CONCEPTO 60 DE 2022
(enero 7)
<Fuente: Archivo interno entidad emisora>
COMISIÓN DE REGULACIÓN DE ENERGÍA Y GAS - CREG
Asunto: Radicado E-2021-014570
Respetada señora XXXXX:
En atención a su comunicación, en primera instancia debemos manifestar que, conforme a las funciones asignadas a la Comisión de Regulación de Energía y Gas, CREG, le permiten a esta entidad absolver, de manera general, consultas sobre las materias de su competencia asociadas con la regulación expedida, pero no le permiten emitir conceptos sobre la aplicación de la regulación o legislación en casos específicos, ni tampoco sobre interpretaciones particulares o situaciones que se presenten entre empresas, o entre estas y los usuarios, durante la prestación del servicio.
Según lo anterior, los conceptos aquí presentados deben entenderse de manera general y abstracta, sin referirnos a ningún caso en particular.
En la comunicación del asunto formuló la siguiente petición a esta Comisión:
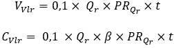
“De acuerdo con lo establecido en el Numeral 4 del Anexo 1 de la Resolución CREG 001 de 2021, con respecto al monto de las garantías de participación para las subastas de capacidad de transporte ante congestión contractual se estipula que:
“El administrador de la subasta solo habilitará a los vendedores y a los compradores que hayan puesto el mecanismo de cubrimiento, conforme a las siguientes expresiones:

Donde:
| Valor en pesos colombianos que los vendedores deben cubrir para participar en la subasta. | |
| Valor en pesos colombianos que los compradores deben cubrir para participar en la subasta. | |
| Capacidad disponible primaria de transporte para la subasta. Este valor está en kpcd. | |
| % de | |
| Precio de reserva en la moneda vigente por kpcd para | |
| 30 días |
En este sentido, se entiende que la variable
corresponde a la capacidad disponible para la realización de la subasta, cuyo producto se encuentra definido en el numeral 2 del precitado Anexo, como se indica a continuación:
“Producto en la subasta: contrato de transporte firme trimestral de capacidad de transporte en (i) en una ruta de tramos regulatorios, o (ii) un tramo regulatorio con congestión contractual, con un cargo 100% fijo de inversión más el correspondiente cargo de AOM”.
De esta manera, dado que el producto de la subasta corresponde a un contrato de duración trimestral, la inquietud que le surge al Gestor del Mercado corresponde a la determinación de la variable t de las expresiones establecidas para el cálculo del monto de las garantías de participación en las subastas. Si bien, esta variable se encuentra definida para tomar el valor de 30 días, lo que cubriría solamente un mes del contrato; agradecemos a la Comisión aclarar si para el cálculo de este valor y con el fin de cubrir el periodo completo del contrato (trimestral), esta variable debería tomar el valor de 90 días.
Respuesta
De manera atenta le indicamos que las garantías que están en el numeral 4 del Anexo 1 de la Resolución CREG 001 de 2021, el cual contiene las disposiciones que rigen la subasta, contiene el mecanismo de cubrimiento para participar en la subasta.
Conforme a la formulación que transcribe en su oficio respecto al numeral en comento, es explícito que la variable t corresponde a 30 días, y esa disposición debe observarse en todos los mecanismos que deriven en subasta para la asignación de las capacidades de transporte ante eventos de congestión.
Respecto a su consulta sobre si la variable t debiera tener un valor diferente, dado que los contratos son de mínimo 3 meses, esta Comisión le indica que no ha considerado ninguna modificación en el mecanismo de participación.
Finalmente, si el gestor en su rol de administrador de la subasta y subastador, producto de la realización de las subastas, tiene elementos que llevaren a la conveniencia de ajustar la disposición, estamos atentos a los análisis correspondientes.
En los anteriores términos damos por atendida su solicitud. Los conceptos aquí emitidos tienen el alcance previsto en el numeral 73.24 del artículo 73 de la Ley 142 de 1994, y por el artículo 28 del Código de Procedimiento Administrativo y de lo Contencioso Administrativo, sustituido por el artículo 1 de la Ley 1755 de 2015.
Cordialmente,
JORGE ALBERTO VALENCIA MARÍN
Director Ejecutivo