| Publicación Diario Oficial No.: | 48.380, el día:22/March/2012 |
| Publicada en la WEB CREG el: | 22/March/2012 |
| República de Colombia Ministerio de Minas y Energía
COMISIÓN DE REGULACIÓN DE ENERGÍA Y GAS
RESOLUCIÓN No. 031 DE 2012
( 16 MAR. 2012 )
Por la cual se aclaran y modifican algunas disposiciones de la
Resolución CREG 172 de 2011.
Concordancias:
Resolución CREG 172 de 2011, Anexo 2 Nums. 2.1; 2.3.2; 3.1; 4.2.4; 4.3.1 |
LA COMISIÓN DE REGULACIÓN DE ENERGÍA Y GAS
En ejercicio de las atribuciones legales, en especial las conferidas por las Leyes 142 y 143 de 1994, y los decretos 1524 y 2253 de 1994.
C O N S I D E R A N D O:
Que la CREG expidió la Resolución CREG 172 de 2011 Por la cual se establece la metodología para la implementación de los Planes de reducción de pérdidas no técnicas en los Sistemas de Distribución Local;
Que se ha identificado la necesidad de hacer las siguientes aclaraciones a la Resolución CREG 172 de 2011:
· En el Numeral 2.1 del Anexo 2 de la Resolución CREG 172 de 2011, el cálculo de la porción que remunera el AOM se debe realizar con el mismo factor dispuesto para su inclusión en el cálculo de la variable CPORj.
· En el Numeral 2.3.2 del Anexo 2 de la Resolución CREG 172 de 2011, para el cálculo de la energía de entrada para los años t y t-1 se deben descontar los flujos de energía desde niveles de tensión superiores del OR a cambio de la energía de salida a otros OR.
· En el Numeral 3.1 del Anexo 3 de la Resolución CREG 172 de 2011, teniendo en cuenta el plazo para el cálculo de la variable CPROGj,m, se debe utilizar el IPP del mes m-2 en lugar del el IPP del mes m-1.
· Es necesario ajustar la fórmula para el cálculo de la energía de salida del numeral 4.2.4 del Anexo 4 de la Resolución CREG 172 de 2011 para que las fuentes de información de ventas de energía sean las mismas definidas en el numeral 4.3.4 del mismo Anexo.
· Es necesario ajustar la fórmula para el cálculo de la variable PTSi,j,m del numeral 4.3.1 del Anexo 4 de la Resolución CREG 172 de 2011, para que sea compatible con la fórmula con la cual se evalúa el Plan.
Como consecuencia de lo anterior, la Comisión de Regulación de Energía y Gas, CREG ha considerado pertinente hacer las modificaciones que correspondan en la Resolución CREG 172 de 2011.
Que de conformidad con lo establecido en el numeral 5 del artículo 1 de la Resolución CREG 097 de 2004, no se hizo público el proyecto de resolución conforme a las disposiciones del artículo 9 del Decreto 2696 de 2004, por tratarse de la corrección de simples errores de hecho que no inciden en el sentido de la decisión;
Que la Comisión de Regulación de Energía y Gas, en su sesión No.515 del 16 de marzo de 2012, acordó expedir la presente resolución;
R E S U E L V E:
Artículo 1. Modificar el numeral 2.1. del Anexo 2 de la Resolución CREG 172 de 2011, el cual quedará así:
2.1 Calculo de la variable CAPj
La variable CAPj corresponde a la anualidad a remunerar al Operador de Red por la ejecución del Plan. Este valor es mayor o igual a cero (0).
Con: Donde:
CTPj: Costo total del Plan para el OR j, en pesos de diciembre de 2010, calculado de acuerdo con lo establecido en el numeral 2.2 de este Anexo.
PPact_uj: Participación de la inversión en activos clasificados como Activos de Uso de la actividad de distribución, utilizados para la ejecución del Plan, respecto del costo del Plan presentado por el OR.
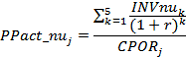
PPact_nuj: Participación de la inversión en activos que no son considerados Activos de Uso de la actividad de distribución, utilizados para la ejecución del Plan, respecto del costo del Plan presentado por el OR.
PPaomj: Participación de los costos y gastos, utilizados para la ejecución del Plan, respecto del costo del Plan presentado por el OR.
INVuk: Inversión en el año k en activos que son clasificados como activos de uso de la actividad de distribución, utilizados para la ejecución del Plan.
INVnuk: Inversión en el año k en activos que no son clasificados como activos de uso de la actividad de distribución, utilizados para la ejecución del Plan.
AOMk: Costos y gastos en el año k, utilizados para la ejecución del Plan.
CPORj: Valor presente del costo total del Plan, en pesos de diciembre de 2010, presentado por el OR j para su aprobación. Calculado con la Tasa de Retorno del 13,0 %.
r: Tasa de Retorno para la remuneración con la Metodología de Ingreso Regulado utilizada en la Resolución CREG 097 de 2008. Es igual a 13,0 %.
AOMdj: Promedio anual de costos y gastos asociados con la recuperación de pérdidas de energía reconocidos en el AOM de la actividad de distribución de energía eléctrica según lo establecido en la Resolución CREG 097 de 2008.
PAOMGj,04-07: Porcentaje de AOM gastado por el OR j, en el periodo 2004-2007. Valor utilizado en la aprobación de cargos por uso de acuerdo con la Resolución CREG 097 de 2008.
PAOMj,ref: Porcentaje de AOM de referencia para el OR j. Valor utilizado en la aprobación de cargos por uso de acuerdo con la Resolución CREG 097 de 2008.
AOMPj,k: Gastos del OR j en Planes de reducción de pérdidas de energía, durante los años k (de 2004 al 2007), donde k es el número de años con información reportada. Esta información corresponde a la entregada por los OR en respuesta a la Circular CREG 019 de 2010, en pesos de diciembre de 2010.
En el caso de que un OR no haya reportado información en respuesta a esta Circular, esta variable se calculará de la siguiente manera:
Donde:
PA: Máximo porcentaje de gastos en reducción de pérdidas respecto al AOM gastado durante el periodo 2004-2007, calculado para los Operadores de Red j que presentaron información en respuesta a la Circular CREG 019 de 2010.
AOMGj,04-07: AOM gastado por el OR j, que presentó información en respuesta a la Circular CREG 019 de 2010, en el periodo 2004-2007. Valor utilizado en la aprobación de cargos por uso de acuerdo con la Resolución CREG 097 de 2008.
Artículo 2. Modificar el numeral 2.3.2 del Anexo 2 de la Resolución CREG 172 de 2011, el cual quedará así:
2.3.2 Variables del Modelo de Estimación del Costo Eficiente del Plan
Para definir la variable CPCE se utilizará la siguiente información:
· Tasa de descuento: Tasa de retorno para la remuneración con la Metodología de Ingreso Regulado utilizada en la Resolución CREG 097 de 2008. Es igual a 13,0 %.
· Crecimiento vegetativo de la demanda: Crecimiento promedio de las ventas de energía registradas en el mercado de comercialización, durante los cinco años anteriores al de la presentación del Plan.
· Mínima inversión: Mínimo costo en $/kWh, con el cual el Modelo de Estimación del Costo Eficiente obtiene una ruta factible para obtener el nivel de pérdidas propuesto por el OR al finalizar el Plan. Este valor debe ser mayor que cero (0).
· Máxima inversión: Máximo costo en $/kWh, con el cual el Modelo de Estimación del Costo Eficiente obtiene una ruta factible para obtener el nivel de pérdidas propuesto por el OR al finalizar el Plan. Este valor debe ser mayor que cero (0).
· Opciones de inversión: corresponde al número de opciones para conformar el árbol de decisión, cuyo máximo valor es treinta (30).
· Energía de entrada para los años t y t-1: Cantidad de energía, en kWh, calculada con base en la metodología definida en el numeral 4.2.3 del ANEXO 4 de la presente resolución, menos el flujo de energía desde niveles de tensión superiores en el sistema del OR.
· Energía de salida para los años t y t-1: Cantidad de energía, en kWh, calculada con base en la metodología definida en el numeral 4.2.4 del ANEXO 4 de la presente resolución.
· Nivel de pérdidas años t y t-1: Porcentaje de pérdidas totales del sistema calculado con base en la metodología definida en el numeral 4.2.1 del ANEXO 4 de la presente resolución.
· Inversión años t y t-1: Corresponde a la información entregada por el OR en la solicitud de aprobación del Plan.
· El año t corresponde al anterior al de la presentación de la solicitud de aprobación del Plan.
Artículo 3. Modificar el numeral 3.1 del Anexo 3 de la Resolución CREG 172 de 2011, el cual quedará así:
3.1 Determinación del cargo mensual
El cargo que debe ser cobrado a los usuarios finales en cada mercado de comercialización será calculado y publicado por el LAC los primeros siete (7) días de cada mes, de la siguiente manera:
Donde:
CPROGj,m: Cargo en $/kWh por concepto del Plan, del mercado de comercialización j, aplicable en el mes m. El cargo publicado por el LAC aplicará para el siguiente mes al de su publicación.
CAPj: Costo anual del Plan ($), del mercado de comercialización j, aprobado al OR, calculado según lo expuesto en el numeral 2.1 del Anexo 2 de la presente resolución.
VSTNj,m: Ventas a usuarios conectados directamente al STN asociados al mercado de comercialización j en el mes m, en kWh.
Corresponde a las lecturas tomadas directamente de los medidores de los usuarios conectados directamente al STN, sin referir al STN, tomadas de los registros del LAC. Cuando el medidor no se encuentre en el lado del STN, la medida se debe referir con los factores aprobados para el respectivo sistema.
Cuando para una frontera no se disponga de la información de un mes determinado se utilizará el promedio registrado para los últimos seis (6) meses de dicha frontera o la mejor información disponible en el LAC.
VCPj, Ventas en el mercado de comercialización servido por el OR j, durante doce (12) meses, en kWh, realizadas por los comercializadores diferentes al incumbente, calculado de la siguiente manera:
Donde:
vcpm,n,i Energía registrada en el SIC para las fronteras comerciales de responsabilidad del comercializador i diferente al comercializador incumbente, durante el mes m, en el nivel de tensión n, en el mercado de comercialización atendido por el OR j, en kWh.
Cuando no se disponga de la información para un mes determinado, se utilizará el promedio de los valores registrados para los últimos seis (6) meses o la mejor información disponible.
Ip: Número total de Comercializadores distintos al incumbente en el mercado de comercialización del OR j.
VCIj, Ventas en el mercado de comercialización servido por el OR j, durante doce (12) meses, en kWh, realizadas por el comercializador incumbente, calculado de la siguiente manera:
vciRm,n Ventas durante el mes m, en el nivel de tensión n, del comercializador incumbente, para usuarios regulados.
Corresponde al consumo de energía eléctrica en kWh que es facturado y reportado al SUI para el respectivo periodo. Cuando no se disponga de la información para un mes determinado, se utilizará el promedio registrado en el SUI para los últimos seis (6) meses o la mejor información disponible.
vciNRm,n Ventas durante el mes m, en el nivel de tensión n, del comercializador incumbente, para usuarios no regulados.
Corresponde a la energía registrada en el SIC para las fronteras comerciales de usuarios no Regulados de responsabilidad del comercializador incumbente, durante el mes m, en el nivel de tensión n, en el mercado de comercialización atendido por el OR j, en kWh.
Cuando no se disponga de la información para un mes determinado, se utilizará el promedio de los valores registrados para los últimos seis (6) meses o la mejor información disponible.
IPPm-2 Índice de Precios al Productor Total Nacional correspondiente al mes m-2.
IPPo Índice de Precios al Productor Total Nacional correspondiente al mes de diciembre de 2010.
Artículo 4. Modificar el numeral 4.2.4 del Anexo 4 de la Resolución CREG 172 de 2011, el cual quedará así:
4.2.4 Cálculo de la energía de salida para cada Nivel de Tensión
La energía de salida en cada uno de los Niveles de Tensión del sistema del OR j, se calcula como:

Donde:
Esj,n,s Energía de salida del sistema del OR j en el Nivel de Tensión n, durante los periodos de evaluación s y s-1, expresada en kWh.
EsVFCj,n,s Ventas de energía en las fronteras comerciales del Nivel de Tensión n, del mercado de comercialización servido por el OR j, durante los periodos de evaluación s y s-1. Corresponde a la suma de las medidas en las fronteras comerciales registradas en el SIC para el mercado de comercialización servido por el OR j, sin referir al STN, para la venta de energía a usuarios no regulados de todos los comercializadores del mercado y de las de usuarios regulados de los comercializadores distintos al incumbente. Incluye la energía entregada a los auxiliares de las subestaciones que no están conectadas directamente al STN.
EsVSFCj,n,s Ventas de energía en el sistema del OR j, en el Nivel de Tensión n, durante los periodos de evaluación s y s-1. Es el consumo de energía eléctrica en kWh, de usuarios regulados del comercializador incumbente, que es facturado y reportado al SUI. Este valor incluye la energía entregada a los auxiliares de las subestaciones que no están conectadas directamente al STN.
FsSTNj,n,s Flujo de energía de salida en el Nivel de Tensión n desde los puntos de conexión del OR j al STN, durante los periodos de evaluación s y s-1, expresada en kWh. Corresponde a la suma de las energías medidas en las fronteras comerciales, sin referir al STN, registradas en el SIC para los puntos de conexión del OR j al STN.
FsORj,n,s Flujo de energía de salida desde el sistema del OR j en el Nivel de Tensión n, a otros STR y/o SDL, durante los periodos de evaluación s y s-1, expresada en kWh. Corresponde a la suma de las energías medidas en las fronteras comerciales entre OR, sin referir al STN, registradas en el SIC.
n Corresponde al Nivel de Tensión para el cual se determina la energía de salida. Toma los valores de 1, 2, 3 y 4.
En el cálculo de la variable no se debe tener en cuenta la energía recuperada.
Artículo 5. Modificar el numeral 4.3.1. del Anexo 4 de la Resolución CREG 172 de 2011, el cual quedará así:
4.3.1 Pérdidas totales de energía de la senda
Las pérdidas totales de energía asociadas a la senda aprobada a un OR j son:
Donde:
PTSi,j,m Pérdidas totales de energía de la senda, en el mercado de comercialización i, servido por el OR j, para el mes m del periodo de evaluación s, expresadas en kWh.
IPTSj,s-1 Índice de pérdidas totales de energía de la senda, en el mercado de comercialización i, servido por el OR j, aprobado para el periodo de evaluación s-1.
Eej,n,m Energía de entrada al sistema del OR j en el Nivel de Tensión n durante el mes m, expresada en kWh. Calculada como se establece en el numeral 4.3.3.
FeNS,j,n,m Flujo de energía desde Niveles de Tensión superiores en el sistema del OR j, al Nivel de Tensión n, durante el mes m, expresada en kWh. Calculada como se establece en el numeral 4.3.6
FsORj,n,m Flujo de energía de salida desde el sistema del OR j en el Nivel de Tensión n, a otros STR y/o SDL, durante el mes m, expresado en kWh. Corresponde a la suma de las energías medidas en las fronteras comerciales entre OR, sin referir al STN, registradas en el ASIC.
Para los OR a los que se les apruebe el índice IPTj,0 sin considerar las ventas de energía del nivel de tensión 4, según lo establecido en el numeral 4.1.1 del presente Anexo, en el cálculo de la variable PTSi,j,m no se incluirán las ventas en el nivel de tensión 4 en la energía de salida y de la energía de entrada se debe descontar las ventas de energía de nivel de tensión 4 afectadas por las pérdidas reconocidas.
Artículo 6. Modificar el Artículo 7 de la Resolución CREG 172 de 2011, el cual quedará así:
Artículo 7. Plazo para la presentación de los Planes de Reducción de Pérdidas no Técnicas. Los OR con pérdidas de nivel de tensión 1 superiores a las vigentes reconocidas, deben presentar a la CREG su Plan a más tardar el 27 de abril de 2012.
Parágrafo. En caso de que el OR no presente un Plan en el plazo determinado, la variable CPROGj,m será igual a cero y la variable Pj,1 se determinará según lo establecido en el numeral 5.2.2 del ANEXO 5 de la presente resolución.
Artículo 7. La presente Resolución rige a partir de su publicación en el Diario Oficial.
Dado en Bogotá, D. C. 16 MAR. 2012
TOMÁS GONZÁLEZ ESTRADA | GERMÁN CASTRO FERREIRA |
Viceministro de Energía | Director Ejecutivo |
Delegado del Ministro de Minas y Energía
Presidente |  |
|
Doble click sobre el archivo anexo para bajarlo(Resoluciones CREG) |
Doble click sobre el archivo anexo para bajarlo(Documento CREG) |
|