| Publicación Diario Oficial No.: | , el día: |
| Publicada en la WEB CREG el: | |
|
RESOLUCIÓN No.021
( 13 MAYO 2003 ) Por la cual se modifica el Anexo de la Resolución CREG 071 de 2002 sobre Metas Individuales de Reposición de cilindros portátiles utilizados en la prestación del servicio de Gas Licuado del Petróleo (GLP), de acuerdo con lo previsto en la Resolución CREG 019 de 2002.
LA COMISIÓN DE REGULACIÓN DE ENERGÍA Y GAS
En ejercicio de sus atribuciones legales, en especial de las conferidas por las Leyes 142 de 1994 y 689 de 2001, y en desarrollo de los Decretos 1524 y 2253 de 1994, y
C O N S I D E R A N D O:
Que de conformidad con lo establecido en la Ley 142 de 1994 corresponde a la Comisión de Regulación de Energía y Gas regular el servicio público domiciliario de gas combustible;
Que según el Articulo 23 de la Ley 689 de 2001 corresponde a la CREG establecer la regulación aplicable a la reposición y mantenimiento de cilindros portátiles y tanques estacionarios.
Que en cumplimiento de lo dispuesto en la Ley 689 de 2001, la CREG expidió la Resolución 019 de 2002, por la cual se reguló la reposición y mantenimiento de cilindros y tanque estacionarios utilizados en la prestación del servicio de Gas Licuado del Petróleo (GLP), y previó el establecimiento de metas individuales de reposición de cilindros portátiles para cada una de las empresas distribuidoras de GLP.
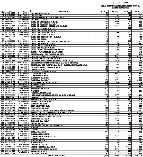
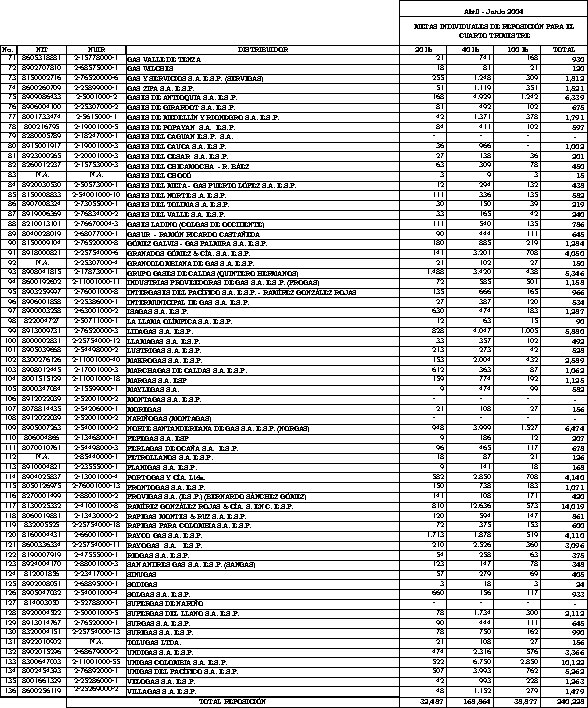
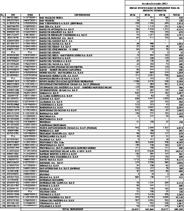
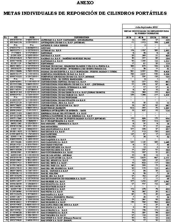
Que mediante la Resolución CREG-071 de 2002 se establecieron las metas individuales de reposición por empresa, para ser ejecutadas durante el período diciembre de 2002 hasta noviembre de 2003.
Que a través de las comunicaciones radicadas en la CREG bajo los Nos. 00209 del 10 de enero de 2003, 001064 del 4 de febrero de 2003, 001928 del 27 de febrero de 2003 y 01967 del 28 de febrero de 2003, suscritos por la Fiduciaria Popular y el Ministerio de Minas y Energía, la Comisión tuvo conocimiento de la terminación anticipada del contrato celebrado entre el Consorcio y la Fiduciaria Popular para el mantenimiento y reposición de cilindros portátiles de GLP.
Que mediante el Artículo 1º de la Resolución CREG-017 de 2003 se modificó el Artículo 12 de la Resolución CREG 019 de 2002, para permitir la reactivación del programa de reposición y mantenimiento en el menor tiempo posible, dando cumplimiento a todas las condiciones establecidas en la Resolución CREG 019 de 2002, entre las que se encuentran la existencia de una interventoría en los términos establecidos en dicha resolución.
Que mediante comunicaciones radicadas en la CREG bajo los números E-2003-003862 y 003780 de abril 15 de 2003, el Comité Fiduciario informó a la CREG que se encuentra lista la interventoría para dar inicio al esquema de reposición y mantenimiento previsto en la Resolución CREG-019 de 2002, en los términos de la transición prevista en el Artículo 1º de la Resolución CREG-017 de 2003.
Que mediante Resolución CREG-020 de 2003, se establecieron los precios máximos a los que se pagarán las actividades de reposición y mantenimiento, y los transporte requeridos, dentro de los programas establecidos regulatoriamente y con cargo a los recursos del Margen de Seguridad.
Que la Comisión de Regulación de Energía y Gas en la Sesión No. 213 del 13 de mayo de 2003, acordó modificar el anexo de la Resolución CREG 071 de 2002;
R E S U E L V E:
ARTÍCULO 1º. Modificar el Anexo de la Resolución CREG 071 de 2002, el cual quedará así.



ARTÍCULO 2º. La presente Resolución rige partir de su publicación en el Diario Oficial y deroga todas las disposiciones que le sean contrarias.
Publicada en el Diario Oficial No.45.189 del 16 de mayo de 2003
PUBLÍQUESE Y CÚMPLASE
Dada en Bogotá, D.C. 13 MAYO 2003
LUIS ERNESTO MEJÍA CASTRO | JAIME ALBERTO BLANDÓN DÍAZ |
Ministro de Minas y Energía | Director Ejecutivo |
Presidente |  |
|
Doble click sobre el archivo anexo para bajarlo(Resoluciones CREG) |
Doble click sobre el archivo anexo para bajarlo(Documento CREG) |
|