BUSCAR search
ÍNDICE developer_guide
MEMORIA memory
DESARROLLOS attachment
MODIFICACIONES quiz
CONCORDANCIAS quiz
NOTIFICACIONES notifications_active
ACTOS DE TRÁMITE quiz

CONCEPTO 4130 DE 2020

(julio 30)

<Fuente: Archivo interno entidad emisora>

COMISIÓN DE REGULACIÓN DE ENERGÍA Y GAS - CREG

Bogotá, D.C.,

Señores

XXXXXX

Asunto: Respuesta aclaración cargo por conexión en edificios de propiedad horizontal

Radicado CREG E-2020-006711

Respetados señores:

Hemos recibido su comunicación radicada con el número de la referencia mediante la cual manifiesta:

"Solicito aclaración sobre el tema de cargos por conexión en edificios de propiedad horizontal, la pregunta concreta es si en el centro de medición donde se instalan varios medidores, la flauta y regulador de segunda etapa hacen parte del cargo por conexión y corresponde a la distribuidora de gas instalarlo sin cobro adicional. (…) ".

Antes de entrar a resolver su solicitud, debemos manifestar lo dispuesto por la Ley 142 de 1994 en relación con las funciones que le fueron atribuidas a la CREG, donde, además de las genéricas que toda Comisión de Regulación tiene, se le asignaron la regulación económica de los servicios públicos domiciliarios de energía eléctrica y gas combustible. Adicionalmente, la Ley 143 de 1994 le asignó funciones de carácter regulatorio a la CREG, de manera específica en lo concerniente a la prestación del servicio público domiciliario de energía eléctrica.

Por tal razón, es importante precisar que, en desarrollo de la función consultiva, la CREG no resuelve casos particulares o concretos y, en tal virtud, tanto las preguntas como las respuestas deben darse o entenderse en forma genérica, de tal manera que puedan predicarse de cualquier asunto en circunstancias similares.

De otra parte, la función de control del cumplimiento de las Resoluciones expedidas por parte de la CREG, las leyes y demás actos administrativos a que están sujetos los prestadores de servicios públicos domiciliarios, le competen por ley a la Superintendencia de Servicios Públicos Domiciliarios, y a la Superintendencia de Industria y Comercio en temas de derecho de la competencia.

Aclarado lo anterior, le manifestamos lo siguiente sobre su consulta relacionada con el cargo de conexión en edificios de propiedad horizontal:

En primera instancia el valor del cargo por conexión es regulado por la CREG y se establece en los artículos 108 y 108.2 de la Resolución CREG 057 de 1996, modificados por la Resolución CREG 059 de 2012, los cuales indican:

ARTICULO 108. ELEMENTOS TARIFARIOS PARA LAS EMPRESAS DISTRIBUIDORAS DE GAS. Sin perjuicio de las excepciones previstas para las áreas de servicio exclusivo, el servicio de distribución de gas será regulado mediante dos elementos componentes:

(…) b-.Cargo de conexión. Este cargo cubre los costos involucrados en la acometida y el medidor, y podrá incluir, de autorizarlo la CREG, una proporción de los costos que recuperen parte de la inversión nueva en las redes de distribución. No incluye los costos de la red interna, definida en el artículo 14.16 de la Ley 142 de 1994. El cargo por conexión será cobrado por una sola vez y será financiado obligatoriamente a los usuarios de los estratos 1, 2 y 3 en plazos no inferiores a 3 años, y se podrá otorgar financiación a los demás usuarios (…).

(…) 108.2. El cargo máximo por conexión a usuarios residenciales (Ct):

Sujeto a las condiciones adicionales establecidas en la sección 107.2 del artículo 107 de esta resolución, las empresas distribuidoras deberán asegurar que el cargo promedio por acometida no sea superior a $100.000.oo y el cargo por el medidor no sea superior a $40.000.oo, ambos a precios de 1996, actualizados anualmente con la variación del Índice de Precios al Consumidor del año anterior calculado por el DANE. La Comisión revisará este cargo promedio cuando los valores en él incluidos varíen substancialmente. Se permitirá diferencias entre estratos en el valor de la acometida, siempre y cuando las empresas puedan demostrar las diferencias de costos

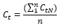
El cargo máximo por conexión se calculará así:

donde,

At =Cargo promedio por acometida actualizado a pesos de la fecha t con la variación del Índice de Precios al Consumidor del año anterior calculado por el DANE.
Mt = Cargo por el medidor actualizado a pesos de la fecha t con la variación del Índice de Precios al Consumidor del año anterior calculado por el DANE.
Pt =Cargo por Revisión Previa de la Instalación Interna de Gas para el año t. Este valor corresponderá al cargo que el Distribuidor fije para la actividad de revisiones periódicas de instalaciones internas de gas de su mercado para la fecha t.
t =Año para el cual se esta realizando el cálculo.

La definición de Ct en función de los diferentes estratos, siempre y cuando se pueda demostrar la diferencia de costos entre estratos es:

donde:

CtN = Es el cargo máximo por conexión para el estrato N.
n = número de estratos de la empresa.

Los subsidios y contribuciones están sujetas a las condiciones adicionales establecidas para cada caso en el artículo 107 (...)”.

Adicionalmente la red interna está definida en el numeral 14.16 del Artículo 14 de la ley 142 de 1994, el cual señala

14.16. RED INTERNA. Es el conjunto de redes, tuberías, accesorios y equipos que integran el sistema de suministro del servicio público al inmueble a partir del medidor. Para edificios de propiedad horizontal o condominios, es aquel sistema de suministro del servicio al inmueble a partir del registro de corte general cuando lo hubiere.

De acuerdo con lo dispuesto en el artículo antes citado, para edificios de propiedad horizontal o condominios, la red interna es aquel sistema de suministro del servicio al inmueble a partir del registro de corte general, cuando lo hubiere, por lo que se entiende que, si la flauta y el regulador de segunda etapa están después del registro de corte general, son parte de la red interna.

El texto completo de la normativa mencionada en la presente comunicación puede consultarlo en la página web de la Comisión, www.creg.gov.co, bajo el vínculo “Regulaciones” y luego “Resoluciones”.

En los anteriores términos damos por atendida su solicitud. Los conceptos aquí emitidos tienen el alcance previsto en los artículos 73.24 de la Ley 142 de 1994, y 28 del Código de Procedimiento Administrativo y de lo Contencioso Administrativo, sustituido por el artículo 1 de la Ley 1755 de 2015.

Cordialmente,

JORGE ALBERTO VALENCIA MARÍN

Director Ejecutivo

×
Volver arriba