RESOLUCIÓN No.102
( 08 DIC. 2007 )
Por la cual se adopta el Reglamento de la Subasta para la Asignación de Obligaciones de Energía Firme del Cargo por Confiabilidad en el Mercado de Energía Mayorista.
LA COMISIÓN DE REGULACIÓN DE ENERGÍA Y GAS
En ejercicio de las atribuciones legales, en especial las conferidas por las Leyes 142 y 143 de 1994, y en desarrollo de los decretos 1524 y 2253 de 1994, y
C O N S I D E R A N D O:
Que según la Ley 143 de 1994, artículo 4, el Estado, en relación con el servicio de electricidad, tendrá como objetivos en el cumplimiento de sus funciones, los de abastecer la demanda de electricidad de la comunidad bajo criterios económicos y de viabilidad financiera, asegurando su cubrimiento en un marco de uso racional y eficiente de los diferentes recursos energéticos del país; asegurar una operación eficiente, segura y confiable en las actividades del sector; y mantener los niveles de calidad y seguridad establecidos;
Que la Ley 143 de 1994, artículo 20, definió como objetivo fundamental de la Regulación en el sector eléctrico, asegurar una adecuada prestación del servicio mediante el aprovechamiento eficiente de los diferentes recursos energéticos, en beneficio del usuario en términos de calidad, oportunidad y costo del servicio;
Que para el cumplimiento del objetivo señalado, la Ley 143 de 1994, artículo 23, le atribuyó a la Comisión de Regulación de Energía y Gas, entre otras, las siguientes funciones:
-Crear las condiciones para asegurar la disponibilidad de una oferta energética eficiente capaz de abastecer la demanda bajo criterios sociales, económicos, ambientales y de viabilidad financiera, promover y preservar la competencia, para lo cual, la oferta eficiente, en el sector eléctrico, debe tener en cuenta la capacidad de generación de respaldo;
-Valorar la capacidad de generación de respaldo de la oferta eficiente;
-Definir y hacer operativos los criterios técnicos de calidad, confiabilidad y seguridad del servicio de energía;
-Establecer el Reglamento de Operación para realizar el planeamiento y la coordinación de la operación del Sistema Interconectado Nacional; y
Que según la Ley 142 de 1994, artículo 74, son funciones y facultades especiales de la CREG, entre otras, las de regular el ejercicio de las actividades de los sectores de energía y gas combustible para asegurar la disponibilidad de una oferta energética eficiente; propiciar la competencia en el sector de minas y energía y proponer la adopción de las medidas necesarias para impedir abusos de posición dominante y buscar la liberación gradual de los mercados hacia la libre competencia; y establecer criterios para la fijación de compromisos de ventas garantizadas de energía y potencia entre las empresas eléctricas y entre éstas y los grandes usuarios;
Que la ley 142 de 1994, artículo 74, también le asignó a la Comisión de Regulación de Energía y Gas, la función de expedir el Reglamento de Operación para regular el funcionamiento del Mercado Mayorista de energía;
Que la Comisión de Regulación de Energía y Gas, en desarrollo de los objetivos y funciones señalados, mediante la Resolución CREG-071 de 2006, adoptó la metodología para la remuneración del Cargo por Confiabilidad en el Mercado Mayorista;
Que la Resolución CREG-071 de 2006 previó que la CREG expedirá el protocolo de la Subasta de Obligaciones de Energía Firme;
Que en cumplimiento de lo establecido en el artículo 9 del Decreto 2696 de 2004, la Comisión, mediante la Resolución CREG-018 de 2007, ordenó hacer público un proyecto de resolución de carácter general que pretende expedir con el fin de adoptar el Reglamento de la Subasta para la Asignación de Obligaciones de Energía Firme y modificar algunas disposiciones de la Resolución CREG-071 de 2006;
Que conforme a lo ordenado en la citada Resolución CREG-018 de 2007, dicha resolución y el respectivo proyecto fueron publicados en la página Web de la Comisión el día 26 de marzo de 2007, y en el Diario Oficial No. 46.583 del día 27 del mismo mes y año;
Que dentro del término de treinta (30) días, previsto para presentar las observaciones, reparos o sugerencias, y los demás aspectos previstos en el artículo 10 del Decreto 2696 de 2004, las siguientes personas presentaron sus comentarios y observaciones al proyecto publicado: Asociación Colombiana de Generadores de Energía Eléctrica, Empresas Públicas de Medellín, Generadora y Comercializadora de Energía del Caribe, Isagen y XM Compañía de Expertos en Mercados S.A. E.S.P;
Que las observaciones, comentarios, sugerencias y demás información recibida fueron analizados por la Comisión, cuyas conclusiones están contenidas en el Documento CREG-084 del 7 de diciembre de 2007;
Que cumplido el trámite previsto en el Decreto 2696 de 2004, la Comisión, en su Sesión No. 352 del día 8 de diciembre de 2007 se acordó expedir esta resolución;
R E S U E L V E:
Artículo 1. Objeto. Mediante la presente Resolución se adopta el Reglamento de la Subasta para la Asignación de las Obligaciones de Energía Firme en el Mercado de Energía Mayorista, y se derogan algunas normas de la Resolución CREG-071 de 2006. Las normas contenidas en esta resolución hacen parte del Reglamento de Operación expedido para regular el funcionamiento del Mercado de Energía Mayorista.
Artículo 2. Adopción del Reglamento de la Subasta para la Asignación de Obligaciones de Energía Firme. Se adopta como Reglamento de la Subasta para la Asignación de Obligaciones de Energía Firme, el contenido en el anexo de esta Resolución, el cual será adicionado a la Resolución CREG-071 de 2006, como Anexo 10. Para todos los efectos, el Protocolo de la Subasta de que trata dicha Resolución queda sustituido por el Reglamento de la Subasta que aquí se adopta.
Artículo 3. Vigencia. Esta Resolución regirá a partir de la fecha de su publicación en el Diario Oficial y deroga las disposiciones que le sean contrarias.
PUBLÍQUESE Y CÚMPLASE
Dada en Bogotá, D.C, a 08 DIC. 2007
MANUEL MAIGUASHCA OLANO | HERNÁN MOLINA VALENCIA |
Viceministro de Minas y Energía | Director Ejecutivo |
Delegado del Ministro de Minas y Energía
Presidente |  |
ANEXO 10 DE LA RESOLUCIÓN CREG-071 DE 2006
REGLAMENTO DE LA SUBASTA PARA LA ASIGNACIÓN DE OBLIGACIONES DE ENERGÍA FIRME
1. REPORTE DE INFORMACIÓN
1.1 Reporte de información sobre plantas o unidades de generación nuevas.
Las personas que se encuentren gestionando o adelantando proyectos de Plantas o Unidades de Generación Nuevas deberán remitir a la CREG la siguiente información, en los plazos que aquí se señalan y en la forma que para el efecto establezca la Dirección Ejecutiva mediante circular:
1.1.1 Declaración de Interés:
Documento suscrito por el representante legal, mediante el cual se informa a la CREG el interés de participar en la Subasta para la Asignación de Obligaciones de Energía Firme. Esta declaración se deberá reportar a la CREG dentro de los plazos establecidos en la Resolución de que trata el Artículo 18 de la Resolución CREG-071 de 2006 y deberá contener:
a. Identificación del Agente.
b. Identificación del Proyecto.
c. Período de Vigencia de la Obligación para el cual se tiene interés, expresado en años.
d. Fecha estimada de entrada en operación comercial de la planta o unidad de generación.
e. Estimación de la capacidad efectiva neta de la planta o unidad de generación y su ENFICC.
Diez (10) días después de recibida la información anterior, el Director Ejecutivo de la CREG mediante Circular informará el número de proyectos inscritos. La demás información recibida con la Declaración de Interés, se publicará posteriormente con los parámetros que declaren los agentes.
Parágrafo: Para la primera Subasta la Declaración de Interés deberá hacerse dentro del plazo establecido en la Resolución CREG-031 de 2007 o aquellas que la modifiquen o sustituyan.
1.1.2 Declaración de parámetros
La declaración de los parámetros para la determinación de la ENFICC y la información requerida para participar en la Subasta para la Asignación de Obligaciones de Energía Firme deberá ser remitida en los plazos establecidos en la Resolución de que trata el Artículo 18 de la Resolución CREG-071 de 2006.
1.2 Reporte de información sobre plantas o unidades de generación existentes.
Los agentes generadores que representen Plantas o Unidades de Generación Existentes en el Mercado de Energía Mayorista deberán remitir a la CREG la siguiente información:
1.2.1 Retiros Temporales:
Los agentes generadores que representen comercialmente Plantas o Unidades de Generación Existentes y que planeen retirarlas temporalmente de la Subasta para la Asignación de Obligaciones de Energía Firme deberán informar a la CREG, dentro de los plazos que ésta defina, mediante comunicación suscrita por el representante legal debidamente autorizado, su decisión de Retiro Temporal. Con dicha comunicación deberán remitir:
a. Una Función de Oferta, para cada una de las plantas o unidades de generación expresamente identificadas, en la cual se determine el retiro temporal de cada planta o unidad para los casos en que el precio de la subasta sea menor o igual a 0.8 veces el CE, La Función de Oferta reportada no podrá ser modificada durante el proceso de subasta.
b. Período de Vigencia para el cual se hace efectivo el Retiro Temporal de la planta o unidad de generación.
Cuando el agente opte por el retiro temporal de una planta o unidad de generación deberá remitir la totalidad de la información requerida en la regulación vigente, en la oportunidad aquí señalada.
1.2.2 Retiros Definitivos:
Los agentes generadores que representen comercialmente plantas o unidades de generación existentes y que planeen retirarlas definitivamente de la Subasta para la Asignación de Obligaciones de Energía Firme deberán informar a la CREG, dentro de los plazos que esta defina, mediante comunicación suscrita por el representante legal debidamente autorizado, su decisión de Retiro Definitivo.
La información sobre retiros solo será pública una vez finalizada la Subasta. Por tal razón, el Administrador de la Subasta y los agentes no podrán divulgar esta información antes de dicha oportunidad. La divulgación de esta información antes de finalizada la Subasta, independientemente de que quien la haga participe o no en la Subasta, será considerada como un acto contrario a la regulación que afecta la debida realización de la Subasta.
1.2.3 Confirmación de la ENFICC:
Todos los agentes que representan comercialmente plantas o unidades de generación que hayan declarado ENFICC de conformidad con la regulación vigente, deberán remitir a la CREG, dentro de los plazos que esta defina, una comunicación suscrita por el representante legal en la cual confirmen la ENFICC asociada a cada una de las plantas o unidades de generación o informan posibles modificaciones a la misma por causas expresamente previstas en la regulación.
Lo anterior sin perjuicio de las fechas que para la declaración de ENFICC establezca la CREG en la Resolución de que trata el Artículo 18 de la Resolución CREG-071 de 2006.
Parágrafo. Los plazos para la información de Retiros Temporales y Retiros Definitivos aplicables en la primera subasta para la asignación de Obligaciones de Energía Firme son los establecidos en el artículo 2 de la Resolución CREG-027 de 2007.
1.3 Reporte de información por parte de generadores con plantas o unidades de generación que deseen presentar obras que no se han iniciado a la fecha de la subasta, para clasificar y participar como plantas especiales con cierres de ciclo o por repotenciación, o como plantas existentes con obras.
Los agentes generadores con plantas existentes que deseen adelantar obras que no se han iniciado a la fecha de la Subasta, para clasificar y participar como plantas especiales con cierres de ciclos o por repotenciación, o como planta existente con obras, deberán remitir a la CREG la siguiente información, en los plazos que aquí se señalan y en la forma que para el efecto establezca la Dirección Ejecutiva mediante circular:
1.3.1 Declaración de Interés:
Documento suscrito por el representante legal mediante el cual se informa a la CREG el interés de participar en la Subasta para la Asignación de Obligaciones de Energía Firme. Esta declaración deberá ser remitida en los plazos que para tal fin establezca la Resolución de que trata el Artículo 18 de la Resolución CREG-071 de 2006 y deberá contener:
a. Identificación del Agente
b. Identificación del Proyecto.
c. Período de Vigencia de la Obligación para el cual se tiene interés, indicando fecha de inicio (mes, año) y fecha de finalización (mes, año).
d. Fecha estimada de entrada en operación comercial de la planta o unidad de generación con la obra o de las obras que incrementan la ENFICC.
e. Estimación de la capacidad efectiva neta de la planta o unidad de generación, diferenciando la capacidad actual y lo que se agregaría con la obra. Igualmente se debe entregar una estimación de la ENFICC, diferenciando la ENFICC actual y la que se agregaría con la obra.
Diez (10) días después de recibida la información anterior, el Director Ejecutivo de la CREG mediante Circular informará el número de proyectos inscritos. La demás información recibida con la Declaración de Interés, se publicará posteriormente con los parámetros que declaren los agentes.
1.3.2 Declaración de Parámetros:
La declaración de los parámetros para la determinación de la ENFICC y la información requerida para participar en la subasta de Obligaciones de Energía Firme deberá ser remitida en los plazos que para tal fin establezca la Resolución de que trata el Artículo 18 de la Resolución CREG-071 de 2006.
1.3.3 Período de Vigencia de la Obligación:
El Período de Vigencia de la Obligación al que podrá optar el agente que la respalde con plantas o unidades especiales, existentes con obras o existente de, será el que se obtenga de aplicar las siguientes reglas:
a. Si al cierre de la subasta, la ENFICC de la planta o unidad incluye la ENFICC adicional de la obra a ejecutar, el agente podrá optar por un Período de Vigencia de la Obligación así: i) hasta por diez (10) años, si es planta especial con cierre de ciclo o por repotenciación; y ii) hasta por cinco (5) años, si es planta existente con obras.
b. Si al cierre de la subasta, la ENFICC de la planta es igual a la ENFICC de la planta existente, el Período de Vigencia de la Obligación será de un (1) año.
2. ORGANIZACIÓN DE LA SUBASTA PARA LA ASIGNACIÓN DE OBLIGACIONES DE ENERGÍA FIRME
2.1. Responsabilidades y deberes del Administrador de la Subasta.
El Administrador de la Subasta para la Asignación de Obligaciones de Energía Firme tendrá entre otras las siguientes responsabilidades y deberes:
1. Establecer, operar y mantener el Sistema de Subasta, el cual deberá estar en operación comercial a más tardar treinta (30) días calendario antes de la fecha programada para la realización de la subasta.
2. Conservar registros históricos, en medios electrónicos, de la totalidad de operaciones realizadas en desarrollo de la subasta de conformidad con las disposiciones legales vigentes en materia de conservación de documentos.
3. Ofrecer e impartir la capacitación y asistencia necesaria a todos los agentes en el manejo y operación del Sistema de Subasta de conformidad con las características propias de cada uno.
4. Emitir los certificados a cada una de las personas que haya recibido la capacitación y demuestre un adecuado manejo y operación del Sistema de Subasta.
5. Reportar a las autoridades competentes las actuaciones irregulares que se presenten en el proceso de subasta, sin perjuicio de las funciones atribuidas al Auditor.
6. Contratar el Auditor de la Subasta para la Asignación de Obligaciones de Emergía Firme, proceso que debe estar finalizado por lo menos treinta (30) días antes de la fecha programada para la realización de la subasta.
7. Contratar el subastador de la Subasta para la Asignación de Obligaciones de Emergía Firme, proceso que debe estar finalizado por lo menos treinta (30) días antes de la fecha programada para la realización de la subasta.
8. Emitir los certificados de asignación de Obligaciones de Energía Firme establecidos en la regulación vigente, en los cuales además se hará constar expresamente que dichas obligaciones tienen la naturaleza de una transacción de energía firme realizada en el Mercado de Energía Mayorista.
9. Suspender la Subasta cuando sea requerido por el Auditor o el Subastador de conformidad con las disposiciones contenidas en el presente Reglamento.
10. Establecer los canales formales de comunicación entre los agentes y el Administrador durante la Subasta.
11. Realizar auditorías operativas a los sistemas computacionales y de comunicaciones que destinen los agentes para participar en la Subasta de Obligaciones de Energía Firme. El objetivo de la auditoría será verificar si el sistema cumple con los requisitos establecidos por el Administrador para acceder en forma adecuada al Sistema de Subasta. Solo podrán acceder desde equipos localizados en el territorio nacional. El Administrador de la Subasta podrá encomendar esta auditoría operativa al Auditor de la Subasta. Los costos de la auditoría deberán ser asumidos por cada uno de los agentes participantes en la Subasta.
12. El Administrador de la Subasta podrá elaborar los reglamentos que considere necesarios para llevar a cabo las actividades encomendadas, los cuales deberán ser puestos a consideración de la CREG para su aprobación a más tardar 60 días calendario antes de la realización de la subasta. En especial deberá establecer la estructura computacional y de comunicaciones requerida por los agentes y que sean necesarias para su acceso al sistema.
13. Todo valor agregado dado por el Administrador a la información resultante del proceso de subasta será de propiedad y dominio exclusivo del Administrador. En consecuencia, el Administrador podrá comercializar la información por los medios que considere conveniente. Lo anterior sin perjuicio de las disposiciones contenidas en el presente Reglamento.
El Administrador deberá divulgar la información que haya sido registrada a través del Sistema o se haya incorporado al mismo acudiendo a otras fuentes. Para este efecto una vez finalizada la Subasta, en el término de un (1) día el Administrador publicará la totalidad de información asociada a la misma, de conformidad con las disposiciones contenidas en este reglamento.
2.2 Responsabilidades y deberes del Auditor de la Subasta.
El Auditor de la Subasta será una persona natural o jurídica con reconocida experiencia en procesos de auditoría, quien tendrá a su cargo las siguientes responsabilidades y deberes:
1. Verificar la correcta aplicación de la regulación vigente para el desarrollo de la Subasta.
2. Verificar que las comunicaciones entre los agentes participantes y el Administrador de la Subasta se realicen única y exclusivamente mediante los canales formales de comunicación establecidos por este último.
3. Verificar que durante la Subasta se sigan expresamente los pasos y reglas establecidos en este reglamento.
4. Solicitar al Administrador la suspensión de la Subasta cuando considere que no se está dando cumplimiento a las disposiciones contenidas en la regulación vigente.
5. Remitir a la CREG, dentro de los cinco (5) días siguientes a la finalización de la subasta, un informe en el cual se establezca, sin ambigüedades, el cumplimiento o no de la regulación vigente en dicho proceso.
Para los casos en los cuales el Auditor establezca que en la Subasta respectiva no se dio cumplimiento a la normatividad vigente, el proceso adelantado no producirá efectos, y la CREG procederá a programar la Subasta nuevamente, sin perjuicio de las acciones penales y/o civiles y las actuaciones administrativas a que haya lugar contra las personas hayan incumplido la normatividad vigente.
2.3 Responsabilidades y Deberes del Subastador.
El Subastador será una persona natural con reconocida experiencia internacional en la materia, quien tendrá a su cargo las siguientes responsabilidades y deberes:
1. Establecer el Precio de Apertura y el Precio de Cierre de cada una de las rondas
2. Establecer la duración de cada una de las rondas, e informarla al Administrador de la Subasta al inicio de cada ronda.
3. Declarar el cierre de la subasta e informar el Precio de Cierre de la misma.
4. Remitir a la CREG un informe, dentro de los diez (10) días siguientes a la finalización de la subasta en el que evalúe, sin ambigüedades, la clasificación de la subasta y los resultados obtenidos.
5. El Subastador pondrá en conocimiento de todos los agentes, únicamente y exclusivamente, el Precio de Apertura, el Precio de Cierre y la duración de cada ronda. Dicha información deberá ponerla en conocimiento al inicio de cada ronda.
2.4 Obligaciones de los agentes en relación con el uso del Sistema de Subasta.
Los agentes participantes de la Subasta para la Asignación de las Obligaciones de Energía Firme deberán cumplir las siguientes obligaciones relacionadas con la utilización del Sistema de Subasta:
1. Los agentes generadores habilitados para participar en la Subasta para la Asignación de Obligaciones de Energía Firme deberán utilizar u operar el Sistema de Subasta única y exclusivamente a través de personal debidamente capacitado para el efecto por el Administrador de la Subasta, que haya recibido el respectivo certificado de capacitación emitido por éste.
2. Tener a su disposición la estructura operativa y el equipo computacional y de comunicaciones apropiado de acuerdo con las especificaciones operativas y técnicas establecidas por el Administrador de la Subasta.
3. El cumplimiento de las obligaciones a que se refieren los numerales 1 y 2 deberá acreditarse, ante el Administrador de la Subasta previamente al inicio de la Subasta, mediante una declaración suscrita por un representante legal del agente debidamente facultado.
4. Permitir al Administrador de la Subasta realizar las auditorías a los sistemas computacionales y de comunicaciones utilizados por el agente para su participación en las subastas de Obligaciones de Energía Firme.
5. Mantener bajo su exclusiva responsabilidad y estrictos estándares de seguridad y confidencialidad, las claves de acceso al Sistema de Subasta.
6. Abstenerse de realizar actos de competencia desleal, contrarios a la libre competencia o contrarios a legislación o a la regulación vigente o que afecten la transparencia del proceso o la adecuada formación de precios.
7. Informar de manera inmediata al Administrador cualquier error o falla del Sistema de Subasta
2.5. Sistema de Subasta.
La plataforma tecnológica requerida para la realización de las Subastas para la Asignación de Obligaciones de Energía Firme que será implementada por el Administrador de la Subasta, deberá cumplir con los siguientes requisitos mínimos.
1. Debe ser una plataforma basada en protocolos de Internet, que permita el acceso a cada uno de los agentes habilitados para participar en la Subasta para la Asignación de Obligaciones de Energía Firme desde el sitio en el territorio nacional donde éstos dispongan de la infraestructura de computación y comunicaciones necesarias para tal fin.
2. Las bases de datos y servidores del sistema de subasta deberán permanecer en el sitio que para tal fin establezca el Administrador.
3. Debe garantizar la autenticación de los usuarios que acceden al sistema.
4. Debe cumplir las exigencias establecidas en la legislación que rige en materia de comercio electrónico.
5. Debe tener un sistema de manejo de información confidencial.
6. Debe incluir sistemas de respaldo que garanticen la operación continua durante el proceso de subasta.
7. Debe estar provista de una aplicación especial que le permita al Subastador obtener la información requerida para conducir la Subasta.
8. El Sistema de Subasta deberá estar dotado de un registro de todos los procesos realizados en él, incluyendo el registro de ingreso de cada uno de los usuarios.
9. El Sistema de Subasta deberá verificar de manera automática que la Función de Oferta remitida por cada uno de los agentes cumpla con las condiciones establecidas en el presente reglamento.
10. El Administrador de la Subasta deberá realizar una auditoría operativa y de sistemas para verificar el adecuado funcionamiento del Sistema de Subasta y certificar su correcta operación frente a las especificaciones técnicas, operativas y de seguridad, respecto del programa y de los equipos. Igualmente, deberá remitir el certificado de dicha auditoría a la CREG antes de la fecha de inicio de la Subasta.
11. El Administrador de la Subasta no será responsable por la suspensión o interrupción de los servicios, ni por las deficiencias mecánicas, electrónicas o de software que se observen en la prestación del servicio, derivadas de las limitaciones tecnológicas propias del sistema computacional, ni por cualquier otro hecho que escape al control del Administrador, como caso fortuito o fuerza mayor. No obstante, es obligación del Administrador contar con los sistemas de respaldo que considere necesarios para el correcto funcionamiento del sistema.
12. Quince (15) días calendario antes de la fecha programada para la realización de la Subasta para la Asignación de Obligaciones de Energía Firme el Administrador deberá realizar, directamente o a través de una empresa especializada, una auditoría de los sistemas computacionales y de comunicación requeridos por cada uno de los agentes para participar en las Subastas para la Asignación de Obligaciones de Energía Firme, los costos asociados a dichas auditorias serán asumidos por cada uno de los agentes.
13. Aquellos agentes cuyos sistemas computacionales o de comunicaciones no cumplan con los requisitos establecidos solo podrán participar en la Subasta para la Asignación de Obligaciones de Energía firme haciendo uso de las estaciones de trabajo habilitadas para tal fin en las oficinas del Administrador.
14. Para los agentes que representan únicamente plantas o unidades de generación existentes será opcional disponer de la plataforma tecnológica requerida para participar en las subasta de Obligaciones de Energía Firme, para lo cual deberán informar de dicha situación al Administrador. En caso de que el agente opte por no disponer de esta plataforma tecnológica, durante la Subasta la ENFICC declarada para cada una de las plantas o unidades existentes se considerará ofertada a cada nivel de precio hasta el punto en el cual se alcancen las condiciones de retiro temporal cuando estas hayan sido informadas por el agente, momento en el cual el Administrador hará uso de la Función de Oferta de retiro enviada por el agente respectivo.
2.6. Mecanismos de contingencia.
Cuando el Sistema de Subasta se suspenda por las causas señaladas a continuación, se procederá como se indica para cada una de ellas.
2.6.1. Suspensión total de la operación del Sistema de Subasta:
Si el Sistema de Subasta interrumpe su operación por fallas técnicas durante el transcurso de una ronda, afectando total o parcialmente el servicio se procederá como sigue:
a. Una vez restablecida la operación del Sistema de Subasta, si a criterio del Subastador existe tiempo suficiente para realizar nuevamente la Ronda el Administrador procederá a informarlo a los agentes participantes. Esta Ronda tendrá las mismas condiciones de Precio de Apertura, Precio Cierre y duración vigentes de la Ronda en la cual se suspendió el servicio del sistema. Antes de iniciar nuevamente la Ronda el sistema deberá eliminar la totalidad de las ofertas realizadas durante la Ronda en la cual se presentó la suspensión.
b. Una vez restablecida la operación del Sistema de Subasta, si a criterio del Subastador no existe tiempo suficiente para realizar nuevamente Ronda, el Administrador procederá a informarlo a los agentes participantes, y la operación del Sistema se suspenderá hasta el día hábil siguiente. La nueva Ronda tendrá las mismas condiciones de Precio de Apertura, Precio de Cierre y duración de la Ronda en la cual se suspendió el servicio del sistema. Antes de iniciar la Ronda el sistema deberá eliminar la totalidad de las ofertas realizadas durante la Ronda en la cual se presentó la suspensión.
2.6.2. Suspensión parcial de la operación del Sistema de Subasta:
Se entenderá como suspensión parcial de la operación del Sistema de Subasta la falla asociada a las estaciones de trabajo de cualquiera de los agentes o de sus sistemas de comunicación. Cuando se presente la suspensión parcial de la operación del Sistema de Subasta el agente cuya estación de trabajo o sistema de información falló deberá remitir vía alterna establecida por el Administrador las ofertas de energía firme cumpliendo con la reglamentación vigente. Dichas ofertas serán ingresadas al Sistema de Subasta según la alternativa y formato establecidos por el Administrador.
2.7. Claves de acceso al Sistema de Subasta.
El Administrador entregará, al representante legal de cada uno de los agentes habilitados para participar en la subasta de Obligaciones de Energía Firme, una clave de acceso al Sistema de Subasta. El agente será el único responsable por el uso que sus operadores, funcionarios o cualquier persona hagan de la clave de acceso y deberá velar porque la misma se mantenga y use bajo estricta reserva y seguridad. El Administrador de la Subasta podrá establecer el uso de firma digital que sustituya las claves de que tratan el presente numeral.
3. SUBASTA PARA LA ASIGNACIÓN DE OBLIGACIONES DE ENERGÍA FIRME
La subasta para la asignación de Obligaciones de Energía Firme se regirá por las siguientes reglas generales.
3.1. Hora de apertura y de cierre de la Subasta.
La Subasta para la Asignación de Obligaciones de Energía Firme tendrá una duración igual al período de tiempo comprendido entre la fecha y hora de apertura y la fecha y hora de cierre, las cuales serán establecidas a criterio del subastador. Durante cada uno de los días calendario de este período de tiempo el Sistema de Subasta estará habilitado para realizar transacciones entre las 8:00 horas y hasta las 17:00 horas, ó hasta la hora en que el subastador determine y anuncie el cierre de la subasta. Para todos los efectos se considerará la hora colombiana.
3.2. Inicio de la Subasta.
La Subasta iniciará a la hora establecida en el presente Reglamento. Para tal fin, los agentes habilitados para participar en la Subasta deberán ingresar al sistema con sus respectivas claves, por lo menos, quince (15) minutos antes de la hora de inicio establecida, o en su defecto haber informado al Administrador, con la misma antelación, la existencia de condiciones que impliquen la suspensión parcial de la operación del Sistema de Subasta.
3.3. Precio de Apertura de la Subasta.
El Precio de Apertura de la Subasta será igual a dos (2) veces el valor establecido en la regulación vigente para el Costo del Entrante.
3.4. Terminación anticipada de la Subasta.
Para los casos en los cuales durante la primera Ronda de la Subasta no se presenten ofertas respaldadas con plantas o unidades de generación nuevas o con plantas de las que trata el numeral 3.6.2 de este Reglamento, el Administrador de la Subasta la dará por terminada e informará a la CREG, la cual establecerá el procedimiento a seguir.
3.5. Función de Oferta.
Para cada una de las rondas anunciadas por el Subastador, cada uno de los oferentes deberá enviar una Función de Oferta de ENFICC que relacione precio, cantidad de energía firme que están dispuestos a comprometer y la planta o unidad de generación que respaldará la Obligación de Energía Firme. Para la ronda inicial los oferentes deberán enviar la cantidad de Energía Firme ofertada al precio de apertura de la Subasta para la Asignación de Obligaciones de Energía Firme, así como la planta o unidad de generación que la respalda.
La cantidad de Energía Firme asociada a cada uno de los Bloques ofertados deberá estar expresada en Kwh-día que deben ser iguales a la ENFICC de cada planta o unidad de generación que represente el agente generador, en número entero. En caso de plantas nuevas o plantas de las que trata el numeral 3.6.2 de este Reglamento, para las cuales se permite el fraccionamiento, el bloque corresponde a la ENFICC de cada fracción
El precio por Bloque de Energía Firme ofertado deberá estar expresado en Dólares de los Estados Unidos de Norte América por MWh, con tres (3) cifras decimales.
Los bloques de ENFICC retirados en una ronda no pueden hacer parte de la función de oferta de rondas siguientes.
3.6. Ofertas de Energía Firme respaldadas con plantas o unidades de generación existentes, existentes con obra y especiales.
Para las ofertas de energía firme de las plantas o unidades de generación especiales, existentes con obra y existentes, se aplicará lo siguiente:
3.6.1 Agentes con plantas o unidades de generación existentes con obras y especiales que iniciaron sus obras antes de la subasta, y existentes:
Las ofertas de energía firme que sean respaldadas con plantas o unidades de generación existentes con obra y especiales que iniciaron sus obras antes de la subasta, y existentes, deberán ser iguales a la ENFICC declarada para la planta o unidad de generación que la respalda, hasta el punto donde se alcance el precio establecido para los retiros temporales. A partir de este precio se utilizará la Función de Oferta presentada con la comunicación de retiro temporal.
3.6.2 Agentes con plantas o unidades de generación existentes que deseen presentar obras adicionales que no se han iniciado a la fecha de la Subasta, para clasificar y participar como plantas especiales con cierre de ciclo o por repotenciación, o como plantas existentes con obras:
Las ofertas de energía firme que sean respaldadas con plantas o unidades de generación que deseen presentar obras adicionales cuya construcción no ha iniciado a la fecha de la subasta, para clasificar y participar como plantas especiales con cierre de ciclo o por repotenciación, o como plantas existentes con obras deberán ser:
i. Cuando el precio de la subasta sea superior a 0.8 veces el CE: El agente puede retirar la ENFICC correspondiente a la obra adicional.
ii. Cuando el precio de la subasta es menor o igual a 0.8 veces el CE: a partir de este valor el agente puede retirar la ENFICC correspondiente a la obra y utilizará la Función de Oferta presentada para la planta existente con la comunicación de retiro temporal, si es del caso.
En caso de que se retire la ENFICC de la obra adicional, la planta o unidad de generación mantendrá la clasificación que le corresponda sin considerar dicha obra.
3.7. Inadmisión y corrección de ofertas.
Cuando un agente habilitado para participar en la Subasta de Obligaciones de Energía Firme envíe al sistema una función de oferta que no cumpla con las condiciones establecidas en el reglamento, ésta será inadmitida automáticamente por el Sistema. Dicha situación deberá ser informada inmediatamente al agente respectivo con el fin de que realice las correcciones necesarias. Para los casos en los cuales el agente no envíe una Función de Oferta durante la Ronda o no corrige la inadmitida, se retira la ENFICC representada por el agente al precio de inicio de la ronda.
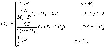
3.8. Función de demanda de la Subasta para la Asignación de Obligaciones de Energía Firme.
La cantidad de energía que se propone asignar mediante obligaciones de energía firme a cada nivel de precio estará expresada por la siguiente función de demanda:
donde:
D: Demanda Objetivo expresada en kWh, con los descuentos realizados por el ASIC según la regulación.
CE: Costo del entrante expresado en US$/kWh.
M1 y M2: Demandas de energía para márgenes 1(menor) y 2(mayor), expresados en kilovatios hora, con los descuentos realizados por el ASIC según la regulación.
p: Precio.
q: Demanda al nivel de precio p.
El valor de CE, M1 y M2 serán los establecidos en la regulación.
3.9. Exceso de Oferta.
Diferencia entre la oferta de energía firme al final de una ronda y la función de demanda evaluada esta al precio de cierre de la misma ronda.
3.10. Regla de actividad de la Subasta.
La regla de actividad de la subasta que establece el criterio general que deben cumplir los agentes en la construcción de su Función de Oferta, será la siguiente: Ante disminuciones del precio los oferentes solamente podrán optar por mantener o disminuir la cantidad de energía firme que están dispuestos a comprometer.
3.11. Tipo de subasta y reglas para llevarla a cabo.
La Asignación de Obligaciones de Energía Firme se llevará a cabo mediante una subasta de reloj descendente, de acuerdo con las siguientes reglas:
a. El Precio de Apertura de la Subasta será igual al valor establecido en el numeral 3.3 de este reglamento.
b. Para cada una de las rondas de la Subasta, el Subastador deberá informar el Precio de Apertura, el Precio de Cierre y la duración de la Ronda.
c. Durante cada Ronda de la Subasta cada uno de los participantes deberá enviar al administrador de la subasta una Función de Oferta definida entre el Precio de Apertura de la Ronda y el Precio de Cierre de la Ronda, la cual debe cumplir la regla de actividad establecida en el numeral 3.10 de este Reglamento. La Función de Oferta podrá ser modificada por el agente en cualquier momento durante el Período de Duración de la Ronda. Se tomará como Función de Oferta la última registrada en el Sistema dentro del Período de Duración de la Ronda.
d. Una vez finalizado el Período de Duración de la Ronda, el Subastador deberá determinar el Exceso de Oferta existente y proceder a la determinación del nuevo Precio de Cierre para una nueva Ronda cuando sea el caso.
e. Cuando el Exceso de Oferta sea positivo, el Subastador informará un nuevo Precio de Cierre para una nueva Ronda, con el cual el Administrador de la Subasta procederá a abrirla. El nuevo Precio de Cierre de la Ronda deberá ser estrictamente menor que el Precio de Cierre de la Ronda anterior. El Precio de Apertura de la nueva Ronda corresponderá al Precio de Cierre de la Ronda anterior. Los generadores deberán enviar nuevamente una función de oferta definida entre estos nuevos precios.
f. El proceso se debe repetir hasta cuando el Exceso de Oferta sea menor que cero con una precisión de 3 decimales. En este momento se procederá al despeje del mercado y a la determinación del Precio de Cierre de la Subasta.
3.12. Determinación del Precio de Cierre de la subasta.
El Precio de Cierre de la Subasta para la Asignación de Obligaciones de Energía firme se determinará con el siguiente mecanismo:
3.12.1. Casos en los cuales la curva de demanda de obligaciones de energía firme corta la curva de oferta en un segmento vertical:
En este caso el precio de cierre será igual al precio correspondiente al punto donde se cruzan la curva de demanda y la curva de oferta.
3.12.2 Casos en los cuales la curva de demanda de obligaciones de energía firme corta la curva de oferta en un segmento horizontal:
En este caso el precio de cierre será el que minimice la siguiente función:
Min ( p1q1,p2q2)
Donde:
q1: ENFICC del generador cuyo segmento corta la curva de demanda;
q2: ENFICC del generador que se retira antes del generador con q1,
p1: Precio del generador con q1
p2: Precio del generador con q2.
Se consideran las restricciones de fraccionamiento para los casos en los cuales el bloque de energía firme marginal sea respaldado con una planta o unidad de generación nueva.
3.12.3 Consideración de retiro de unidades.
Si durante el Período de Precalificación se informó el retiro temporal de plantas o unidades de generación, la Subasta se adelantará de conformidad con las disposiciones contenidas en el presente Reglamento. En este caso el Precio de Cierre de la subasta será el resultante de incluir la energía firme de las plantas o unidades de generación retiradas temporalmente. Este Precio de Cierre se aplicará a las plantas o unidades de generación existentes, existentes con obras y especiales de que trata el numeral 3.6.1 de este Reglamento, que no tengan obligación de energía firme para el año para el cual se realiza la subasta.
El precio de cierre aplicable a las Obligaciones de Energía Firme asignadas y que son respaldadas con plantas o unidades de generación nuevas o con plantas o unidades de las que trata el numeral 3.6.2 de este Reglamento, será igual al resultante de realizar el proceso de despeje de la subasta, antes mencionado, eliminando la energía firme de las plantas o unidades de generación que informaron retiro temporal.
3.13. Casos Especiales del proceso de subasta.
Para todos los efectos se define una subasta con carácter de especial cuando se cumpla al menos una de las siguientes condiciones:
a. Oferta Insuficiente: Si al inicio de la primera ronda la oferta total de ENFICC, incluyendo la de las plantas o unidades que informaron su retiro temporal según lo establece al regulación, no es suficiente para atender la Demanda Objetivo se calificará la subasta como de oferta insuficiente y se procederá a la finalización de la misma de conformidad con las disposiciones contenidas en la presente Resolución.
En este caso el Precio del Cargo por Confiabilidad asociado a las Obligaciones de Energía Firme asignadas y respaldadas con plantas o unidades de generación existentes, existentes con obras o especiales, de que trata el numeral 3.6.1 de este Reglamento, será igual al valor resultante de incrementar el CE en un diez por ciento. Las Obligaciones de Energía Firme asignadas y respaldadas con plantas o unidades de generación nuevas o con plantas o unidades de las que trata el numeral 3.6.2 de este Reglamento serán remuneradas al Precio de Apertura de la subasta.
b. Competencia insuficiente: Si al inicio de la primera ronda la ENFICC de las plantas o unidades de generación existentes más la ENFICC de los retiros temporales, más la ENFICC de las existentes con obras y especiales de que trata el numeral 3.6.1 de este Reglamento, sin Obligación de Energía Firme para el período a asignar, es menor que la Demanda Objetivo con los descuentos realizados por el ASIC según la regulación, y el Exceso de oferta al considerar la ENFICC de las plantas o unidades de generación nuevas más la ENFICC de las plantas o unidades de que trata el numeral 3.6.2 de este Reglamento es menor al 4% de la Demanda Objetivo con los descuentos realizados por el ASIC según la regulación, la subasta se realizará de conformidad con la regulación vigente y será calificada como de competencia insuficiente.
En los casos en los cuales una subasta sea calificada como de competencia insuficiente el Precio del Cargo por Confiabilidad asociado a las Obligaciones de Energía Firme respaldadas con plantas o unidades de generación existentes, existentes con obras o especiales, de que trata el numeral 3.6.1 de este Reglamento, será el valor mínimo entre el resultante de incrementar el CE en un diez por ciento y el Precio de Cierre de la Subasta. El precio del Cargo por Confiabilidad asociado a las Obligaciones de Energía Firme asignadas y respaldadas con plantas o unidades de generación nuevas o con plantas o unidades de que trata el numeral 3.6.2 de este Reglamento será igual al Precio de Cierre de la subasta.
c. Participación insuficiente: Si al finalizar la Subasta para la Asignación de Obligaciones de Energía Firme se cumple la condición de que por lo menos el 50% de las Obligaciones de Energía Firme no se asignó a uno o a varios agentes que las respaldan con plantas o unidades de generación nuevas o plantas o unidades de que trata el numeral 3.6.2 de este Reglamento y que en conjunto tengan menos del 15% de la ENFICC total existente, la subasta será calificada como de participación insuficiente.
En los casos en los cuales una subasta sea calificada como de participación insuficiente el Precio del Cargo por Confiabilidad asociado a las Obligaciones de Energía Firme respaldadas con plantas o unidades de generación existentes, existentes con obras y especiales, de que trata el numeral 3.6.1 de este Reglamento, será el valor mínimo entre el resultante de incrementar el CE en un diez por ciento y el Precio de Cierre de la Subasta. Las Obligaciones de Energía Firme asignadas y respaldadas con plantas o unidades de generación nuevas o con plantas o unidades de que trata el numeral 3.6.2 de este Reglamento serán remuneradas al Precio de Cierre de la subasta.
3.14. Banda de precios aplicables a las plantas o unidades de generación existentes, existentes con obras o especiales de que trata el numeral 3.6.1 de este Reglamento, en las primeras tres subastas.
Para las primeras tres (3) Subastas para la Asignación de Obligaciones de Energía Firme, el precio a ser aplicado a las obligaciones de energía firme asignadas y que sean respaldadas con plantas o unidades de generación existentes, existentes con obras o especiales de que trata el numeral 3.6.1 de este Reglamento corresponderá al Precio de Cierre de la Subasta respectiva o a la regla aplicable cuando ésta sea calificada como especial, siempre que el precio resultante se encuentre dentro de los siguientes límites:
Para los casos en los cuales el Precio de Cierre de la Subasta sea mayor que el limite superior (LS) o menor que el limite inferior (LI), el precio de las obligaciones de energía firme asignadas que sean respaldadas con plantas o unidades de generación existentes o especiales de que trata el numeral 3.6.1 de este Reglamento será igual al limite superior o al limite inferior según sea el caso.
3.15 Selección del desarrollador para el caso de un proyecto con varios desarrolladores:
En el caso de que en la subasta se tenga un proyecto con varios desarrolladores, las siguientes son las reglas para seleccionar el desarrollador al cual se le asignan las Obligaciones de Energía Firme:
a. Para entrar a la subasta se debe entregar la siguiente documentación:
i. Promesa de compra-venta del estudio entre el dueño o poseedor del estudio y el desarrollador. En la promesa de compra-venta se deberá incluir, entre otros aspectos, el valor base del estudio y la aceptación por las partes del resultado de la Subasta para la Asignación de Obligaciones de Energía Firme y de la Subasta de Sobre Cerrado para GPPS.
ii. Sobre cerrado en donde el desarrollador establece el valor que está dispuesto a pagar por el estudio, en caso de que existan varios desarrolladores del mismo proyecto por igual cantidad de ENFICC.
iii. Garantía para amparar la participación en la subasta de acuerdo con lo definido en el Capítulo 3 de la Resolución CREG-061 de 2007, o aquellas que la modifiquen.
iv. Toda la información exigida en la Resolución de que trata el Artículo 18 de la Resolución CREG-071 de 2006 y en los plazos que allí se establezcan.
La documentación exigida en los ordinales i) a iii) de este literal deberá ser remitida por cada desarrollador en el plazo establecido para la entrega de las garantías para participar en la subasta en la Resolución de que trata el Artículo 18 de la Resolución CREG-071 de 2006.
b. En la subasta se aplicarán las siguientes reglas:
i. Se considerará un solo proyecto con ENFICC igual a la mayor ofertada para el proyecto.
ii. En todo momento el Subastador considerará la ENFICC mayor del proyecto de acuerdo con la curva de oferta declarada por cada oferente en cada Ronda.
iii. En caso de que dos o más desarrolladores hayan ofertado igual ENFICC al cierre de la subasta, el Administrador de la Subasta procederá a abrir los sobres cerrados, los ordenará de mayor a menor, y preferirá al desarrollador que está dispuesto a pagar más por el estudio.
MANUEL MAIGUASHCA OLANO | HERNÁN MOLINA VALENCIA |
Viceministro de Minas y Energía | Director Ejecutivo |
Delegado del Ministro de Minas y Energía
Presidente | |