CONCEPTO 5056 DE 2021
(noviembre 25)
<Fuente: Archivo interno entidad emisora>
COMISIÓN DE REGULACIÓN DE ENERGÍA Y GAS - CREG
Asunto: Su comunicación BMC- 3964-2021
Radicado E-2021-011785
Respetada señora XXXXXX:
En atención a su comunicación, en primera instancia debemos manifestar que, conforme a las funciones asignadas a la Comisión de Regulación de Energía y Gas, CREG, le permiten a esta entidad absolver, de manera general, consultas sobre las materias de su competencia asociadas con la regulación expedida, pero no le permiten emitir conceptos sobre la aplicación de la regulación o legislación en casos específicos, ni tampoco sobre interpretaciones particulares o situaciones que se presenten entre empresas, o entre estas y los usuarios, durante la prestación del servicio.
Según lo anterior, los conceptos aquí presentados deben entenderse de manera general y abstracta, sin referirnos a ningún caso en particular.
En la comunicación del asunto formula las siguientes peticiones a esta Comisión:
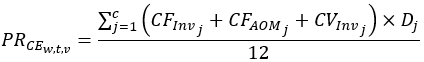
“De acuerdo con lo establecido en el numeral 5.5 del Anexo 4 de la Resolución CREG 185 de 2020, con respecto al cálculo del precio de reserva de la subasta úselo o véndalo de largo plazo de capacidad de transporte, se estipula que:
“El administrador de las subastas determinará el precio de reserva
para cada vendedor
, a partir de la información de contratos reportada según lo dispuesto en el numeral 5.4, asumiendo un factor de carga igual a uno (1) con base en la siguiente ecuación:
(…)

Luego, con respecto a los índices que deben ser empleados para la actualización de los cargos fijos y variables que remuneran el costo de inversión, se establece el uso de:
(...)
| Es el índice de precios al productor de la serie oferta interna publicado mensualmente por el DANE para el mes de diciembre del año | |
| Es el índice de precios al productor de la serie oferta interna publicado mensualmente por el DANE para la fecha base en que se aprobaron los cargos de transporte del tramo |
Posteriormente, en el citado numeral se aclara que:
“Si se presenta el caso de cargos de transporte en dólares americanos, se deben actualizar con el PPI reportado por la Oficina de Estadísticas Laborales del Departamento de Trabajo de los Estados Unidos de América (Serie ID: WPSFD41312) y el precio de reserva se calculará con dichas variables convertidas de dólares a pesos con la TRM correspondiente al momento del cálculo”.
En relación con lo anterior, dado que la metodología para la remuneración del transporte de gas natural no se ha modificado y que la norma vigente en cuanto a la aplicación de las tarifas sigue siendo la Resolución CREG 126 de 2010; se entiende que la aplicación de los cargos de transporte continua realizándose expresada en dólares de los Estados Unidos de América por KPC (USD/KPC), por ende, el cálculo del precio de reserva en el procedimiento de subasta úselo o véndalo de largo plazo se debe seguir realizando expresado en dólares por KPC, actualizando los cargos con el PPI reportado por la Oficina de Estadísticas Laborales del Departamento de Trabajo de los Estados Unidos de América (Serie ID: WPSFD41312).
Respuesta
Le indicamos que ya está vigente la nueva metodología de transporte de gas natural (resolución CREG 175 de 2021), la cual establece un período de transición de 6 meses para iniciar la aplicación de los nuevos cargos en pesos. Durante este período continuarán vigentes los cargos calculados con la metodología de transporte de gas contenida en la Resolución CREG 126 de 2010 y, en consecuencia, los cargos que remuneran la componente de inversión estarán en dólares de los Estados Unidos de América.
De acuerdo con lo anterior, el cálculo del precio de reserva, para la subasta de úselo o véndalo de largo plazo de capacidad de transporte, debe tener en cuenta siempre la moneda en que se encuentren los cargos vigentes al momento de la subasta correspondiente.
En los anteriores términos damos por atendida su solicitud. Los conceptos aquí emitidos tienen el alcance previsto en el numeral 73.24 del artículo 73 de la Ley 142 de 1994, y por el artículo 28 del Código de Procedimiento Administrativo y de lo Contencioso Administrativo, sustituido por el artículo 1 de la Ley 1755 de 2015.
Cordialmente,
JORGE ALBERTO VALENCIA MARÍN
Director Ejecutivo