CONCEPTO 3520 DE 2010
(Abril)
<Fuente: Archivo interno entidad emisora>
COMISIÓN DE REGULACIÓN DE ENERGÍA Y GAS - CREG
XXXXXXXXXXXXXXX
Asunto: Radicado CREG E-2010-003520
Respetado XXXXX:
Hemos recibido su comunicación, radicada con el número de la referencia, en la que nos presenta una serie de preguntas.
Al respecto, a continuación procedemos a responder dichas inquietudes en el mismo orden en que las formuló:
“Una empresa de Distribución de Gas Natural que tiene una canasta de compras de gas natural variada, podría bajar la tarifa a un sector No regulado, de un día para otro, sin la suscripción de nuevos contratos de suministro, aún en detrimento de algunos de sus clientes, por cuanto al redistribuir los contratos de compra de gas, transfiere los descuentos que otorga a un sector, con el incremento a otro sector?”.
Respuesta:
En atención a su inquietud, de manera atenta le aclaramos que las fórmulas tarifarias del servicio público de gas natural por redes de tubería que indican cómo se deben transferir los costos de las actividades de la cadena de prestación del servicio de gas combustible, incluido el costo del suministro gas, sólo se aplican a los usuarios regulados. Resolución CREG 011 de 2003.
Ahora bien, los precios de suministro de gas natural entre un comercializador y un usuario no regulado son definidos libremente entre las partes, tal y como lo establece el artículo 38 de la misma Resolución CREG 011.
“Artículo 38. DISPOSICIONES ESPECIALES PARA COMERCIALIZACIÓN DE GAS A USUARIOS NO REGULADOS. El Comercializador podrá celebrar contratos de suministro y de transporte de gas destinados exclusivamente a atender el mercado de Usuarios No Regulados. Los precios y demás condiciones de dichos contratos deberán sujetarse a las disposiciones vigentes establecidas por la CREG para el transporte y suministro de gas, cuando esto sea aplicable.
Los valores correspondientes al suministro y transporte del gas destinado a los Usuarios No Regulados no se incluirán en el cálculo de los costos de suministro y transporte de gas (Gm y Tm) de la Fórmula Tarifaria General conforme a lo previsto en el Artículo 35 y el Artículo 36 de esta Resolución.
Los Comercializadores podrán suministrar gas natural a precios acordados libremente sólo a quienes se definen como Usuarios No Regulados. En todo caso, es decisión voluntaria del usuario acogerse a la condición de Usuario No Regulado, para lo cual debe cumplir con las disposiciones regulatorias vigentes”. Subrayado fuera de texto
Se podría considerar como practica restrictiva de la competencia que ejerce una empresa distribuidora de gas natural, cuando baja la tarifa de un sector no regulado, de un día para otro, con motivo del retiro de algunos de sus clientes, y bloquear así el retiro de nuevos clientes?.
Respuesta:
La autoridad nacional en materia de protección de la competencia es la Superintendencia de Industria y Comercio, de acuerdo con lo estipulado en el artículo 6 de la Ley 1340 de 2009. Por lo tanto la Comisión de Regulación de Energía y Gas no es competente para pronunciarse sobre la existencia de prácticas restrictivas de la competencia.
Si no se considera como practica restrictiva de la competencia el punto anterior, entonces como se califica la disminución de precios cuando lo podía haber hecho desde antes y solo lo realiza con motivo del retiro de algunos de sus clientes?
Respuesta:
Con independencia de las conclusiones a las que pueda llegar la autoridad nacional en materia de protección de la competencia en relación con su pregunta anterior, a continuación damos respuesta a su pregunta.
Como ya se mencionó, la metodología tarifaria para la actividad de distribución de gas combustible por redes de tubería está definida en la Resolución CREG 011 de 2003.
En el artículo 14 de esta resolución se establece lo siguiente:
“Artículo 14. REMUNERACIÓN POR EL SERVICIO DE DISTRIBUCIÓN A USUARIOS NO REGULADOS. Las empresas Distribuidoras serán remuneradas por el uso del Sistema de Distribución por parte de los Usuarios No Regulados y demás usuarios que se conecten al Sistema. Esta remuneración debe corresponder al cargo de distribución establecido por el Distribuidor para cada rango de consumo con la estructura de cargos fijos y variables ofrecida para dicho rango”.
Ahora bien, en el artículo 6 de la misma resolución se establece lo siguiente:
“Artículo 6. METODOLOGÍA DE REMUNERACIÓN DE LA ACTIVIDAD DE DISTRIBUCIÓN DE GAS COMBUSTIBLE POR REDES DE TUBERÍA. La actividad de Distribución de Gas Combustible por redes de tubería se remunerará utilizando la metodología de Canasta de Tarifas, aplicada con base en los cargos por uso aprobados por la CREG a partir de cálculos de costos medios de mediano plazo, como se establece en la presente Resolución”
Para diseñar la canasta de tarifas, la Resolución CREG 011 de 2003, en su artículo 7.7, determina:
“7.7 APLICACIÓN DE LA METODOLOGÍA DE CANASTA DE TARIFAS A PARTIR DEL CARGO PROMEDIO DE DISTRIBUCIÓN
Con base en el Cargo Promedio de Distribución aprobado por la Comisión, el Distribuidor aplicará la metodología de Canasta de Tarifas teniendo en cuenta las siguientes reglas:
7.7.1 Condiciones para la Aplicación de la Canasta de Tarifas
a) En la estructuración de la canasta de tarifas, el cargo más alto (cargo techo de la canasta de tarifas), aplicable al primer rango de consumo no podrá exceder en un 10% del Cargo Promedio de Distribución del Mercado Relevante de Distribución.
b) El cargo más bajo (cargo piso de la canasta de tarifas), o aquel que aplica a los usuarios con más alto consumo, no debe ser menor al costo medio de la Red Primaria, calculado de la siguiente manera:
i. El costo medio se determinará aplicando la metodología descrita en el numeral 7.6 considerando la demanda total del Sistema de Distribución e incluyendo los gastos de AOM correspondientes a la Red Primaria, las inversiones en estaciones de recibo en puerta de ciudad y la correspondiente inversión en los gasoductos de la Red Primaria del Sistema de Distribución.
ii. Los gastos de AOM de la Red Primaria corresponderán a una fracción de los gastos de administración, operación y mantenimiento. Dicha fracción se calculará como la relación entre la suma de los productos de cada diámetro de tubería perteneciente a la Red Primaria por su longitud correspondiente, y la suma de los productos de cada diámetro de tubería de toda la red por su longitud correspondiente.
iii. En caso de que el Sistema de Distribución no cuente con Red Primaria, se considerará para el cálculo del cargo piso, los costos de inversión y AOM correspondientes a la red de polietileno de diámetros mayores o iguales a cuatro (4) pulgadas, o en su defecto, la red de mayor diámetro.
c) Tanto el Cargo Promedio de Distribución como el cargo techo y el cargo piso de la canasta de tarifas serán aprobados por la CREG al inicio del período tarifario y tendrán vigencia durante todo el período, sin perjuicio de lo establecido en el Artículo 9 de la presente Resolución.
7.7.2 Procedimiento para la Aplicación de la Canasta de Tarifas
Con base en el Cargo Promedio de Distribución, el cargo techo y el cargo piso de la canasta de tarifas, definidos en el numeral anterior, las empresas aplicarán la metodología de Canasta de Tarifas teniendo en cuenta lo siguiente:
a) Definición de rangos
El Distribuidor definirá máximo seis (6) rangos de consumo, con los cuales clasificará a sus Usuarios de acuerdo a su volumen de consumo. A cada rango se le asignará un cargo de distribución diferente. Sin embargo, los cargos serán iguales para todos los usuarios cuyo consumo esté comprendido en el mismo rango.
El primero (1) de enero de cada año del Período Tarifario y a la entrada en vigencia de los cargos aprobados, el Distribuidor publicará, de acuerdo con lo establecido en el Artículo 39 de esta Resolución, los rangos de consumo que aplicará a sus usuarios.
El primer rango de consumo debe incluir a los usuarios con consumos más bajos y como mínimo a todos los Usuarios residenciales.
No se permitirá la agrupación de consumos de usuarios para efectos de establecer un cargo diferente al correspondiente a su rango de consumo como usuario individual.
b) Definición de cargos
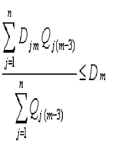
A partir de los rangos definidos, el Distribuidor establecerá mensualmente los distintos cargos unitarios aplicables a cada rango de consumo en forma continua descendente, con la condición de que estos cargos se determinen con base en la demanda facturada para cada rango de consumo en el trimestre anterior de la siguiente manera:

Donde:
j = rango de consumo.
m = mes m.
Q j (m-3) = Consumo total de los usuarios del rango j de consumo, durante el trimestre anterior al mes m.
D j m = Cargo de distribución definido por el distribuidor aplicable en el mes m a los usuarios del rango j de consumo.
D m = Cargo Promedio de Distribución definido por la CREG para el Mercado Relevante aplicable en el mes m.
El Dm corresponde al Cargo Promedio de Distribución definido por la Comisión, de que trata el numeral 7.6 de la presente Resolución.
Parágrafo 1. Los consumos empleados para definir los cargos de distribución Qj (m-3), serán los facturados por el Distribuidor durante el trimestre anterior, m-3. Para el caso de mercados nuevos, el Distribuidor utilizará la proyección de consumos incluida en su solicitud tarifaria para el primer mes de prestación del servicio.
Parágrafo 2. Los cargos definidos aplicando la metodología de canasta de tarifas son cargos máximos por rango. El distribuidor podrá ofrecer cargos menores en cada rango, con las siguientes condiciones:
i) Ser iguales para todos los usuarios del mismo rango.
ii) Conservar una tendencia continua descendente.
iii) Tener en cuenta lo establecido en los Artículos 34 y 98 de la Ley 142/94.
iv) No afectar los cargos máximos definidos con la aplicación de la metodología de canasta de tarifas.”
De lo anterior se concluye que con base en el Cargo Promedio de Distribución aprobado por la Comisión (resolución independiente por mercado relevante), el Distribuidor puede aplicar una metodología de canasta de tarifas, en donde las tarifas son definidas por rangos descendentes y en donde el cargo más alto (cargo techo), aplicable al primer rango de consumo, no podrá exceder el 10% del cargo promedio de distribución, y el cargo más bajo (cargo piso) o aquel aplicable a los usuarios de más alto consumo, no deberá ser menor al costo medio de la red primaria.
Es importante tener en cuenta que los cargos definidos aplicando la metodología de canasta de tarifas son cargos máximos por rango. No obstante, el Distribuidor podrá ofrecer cargos menores siempre y cuando estos sean iguales para todos los usuarios del mismo rango, conservando una tendencia descendente, teniendo en cuenta lo establecido en los artículos 34 y 98 de la Ley 142 de 1994 y no afectando los cargos máximos definidos con la aplicación de la metodología de canasta de tarifas.
Puede una empresa distribuidora tener contratos diferentes, mediante obligaciones diferentes, entre los usuarios de un mismo sector económico?
Respuesta:
De acuerdo con el numeral 7.7.2. literal a) de la Resolución CREG 011 de 2003, los cargos que ofrezca el Distribuidor deben ser iguales para todos los usuarios cuyo consumo esté comprendido en el mismo rango. Es decir los cargos están dados por rango de consumo y no por sector económico.
Puede una empresa distribuidora de gas natural, negar el servicio de distribución a un usuario no regulado, que se encuentra entre sus redes de distribución, porque a partir de una fecha, adquiere su propio suministro de gas natural?.
Respuesta:
Sobre el tema le informamos lo que se encuentra establecido en la Resolución CREG 057 de 1996 y 067 de 1995:
El artículo 79 de la Resolución CREG 057 de 1996 establece que “Sin perjuicio de la excepción prevista para áreas de servicio exclusivo, los distribuidores permitirán el acceso a las redes de tubería de su propiedad, a cualquier productor, comercializador o gran consumidor de gas combustible a cambio del pago de los cargos correspondientes, siempre y cuando observen las mismas condiciones de confiabilidad, calidad, seguridad y continuidad establecidas en las disposiciones legales y reglamentarias aplicables a esta materia, y cumplan con el código de transporte o sus normas suplementarias, el código de distribución y los demás reglamentos que expida la Comisión.”
Los artículos 90, 91 y 92 de la Resolución CREG 057 de 1996 desarrollan los aspectos relativos al procedimiento, plazos e información requerida para la celebración del contrato de conexión a un sistema de distribución.
Ahora bien, el numeral 7.26 del Código de Distribución determina que:
“VII. 2 Grandes consumidores conectados al Sistema de Distribución.
7.26. Cuando las condiciones establecidas para el distribuidor lo contemplen, los grandes consumidores que estén conectados a las redes de distribución pueden optar por no comprar el gas directamente al distribuidor según Resolución 018 de 1995. Cuando este sea el caso, la relación entre el consumidor y la empresa distribuidora o entre el comercializador y la empresa distribuidora es similar a la de un transportador y los usuarios conectados al sistema troncal. Por lo tanto, estos casos serán regulados por las obligaciones y procedimientos establecidos en el Código de Transporte”.
De otro lado, le informamos que mediante la Resolución CREG 044 del 16 de marzo de 2010, la CREG sometió a consulta un proyecto de resolución que tiene por objeto reglamentar los aspectos relacionados con el acceso abierto a los sistemas de distribución de gas natural por parte de los distribuidores a los comercializadores, transportadores, distribuidores o usuarios no regulados.
Esta resolución esta publicada en la página web de la Comisión www.creg.gov.co en el enlace Normas y Jurisprudencia, Resoluciones.
Cuáles son los deberes y obligaciones de un usuario no regulado y de una empresa distribuidora, si en un momento dado se quedan sin contrato escrito vigente?.
Respuesta:
El artículo 128 de la Ley 142 de 1994 establece que el contrato de servicios públicos es un contrato uniforme, consensual, en virtud del cual una empresa de servicios públicos los presta a un usuario a cambio de un precio en dinero, de acuerdo a estipulaciones que han sido definidas por ella para ofrecerlas a muchos usuarios no determinados. Hacen parte del contrato no solo sus estipulaciones escritas, sino todas las que la empresa aplica de manera uniforme en la prestación del servicio. Existe contrato de servicios públicos aún cuando algunas de las estipulaciones sean objeto de acuerdo especial con uno o algunos usuarios.
En relación con la celebración del contrato, el artículo 129 Ibídem señala que existe contrato de servicios públicos desde que la empresa define las condiciones uniformes en las que está dispuesta a prestar el servicio y el propietario, o quien utiliza un inmueble determinado, solicita recibir allí el servicio, si el solicitante y el inmueble se encuentran en las condiciones previstas por la empresa.
De esta manera se observa que los derechos y obligaciones de un usuario y un prestador del servicio se crean en el momento en el que existe un contrato de servicio público y ante su terminación también concluyen las obligaciones y derechos de las partes.
El Código Civil establece en su artículo 1495 que el contrato o convención es un acto por el cual una parte se obliga para con otra a dar, hacer o no hacer alguna cosa. Cada parte puede ser de una o de muchas personas. El contrato contiene una declaración de la voluntad de las partes y ella se desarrolla las obligaciones y ante la inexistencia de dicha declaración o contrato tampoco existen las obligaciones para las partes.
En los anteriores términos esperamos haber absuelto las inquietudes presentadas. Los conceptos aquí emitidos tienen el alcance previsto en el artículo 25 del Código Contencioso Administrativo.
Cordial saludo,
JAVIER AUGUSTO DÍAZ VELASCO
Director Ejecutivo