CIRCULAR 62 DE 2017
(Octubre 12)
<Fuente: Archivo interno entidad emisora>
COMISIÓN DE REGULACIÓN DE ENERGÍA Y GAS
Bogotá, D.C.,
| Para: | Colgas de occidente s.a. e.s.p., superintendencia de servicios públicos domiciliarios, alcaldes municipales de los departamentos de chocó, cundinamarca, caldas, risaralda, quindio, valle del cauca, y cauca, autoridades de policía y demas interesados. |
| De: | Dirección ejecutiva |
| Asunto: | Autorización de movilización de cilindros universales remanentes para destrucción |
La CREG expidió mediante la Resolución CREG 164 de 2014 las medidas regulatorias dentro de las actividades de distribución y/o comercialización minorista de GLP enfocadas a reforzar la aplicación del esquema de responsabilidad de marcas en cilindros.
Dentro de dicha resolución se estableció la destrucción de los cilindros universales remanentes que se encuentren en poder de las empresas prestadoras del servicio de GLP en cilindros, siendo los Cilindros Universales Remanentes “los cilindros universales que no tienen marca asociada a un prestador del servicio, que no fueron objeto de destrucción y/o adecuación dentro de los períodos de transición y de cierre que finalizó el 1 de julio de 2012, y que después de esta fecha permanecen en el mercado. Estos cilindros no pueden ser utilizados en la prestación del servicio de GLP y por tanto deben ser destruidos”.
Para llevar a cabo la destrucción de estos cilindros en el artículo 5 de la Resolución CREG 164 de 2014 se estableció la obligación de las empresas distribuidoras y comercializadoras minoristas de GLP de informar a la CREG la cantidad de cilindros universales remanentes que tiene en su poder y el lugar donde se encuentran almacenados y así mismo, de conformidad con el artículo 7 de la mencionada resolución, informar a la CREG la programación prevista para su destrucción para la respectiva revisión y autorización por parte de la CREG.
En respuesta a la anterior disposición regulatoria, la empresa COLGAS DE OCCIDENTE S.A. E.S.P., que realiza las actividades de distribución y comercialización minorista de GLP, mediante comunicaciones con número de radicado CREG E-2017-007535 y E-2017-009314 informó la cantidad de cilindros universales remanentes en su poder y la programación de movilización y destrucción de los mismos.
Una vez revisada dicha información por parte de la CREG y teniendo en cuenta lo previsto en el artículo 8 de la Resolución CREG 164 de 2014, donde se establece que únicamente se podrán movilizar cilindros universales remanentes dentro del territorio nacional y con destino a la destrucción en talleres autorizados cuando exista una autorización expresa de la CREG emitida mediante circular, esta entidad se permite informar que:
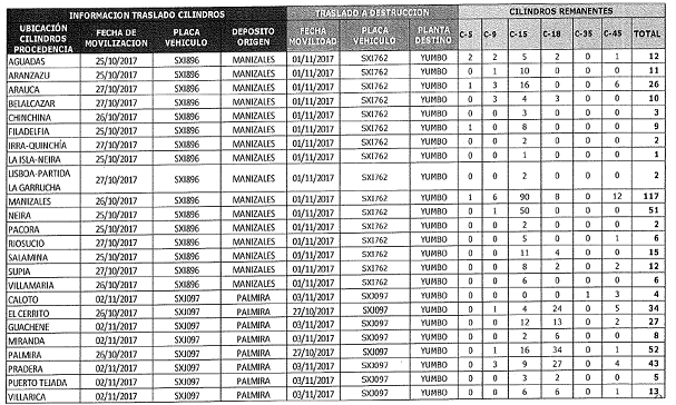
1. Se autoriza a la empresa COLGAS DE OCCIDENTE S.A. E.S.P. la movilización por concepto de recolección y destrucción de los cilindros universales remanentes identificados en el anexo 1 de la presente circular.
2. La movilización de los cilindros universales remanentes enlistados en el numeral anterior solo se podrá realizar en las fechas establecidas en el anexo 1.
3. El vehículo usado en la movilización de cilindros universales remanentes autorizada en el numeral 1 no podrá por ningún motivo contener cilindros marcados con o sin gas durante dicha movilización.
4. La movilización del vehículo que transporta los cilindros universales remanentes autorizada en el numeral 1 deberá hacerse únicamente entre las ciudades origen y destino relacionados en el anexo 1.
5. La destrucción de los anteriores cilindros se realizará los días 16, 17 y 18 de noviembre de 2017 en el taller autorizado CINSA ubicados en el Km 2.5 Vía Vijes – Mulalo en la ciudad de Yumbo, Valle del Cauca.
6. El incumplimiento de los numerales anteriores se considerará una infracción a la prohibición establecida en los numerales a) y b) de la Resolución CREG 164 de 2014. En tal caso deberá informase a la Superintendencia de Servicios Públicos Domiciliarios y darse aplicación a las normas en materia de policía.
Fuera de las fechas contenidas en esta circular la empresa COLGAS DE OCCIDENTE S.A. E.S.P. no podrá por ningún motivo movilizar ni tener en su poder cilindros universales remanentes salvo medie otro pronunciamiento de esta Comisión en los términos previstos en la Resolución CREG 164 de 2014.
Cordialmente,
GERMÁN CASTRO FERREIRA
Director Ejecutivo



