| Publicación Diario Oficial No.: | 48.926, el día:27/September/2013 |
| Publicada en la WEB CREG el: | 26/September/2013 |
| República de Colombia Ministerio de Minas y Energía
COMISIÓN DE REGULACIÓN DE ENERGÍA Y GAS
RESOLUCIÓN No. 111 DE 2013
( 30 AGO. 2013 )
Por la cual se ordena hacer público el proyecto de resolución de carácter general, Por la cual se modifican las resoluciones CREG 138 de 2012 y 085 de 2007, en relación con la definición Mg del proceso aleatorio que se realiza para las pruebas de disponibilidad de plantas o unidades de generación.
En ejercicio de sus atribuciones constitucionales y legales, en especial las conferidas por las Leyes 142 y 143 de 1994, y en desarrollo de los Decretos 1524 y 2253 de 1994.
Conforme a lo dispuesto por el artículo 8 del Código de Procedimiento Administrativo y de lo Contencioso administrativo y el artículo 9 del Decreto 2696 de 2004, la Comisión debe hacer público en su página web todos los proyectos de resolución de carácter general que pretenda adoptar.
La Comisión de Regulación de Energía y Gas, en su sesión No. 570 del 30 de agosto de 2013, aprobó hacer público el proyecto de resolución Por la cual se modifican las resoluciones CREG 138 de 2012 y 085 de 2007, en relación con la definición Mg del proceso aleatorio que se realiza para las pruebas de disponibilidad de plantas o unidades de generación.
R E S U E L V E:
ARTÍCULO 1. Hágase público el siguiente proyecto de resolución Por la cual se modifican las resoluciones CREG 138 de 2012 y 085 de 2007, en relación con la definición Mg del proceso aleatorio que se realiza para las pruebas de disponibilidad de plantas o unidades de generación.
ARTÍCULO 2. Se invita a los agentes, a los usuarios, a las Autoridades Locales Municipales y Departamentales competentes, a la Superintendencia de Servicios Públicos Domiciliarios y a la Superintendencia de Industria y Comercio, para que remitan sus observaciones o sugerencias sobre la propuesta, dentro de los cinco (5) días hábiles siguientes a la publicación de la presente Resolución en la página Web de la Comisión de Regulación de Energía y Gas.
ARTÍCULO 3. Infórmese en la página web la identificación de la dependencia administrativa y de las personas a quienes se podrá solicitar información sobre el proyecto y hacer llegar las observaciones, reparos o sugerencias, y los demás aspectos previstos en el artículo 10 del Decreto 2696 de 2004.
ARTÍCULO 4. La presente Resolución no deroga disposiciones vigentes por tratarse de un acto de trámite.
Dada en Bogotá. D. C., a los 30 AGO. 2013
ORLANDO CABRALES SEGOVIA
Viceministro de Energía
Delegado del Ministro de Minas y Energía
Presidente | GERMÁN CASTRO FERREIRA Director Ejecutivo |
 |  |
|
|  |
PROYECTO DE RESOLUCIÓN
Por la cual se modifican las resoluciones CREG 138 de 2012 y 085 de 2007, en relación con la definición Mg del proceso aleatorio que se realiza para las pruebas de disponibilidad de plantas o unidades de generación.
LA COMISIÓN DE REGULACIÓN DE ENERGÍA Y GAS
En ejercicio de sus atribuciones constitucionales y legales, en especial las conferidas por las Leyes 142 y 143 de 1994, y en desarrollo de los Decretos 1524 y 2253 de 1994.
C O N S I D E R A N D O Q U E:
La Ley 143 de 1994, artículo 20, definió como objetivo fundamental de la Regulación en el sector eléctrico, asegurar una adecuada prestación del servicio mediante el aprovechamiento eficiente de los diferentes recursos energéticos, en beneficio del usuario en términos de calidad, oportunidad y costo del servicio.
Para el cumplimiento del objetivo señalado, la Ley 143 de 1994, artículo 23, le atribuyó a la Comisión de Regulación de Energía y Gas, entre otras, las funciones de crear las condiciones para asegurar la disponibilidad de una oferta energética eficiente capaz de abastecer la demanda bajo criterios sociales, económicos, ambientales y de viabilidad financiera, promover y preservar la competencia, para lo cual, la oferta eficiente, en el sector eléctrico, debe tener en cuenta la capacidad de generación de respaldo; valorar la capacidad de generación de respaldo de la oferta eficiente; definir y hacer operativos los criterios técnicos de calidad, confiabilidad y seguridad del servicio de energía; y determinar las condiciones para la liberación gradual del mercado hacia la libre competencia.
De acuerdo con lo establecido en el literal c) del artículo 74.1 de la ley 142 de 1994 y el literal i) del artículo 23 de la Ley 143 del mismo año, le corresponde a la CREG establecer el Reglamento de Operación, para regular el funcionamiento del Mercado Mayorista.
Mediante resolución CREG 071 de 2006 la Comisión adoptó la metodología para la remuneración del Cargo por Confiabilidad en el Mercado Mayorista de Energía.
En la Resolución CREG 085 de 2007 se modificó la Resolución CREG 071 de 2006 y se establecieron pruebas de disponibilidad para las plantas o unidades de generación.
Con la Resolución CREG 140 de 2009 la CREG se adoptaron normas sobre las variaciones a la disponibilidad declarada por los agentes generadores.
En la Resolución CREG 138 de 2012 se modificaron las normas de las pruebas de disponibilidad contenidas en la Resolución CREG 085 de 2007 y se dictaron otras disposiciones.
XM S.A. E.S.P mediante carta con radicado CREG E-2013-003686 y Empresas Públicas de Medellín E.S.P mediante carta con radicado CREG E-2013-001980, solicitaron a la CREG emitir concepto y ampliar el alcance de las variables definidas en el Artículo 1o de la Resolución CREG 138 de 2012. Siendo estas solicitudes respondidas en los radicados CREG S-2013-002217 y S-2013-001423 respectivamente.
Analizadas las solicitudes anteriores, la CREG considera necesario precisar las definiciones de las variables del Artículo 1º de la Resolución CREG 138 de 2012.
R E S U E L V E:
ARTÍCULO 1. Modifíquese el artículo 15 de la Resolución CREG 085 de 2007 modificado por el artículo 1o de la Resolución CREG 138 de 2012: El artículo 15 de la Resolución CREG 085 de 2007 quedará así:
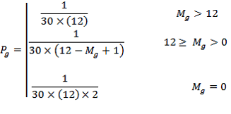
Artículo 1o. PRUEBAS DE DISPONIBILIDAD DE PLANTAS O UNIDADES DE GENERACIÓN. Todos los días, y para cada planta o unidad de generación declarada disponible y que no salga en mérito para generar en el despacho pre-ideal, el CND ejecutará un proceso aleatorio que determinará si la planta es o no llamada a prueba de disponibilidad para el día respectivo. La probabilidad de que la planta sea llamada a prueba se calculará conforme a la siguiente fórmula:
Donde:
El CND al momento de informar el Despacho Económico, informará a los agentes las plantas o unidades de generación elegidas para la realización de las pruebas de disponibilidad, y publicará los resultados una vez estas hayan concluido.
Parágrafo 1. Cuando la Planta o Unidad de generación seleccionada para la realización de la prueba se encuentre aislada del SIN, o cuando por requerimientos de seguridad y confiabilidad del SIN, o por aplicación del Decreto 880 de 2007, no pueda ser despachada en ningún período, el CND cancelará la prueba.
Parágrafo 2. Esta prueba solamente aplica para las plantas con Obligaciones de Energía Firme en el día respectivo.
Parágrafo 3. Esta prueba no se podrá realizar:
a) Desde tres (3) días antes de realización de la Prueba de Calentamiento definida por la regulación y hasta la finalización de la misma.
b) Tres (3) días antes o menos de la finalización de las Obligaciones
ARTÍCULO 2. VIGENCIA Y DEROGATORIAS. La presente resolución rige a partir de su publicación en el Diario Oficial y modifica el Artículo 1o de la Resolución CREG 138 de 2012 y todas las disposiciones que le sean contrarias.
PUBLÍQUESE Y CÚMPLASE
Firma del proyecto,
ORLANDO CABRALES SEGOVIA
Viceministro de Energía
Delegado del Ministro de Minas y Energía
Presidente | GERMÁN CASTRO FERREIRA Director Ejecutivo |
|
Doble click sobre el archivo anexo para bajarlo(Resoluciones CREG) |
Doble click sobre el archivo anexo para bajarlo(Documento CREG) |
|