BUSCAR search
ÍNDICE developer_guide
MEMORIA memory
DESARROLLOS attachment
MODIFICACIONES quiz
CONCORDANCIAS quiz
NOTIFICACIONES notifications_active
ACTOS DE TRÁMITE quiz

 

 

 

CONCEPTO 1112 DE 2009

(Enero)

<Fuente: Archivo interno entidad emisora>

COMISIÓN DE REGULACIÓN DE ENERGÍA Y GAS - CREG

Bogotá,

XXXXXXXXXXXXXXX

Asunto: Su comunicación por correo electrónico

Radicado CREG E-2009-000517

Respetado XXXXX:

Hemos recibido su correo electrónico, radicado con el número de la referencia, en el que nos manifiesta: “ Por medio de que resolución se autorizo el alza del 38% al gas domiciliario a partir de 2009”.

Al respecto, de manera atenta nos permitimos aclararle que la tarifa unitaria de la prestación del servicio cobrado en la factura de los usuarios, resulta de agregar los costos de las actividades de producción, transporte, distribución y comercialización, las cuales forman parte de la cadena de prestación del servicio de gas combustible por red.

La metodología tarifaria del servicio público de gas combustible por redes de tubería se encuentra establecida en la Resolución CREG 011 de 2003. En ésta se determina que la fórmula tarifaria general aplicable a los Usuarios Regulados del servicio domiciliario de distribución de gas natural es la siguiente:

Cargo variable:


Cargo fijo:

Donde:

J =Rango j de consumo.
M =Mes de prestación del servicio.
Gm =Costo promedio máximo unitario en $/m3 para compras de gas natural destinado a Usuarios Regulados, aplicable en el mes m.
Tm =Costo promedio máximo unitario en $/m3 para el transporte de gas en el Sistema Nacional de Transporte destinado a Usuarios Regulados aplicable en el mes m.
p = Porcentaje reconocido de pérdidas de gas en el Sistema Nacional de Transporte y en el Sistema de Distribución, equivalente a 3.5%, desagregado en un 1% para el Sistema Nacional de Transporte y un 2.5% para el Sistema de Distribución.
Dvjm =Componente variable del Cargo de Distribución en $/m3 permitido al Distribuidor por uso de la red aplicable en el mes m, correspondiente al rango j de consumo. No incluye la conexión.
Dfjm =Componente fijo del cargo de distribución, expresado en $/factura, aplicable en el mes m correspondiente al rango j de consumo. El componente fijo para los usuarios del primer rango de consumo de la canasta de tarifas será igual a cero.
Cm =Cargo máximo de Comercialización del mes m expresado en pesos por factura.

De otro lado, para cada uno de los componentes se tiene:

- COMPRAS DE GAS

El costo promedio máximo unitario para compras de gas (Gm) se calcula con base en la siguiente expresión:

Gm = Costo promedio máximo unitario en $/m3 para compras de gas natural para el mercado de Comercialización, aplicable en el mes m.
CTGm-1 = Costo total de compras de gas en el mes m-1, en USD, destinado al mercado de Usuarios Regulados, sin incluir pérdidas de gas, costos de transporte, penalizaciones, compensaciones, intereses de mora u otros cargos no regulados.
Em-1 =Volumen de gas medido en el mes m-1 en las Estaciones de Puerta de Ciudad, expresado en términos de energía con el Poder Calorífico promedio del gas medido en dichas Estaciones de Puerta de Ciudad (MBTU).
TRM(m-1) =Tasa de Cambio Representativa del Mercado del último día del mes m-1.
PCm-1 =Poder Calorífico del gas en el mes m-1, expresado en MBTU/m3, calculado de acuerdo con el procedimiento establecido en la Resolución CREG-067 de 1995 o aquellas que la sustituyan, complementen o modifiquen.

Así mismo, se establece que bajo ninguna circunstancia el Comercializador podrá trasladar a los Usuarios Regulados costos promedios de compra de gas superiores al Precio Máximo Regulado, cuando el gas comprado esté sometido a dicho Precio.

En relación con esta variable, es importante precisar que el costo del gas está asociado a los precios del mercado y el índice de devaluación de la moneda.

- TRANSPORTE

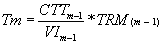
El costo promedio máximo unitario de transporte de gas (Tm), se calculará con base en la siguiente expresión:

T m =Costo promedio máximo unitario en $/m3 para el transporte de gas natural al mercado de Comercialización, aplicable en el mes m.
CTTm-1 =Costo total de transporte de gas en el mes m-1, causados por el volumen efectivamente transportado incluyendo los cargos por capacidad y los cargos por volumen, en USD, destinado a Usuarios Regulados, sin incluir penalizaciones, compensaciones o intereses de mora. Se deben incluir los pagos por concepto de impuesto de transporte y otras contribuciones relativas al mismo. En el caso en que el Comercializador reciba ingresos adicionales por la venta de capacidad contratada con anterioridad, el CTTm-será el neto entre los costos totales por concepto de transporte y los ingresos por venta de capacidad.
VIm-1=Volumen de gas medido en condiciones estándar en el mes m-1 en las Estaciones de Puerta de Ciudad, según sea el caso (m3).
TRM(m-1) =Tasa de Cambio Representativa del Mercado en el último día del mes m-1.

Bajo ninguna circunstancia el Comercializador podrá trasladar a los usuarios costos de transporte de gas superiores a los resultantes de aplicar lo dispuesto por la CREG para el servicio de transporte a Usuarios Regulados.

- DISTRIBUCIÓN

El cargo promedio de distribución se determina como la relación entre el valor presente descontado de los costos de inversión y los gastos de AOM y el valor presente de la demanda de volumen.

La metodología de la Resolución CREG 011 de 2003 establece que con base en el Cargo Promedio de distribución aprobado por la Comisión (Resolución independiente por mercado relevante), el Distribuidor puede aplicar una metodología de canasta de tarifas en donde el cargo más alto (cargo techo), aplicable al rango de consumo no podrá exceder el 10% del cargo promedio de distribución y el cargo más bajo (cargo piso) o aquel aplicable a los usuarios de más alto consumo, no debe ser menor al costo medio de la red primaria.

Los cargos definidos aplicando la metodología de canasta de tarifas son cargos máximos por rango. No obstante, el Distribuidor podrá ofrecer cargos menores en cada rango considerando que sean iguales para todos los usuarios del mismo rango, conservando una tendencia descendente, teniendo en cuenta lo establecido en los artículos 34 y 98 de la Ley 142 de 1994 y no afectando los cargos máximos definidos con la aplicación de la metodología de canasta de tarifas.

Los cargos promedios de distribución aprobados en resoluciones particulares de la CREG, expresados en pesos de Fecha Base, se actualizan mes a mes de acuerdo con la siguiente fórmula general:

donde,

Dm =Cargo Promedio de Distribución correspondiente al mes m de prestación del servicio.
Do =Cargo Promedio de Distribución aprobado por resolución de la CREG y expresado en precios de la fecha base.
IPPm-1 =Indice de Precios al Productor Total Nacional reportado por el Banco de la República para el mes (m-1).
IPPO =Indice de Precios al Productor Total Nacional reportado por el Banco de la República para la fecha base del cargo por distribución D0.
XD =Factor de productividad mensual de la actividad de Distribución equivalente a 0.00106. Dicho factor aplicará a partir de la entrada en vigencia de la resolución que establece el Cargo Promedio de Distribución para cada mercado.
nm =Número de meses transcurrido desde la entrada en vigencia de la resolución que establece el Cargo Promedio de Distribución para cada mercado hasta el Cargo Promedio de Distribución para cada mercado hasta el mes m.

- COMERCIALIZACIÓN

El cargo máximo base de comercialización C0, definido de acuerdo con la Resolución CREG 011 de 2003, se determinará como el cociente de la suma de los componentes a) y b) descritos a continuación, sobre el número de facturas del año para el cual se tomaron los parámetros de cálculo de dichos componentes.

a) Los gastos anuales de AOM y la depreciación anual de las inversiones en equipos de cómputo, paquetes computacionales y demás activos atribuibles a la actividad de Comercialización que resulten de aplicar la metodología de Análisis Envolvente de Datos, tal como se describe en el Anexo 7 de la Resolución CREG 011 de 2003.

b) El ingreso anual del Comercializador correspondiente al año en el cual se efectuaron los cálculos de los gastos de AOM multiplicado por un margen de comercialización de 1.67%.

El Cargo de Comercialización se actualiza mensualmente utilizando la siguiente fórmula:

donde,

Cm =Cargo máximo de comercialización, expresado en pesos por factura, correspondiente al mes m de prestación del servicio.
Co =Cargo base de comercialización aprobado por la CREG para cada mercado, expresado en pesos por factura, a precios de la fecha base.
IPCm-1 =Indice de Precios al Consumidor reportado por el DANE para el mes (m-1).
IPCo =Indice de Precios al Consumidor reportado por el DANE para la fecha base del Cargo por Comercialización Co.
XC =El factor de productividad mensual de la actividad de Comercialización será 0.00125. Dicho factor aplicará a partir de la entrada en vigencia de la resolución que establece el Cargo Base de Comercialización para cada mercado.
nm =Número de meses transcurrido desde la entrada en vigencia de la Resolución que establece el Cargo de Comercialización para cada mercado, hasta el mes m.

De acuerdo con lo citado anteriormente, se concluye que los cambios en cada uno de los componentes de la tarifa dependen de diversos factores: (i) el costo de gas, (ii) la tasa representativa del mercado, (iii) las condiciones económicas de los contratos de compra y transporte de gas y (iv) el origen y la trayectoria del gas comprado, entre otros. Para las actividades de distribución y comercialización, la variación depende de los cambios en los indicadores económicos del IPC e IPP.

Al respecto y en primera instancia, le recomendamos que usando el derecho que usted tiene, se dirija a su prestador de servicio para que sea este el que le explique las variaciones que ha sufrido la tarifa y el por qué de las variaciones de las mismas. En caso de que la respuesta de la empresa no sea satisfactoria, usted puede presentar su recurso de reposición ante la misma empresa y de apelación ante la Superintendencia de Servicios Públicos Domiciliarios, entidad encargada de vigilar que las empresas estén actualizando las tarifas dentro del marco legal establecido

La norma citada en esta comunicación puede ser consultada en la página web de la Comisión: www.creg.gov.co

En los anteriores términos damos por atendida su solicitud. Los conceptos aquí emitidos tienen el alcance previsto en el artículo 25 del Código Contencioso Administrativo.

Cordialmente,

HERNÁN MOLINA VALENCIA

Director Ejecutivo

×
Volver arriba