumo establecido que determine el tipo de usuario residencial o comercial.
Pregunta
b. Todo aquel usuario que tenga instalado en su vivienda un medidor comercial se puede clasificar como tal?
Respuesta
Como se indicó anteriormente, los usuarios no residenciales se clasificarán únicamente de acuerdo con la última versión vigente de la “Clasificación Industrial Internacional Uniforme de Todas las Actividades Económicas” (CIIU) de las Naciones Unidas y no por el tipo de medidor que utilizan.
Pregunta
c. Si una persona prepara almuerzos caseros posee un consumo elevado y medidor comercial aun cuando no tiene un establecimiento y su estrato es 1 puede ser clasificado como comercial??
Respuesta
Se reitera la respuesta de la pregunta 1
Pregunta
d. Solo aquellos usuarios que tengan establecimientos debidamente registrados como comerciales y hagan uso de consumos elevados del servicios son los verdaderamente clasificados como comerciales.??
Respuesta
Se reitera la respuesta de la pregunta 1
Pregunta
e. en caso de que los usuarios nombrados en el item d tenga un consumo dentro del consumo básico de subsistencia deben igualmente ser tratados como comerciales y a su vez pagar dicha contribución especial (8.9%)
Respuesta
Los usuarios que sean clasificados como comerciales deben pagar contribución independiente de su consumo. Es de indicar que el consumo básico o de subsistencia se ha definido para otorgar los subsidios a los usuarios residenciales de estrato 1 y 2.
La Resolución CREG 015 de 1997 en relación con la contribución determina lo siguiente:
“FACTOR DE CONTRIBUCION APLICABLE A LOS USUARIOS INDUSTRIALES Y COMERCIALES. El excedente sobre el costo económico del gas natural por red que pagaban los usuarios industriales y comerciales de ese bien como parte de las tarifas vigentes a la entrada en vigor de la ley 142 de 1994, era del ocho punto nueve por ciento (8.9%). Por tanto, con este factor se determinará en adelante la contribución de solidaridad que están obligados a pagar tales usuarios del gas natural por red, según lo disponen las normas legales citadas en este acto.
Pregunta
2. después de revisar la resolución creg 011 de 2003 item 7.7.2 donde se especifica la metodología para aplicar la canasta de tarifas. Me surgen las siguientes dudas.
a. la empresa puede definir 2 rangos de consumo con 1 solo usuario en alguno de sus rangos.
En el numeral 7.7.2. de la Resolución CREG 011 de 2003 se establece:
“7.7.2. Procedimiento para la Aplicación de Canasta de Tarifas
Con base en el Cargo Promedio de Distribución, el cargo techo y el cargo piso de la canasta de tarifas, definidos en el numeral anterior, las empresas aplicarán la metodología de Canasta de Tarifas teniendo en cuenta lo siguiente:
a) Definición de rangos
- El Distribuidor definirá máximo seis (6) rangos de consumo, con los cuales clasificará a sus Usuarios de acuerdo a su volumen de consumo. A cada rango se le asignará un cargo de distribución diferente. Sin embargo, los cargos serán iguales para todos los usuarios cuyo consumo esté comprendido en el mismo rango.
- El primero (1) de enero de cada año del Período Tarifario y a la entrada en vigencia de los cargos aprobados, el Distribuidor publicará, de acuerdo con lo establecido en el Artículo 39 de esta Resolución, los rangos de consumo que aplicará a sus usuarios.
- El primer rango de consumo debe incluir a los usuarios con consumos más bajos y como mínimo a todos los Usuarios residenciales.
- No se permitirá la agrupación de consumos de usuarios para efectos de establecer un cargo diferente al correspondiente a su rango de consumo como usuario individual…(Subrayado fuera de texto)”
De acuerdo con lo anterior el distribuidor puede definir hasta seis rangos de consumo y por lo tanto es posible que un mercado relevante de distribución la canasta de tarifas tenga sólo dos rangos. Ahora bien, en relación con el número de usuarios por rango la resolución no establece restricciones siempre y cuando se cumplan las condiciones definidas para la aplicación de la canasta de tarifas.
Pregunta
“b. La única variable modificable que me define los rangos de consumo es el cargo de distribución (djm) o existe otra variable modificable??”
Respuesta
La canasta de tarifas se define como la metodología de control tarifario consistente en la fijación, por parte del distribuidor, de cargos máximos diferenciados por rangos de consumo. Dichos cargos y rangos de consumo deben cumplir con la condición de que sus ingresos asociados no superen los ingresos asociados al Cargo Promedio de Distribución aprobado por la Comisión. Por lo tanto, lo único que puede ser modificable en dicha canasta son los rangos y los cargos de distribución asociados a cada uno de ellos.
Pregunta
“b. El criterio de distribución del djm para cada uno de los rangos es autonomía de la empresa o debe seguir un procedimiento especial? Según tengo entendido lo único que se debe demostrar es que el porcentaje de djm asignado para cada uno de los rangos debe ser menor al calculado mensualmente.
djm<dm ejemplo. Si mi dm = 1033 Puedo asignar libremente
rango 1 djm = 1033
rango 2 djm = 930 o el djm asignado a la formula que me calcula mvj variable debe ser aquel que se calcule según el ítem b. de el punto 7.7.2 de la resolución creg 011 de 2003
Mi interpretación de esa formula la reflejaré en el siguiente ejercicio.
Consumo usuarios rango 1 = 11975
Consumo usuarios rango 2 = 1715
Consumo total de usuarios =13690
dm = 1033
djm rango 1 = 1000
djm rango 2 =900
calculo de la formula
874<1033
112<1033
uso djm = 1000 o 874 para rango 1 ? con el fin de calcular el mvj. de ese rango?”
Respuesta
Como se establece en la definición de canasta de tarifas consignada en la Resolución CREG 011 de 2003, los cargos y rangos de consumo de esta canasta deben cumplir con la condición de que sus ingresos asociados no superen los ingresos asociados al Cargo Promedio de Distribución aprobado por la Comisión. Para esto en el numeral 7.7.1 y 7.7.2. de la Resolución CREG 011 de 2003 se establece claramente que:
“7.7.1. Condiciones para la Aplicación de la Canasta de Tarifas
a) En la estructuración de la canasta de tarifas, el cargo más alto (cargo techo de la canasta de tarifas), aplicable al primer rango de consumo no podrá exceder en un 10% del Cargo Promedio de Distribución del Mercado Relevante de Distribución.
b) El cargo más bajo (cargo piso de la canasta de tarifas), o aquel que aplica a los usuarios con más alto consumo, no debe ser menor al costo medio de la Red Primaria…”
(…)
“b) Definición de cargos
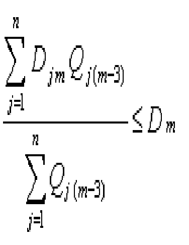
- A partir de los rangos definidos, el Distribuidor establecerá mensualmente los distintos cargos unitarios aplicables a cada rango de consumo en forma continua descendente, con la condición de que estos cargos se determinen con base en la demanda facturada para cada rango de consumo en el trimestre anterior de la siguiente manera:

Donde:
j = rango de consumo.
m = mes m.
Q j (m-3) = Consumo total de los usuarios del rango j de consumo, durante el trimestre anterior al mes m.
D j m = Cargo de distribución definido por el distribuidor aplicable en el mes m a los usuarios del rango j de consumo.
D m = Cargo Promedio de Distribución definido por la CREG para el Mercado Relevante aplicable en el mes m.
El Dm corresponde al Cargo Promedio de Distribución definido por la Comisión, de que trata el numeral 7.6 de la presente Resolución.
Parágrafo 1. Los consumos empleados para definir los cargos de distribución Qj (m-3), serán los facturados por el Distribuidor durante el trimestre anterior, m-3. Para el caso de mercados nuevos, el Distribuidor utilizará la proyección de consumos incluida en su solicitud tarifaria para el primer mes de prestación del servicio.
Parágrafo 2. Los cargos definidos aplicando la metodología de canasta de tarifas son cargos máximos por rango. El distribuidor podrá ofrecer cargos menores en cada rango, con las siguientes condiciones:
i) Ser iguales para todos los usuarios del mismo rango.
ii) Conservar una tendencia continua descendente.
iii) Tener en cuenta lo establecido en los Artículos 34 y 98 de la Ley 142/94.
iv) No afectar los cargos máximos definidos con la aplicación de la metodología de canasta de tarifas”.
En resumen los cargos de cada rango de consumo deben estructurarse de forma continua descendente, y deben determinarse con base en la demanda facturada para cada rango de consumo en el trimestre anterior y cumpliendo la igualdad definida en el literal b) del numeral 7.7.2. de la Resolución CREG 011 de 2003. Adicionalmente, se debe cumplir la condición que el cargo del primer rango debe corresponder como máximo el cargo techo y el cargo mínimo no debe ser inferior al cargo piso establecido en la resolución particular que aprueba cargos de distribución para cada mercado.
Pregunta
“3. en el ítem a. me dice que yo debo publicar en algún diario el 1 de enero de cada año la cantidad de rangos que se aplicaran al mercado con esto me limita a que en este momento (agosto) no pueda hacer uso de esta herramienta con el fin de dar un precio más atractivo a los establecimientos considerados comerciales. Con esto debo esperar al inicio del año 2015 para cumplir como me dice la norma”.
Respuesta
Cuando en un mercado relevante se definen los cargos promedios de distribución aprobados por la CREG, el distribuidor podrá estructurar la canasta de tarifas publicarla e iniciar a aplicarla. Ahora bien, para modificar los rangos de consumo se deberá esperar hasta enero de cada año momento en el cual se publican.
Pregunta
“4. Si hay entidades como bancos y demás que son de carácter comercial pero no hacen uso del servicio o solo consumen 1 m3 por mes debo también aplicar el 8.9 de contribución especial”.
Respuesta
Independiente del nivel de consumo, el usuario comercial es sujeto al pago de contribución y por lo tanto la empresa comercializadora en relación con los valores facturados le debe cobrar el porcentaje del 8.9%.
En los términos anteriores y de conformidad con el alcance establecido en artículo 28 del Código de Procedimiento Administrativo y de lo Contencioso Administrativo, damos por atendida su consulta.
Atentamente,
CARLOS FERNANDO ERASO CALERO
Director Ejecutivo