| Publicación Diario Oficial No.: | 50.433, el día:30/November/2017 |
| Publicada en la WEB CREG el: | 25/November/2017 |
|
Ministerio de Minas y Energía COMISIÓN DE REGULACIÓN DE ENERGÍA Y GAS
RESOLUCIÓN No. 172 DE 2017
( 24 NOV. 2017 )
Por la cual se resuelve la aplicación del parágrafo del artículo 3 de la Resolución CREG 053 de 2011 ateniendo la declaratoria de racionamiento programado expedida por el Ministerio de Minas y Energía mediante la Resolución 4 1291 del 23 de noviembre de 2017
LA COMISIÓN DE REGULACIÓN DE ENERGÍA Y GAS
En ejercicio de las atribuciones constitucionales y legales, en especial las conferidas por las leyes 142 de 1994 y 1151 de 2007, y en desarrollo de los Decretos 1523 y 2253 de 1994 y 1260 de 2013, 270 de 2017 y,
C O N S I D E R A N D O Q U E:
El artículo 14.28 de la Ley 142 de 1994 definió el servicio público domiciliario de gas combustible como el conjunto de actividades ordenadas a la distribución de gas combustible y estableció la actividad de comercialización como actividad complementaria del servicio público domiciliario de gas combustible.
De acuerdo con lo estipulado en el artículo 74.1 de la Ley 142 de 1994, es función de la CREG "regular el ejercicio de las actividades de los sectores de energía y gas combustible para asegurar la disponibilidad de una oferta energética eficiente, propiciar la competencia en el sector de minas y energía y proponer la adopción de las medidas necesarias para impedir abusos de posición dominante y buscar la liberación gradual de los mercados hacia la libre competencia".
Según lo previsto en los artículos 1, 2 y 4 de la Ley 142 de 1994, la distribución de gas combustible y sus actividades complementarias constituyen servicios públicos domiciliarios esenciales y el Estado intervendrá en los mismos a fin de, entre otros, garantizar la calidad del bien y su disposición final para asegurar el mejoramiento de la calidad de vida de los usuarios, así como su prestación continua, ininterrumpida y eficiente.
Dentro de las medidas regulatorias expedidas, a efectos de llevar a cabo la comercialización mayorista de GLP, además de las previstas en materia tarifaria, se encuentran aquellas relacionadas con los mecanismos para la asignación del producto y los parámetros de conducta de los agentes y su posición en el mercado en esta actividad. En este sentido la CREG expidió la Resolución CREG 053 de 2011, reglamento de comercialización mayorista de GLP, mediante el cual se definieron, entre otros: i) los requisitos de los comercializadores mayoristas y de las obligaciones de vendedores y compradores; ii) obligaciones generales, en relación con la entrega, manejo, oferta, venta, continuidad en el suministro y manejo por parte de los comercializadores mayoristas y las obligaciones por parte de los compradores de GLP; iii) contratos de suministro en firme de GLP, eventos de incumplimiento y eventos de compensación, y; iv) los mecanismos para la compra y venta del producto al por mayor y el acceso al producto por parte de los diferentes agentes de la cadena. En el mencionado reglamento se estableció que el acceso al producto que se encuentra con precio regulado se realizaría mediante ofertas públicas de cantidades, OPC, llevadas a cabo por el respectivo comercializador mayorista.
En relación con lo anterior, como parte de las medidas regulatorias adoptadas por la CREG, en el marco de la comercialización mayorista del producto, los resultados de la aplicación de la OPC como mecanismo para la compra y venta del producto al por mayor y el acceso al producto por parte de los diferentes agentes de la cadena, de acuerdo con lo previsto en el reglamento de comercialización mayorista de GLP, Resolución CREG 053 de 2011 1Esta Comisión ha precisado que el entendimiento de la regulación, en este caso para la comercialización mayorista de GLP, se debe hacer a partir de un ejercicio de hermenéutica regulatoria, entendido este como la interpretación en la aplicación y alcance de dicha normativa se debe hacer: i) De manera armónica e integral teniendo en cuenta la totalidad de las disposiciones previstas en la regulación y no de manera aislada. Lo anterior, debido a que la interpretación de la regulación debe hacerse en el marco de un principio de unidad regulatoria, como un sistema con sentido lógico, por tanto, que sus disposiciones no sean abordadas a partir de una visión puramente individualista de sus textos, evitando interpretaciones aisladas o contradictorias de las disposiciones que la integran; ii) considerando que las facultades regulatorias de la Comisión se sujetan a los principios constitucionales y legales a los que se somete la prestación del servicio público domiciliario de gas combustible . Lo anterior, bajo la consideración de que su ejercicio debe entenderse como un mecanismo de intervención del Estado en la economía a fin de garantizar la prestación eficiente de los servicios públicos domiciliarios de energía eléctrica y gas combustible, así como el buen funcionamiento del mercado, entre otros; iii) considerando los propósitos y objetivos previstos por la regulación en su integridad, estableciendo su verdadero alcance y contenido, lo cual, es propio de una interpretación finalista y sistemática de la misma. , permiten evidenciar y conocer de manera adecuada, así como en un mayor grado de realidad, el resultado del balance entre oferta y demanda. Esto, toda vez que mediante dicha regulación se busca dar igual oportunidad a todos los agentes interesados en adquirir el producto nacional regulado para atender su demanda, sea esta residencial, comercial o industrial. De acuerdo con la aplicación de este mecanismo, se vienen realizando OPC desde del 1º de octubre de 2011. La OPC vigente corresponde a la prevista para el período de 1º de julio de 2017 a 31 de diciembre de 2017.
Dentro de los fines y objetivos perseguidos por la regulación en materia de comercialización mayorista a través de dicho reglamento, se encuentran los previstos en el artículo 3 de la Resolución CREG 053 de 2011, cuando establece que el acceso al producto no se debe convertir en una barrera para la competencia en la distribución y comercialización minorista de GLP o en una ventaja para aumentar la posición dominante de algún agente. Se busca una asignación del producto: i) justa, en igualdad de oportunidades de compra para todos los interesados; ii) transparente, para hacer claros los resultados de la asignación; iii) eficiente, reflejando la disponibilidad a pagar por parte de la demanda.
En este sentido, el diseño de este mecanismo para asignar el producto con precio regulado, mediante la aplicación del reglamento de comercialización mayorista de GLP, se hizo a fin de garantizar en dicha asignación condiciones transparentes y no discriminatorias, poder contar permanentemente con una adecuada estimación del balance entre oferta y demanda, así como dar la posibilidad a los compradores de contar con una imagen integrada de toda la oferta disponible para tener la posibilidad de hacer ofertas de compra con información completa.
El artículo 365 de la Constitución Política establece que los servicios públicos son inherentes a la finalidad social del Estado y es deber de este asegurar su prestación eficiente a todos los habitantes del territorio nacional.
Mediante la Ley 142 de 1994 se establece la normativa aplicable a la prestación del servicio público domiciliario de gas combustible y sus actividades complementarias constituyéndose en servicios públicos esenciales. Dentro de este servicio público domiciliario se encuentra el gas licuado del petróleo.
Le corresponde a la Nación y en este caso al Gobierno Nacional en el marco de la Ley 142 de 1994 y con base en los decretos 381 de 2012 y 1073 de 2015: i) en forma privativa planificar, asignar y gestionar el uso del gas combustible en cuanto sea económica y técnicamente posible; ii) adoptar los planes de expansión de la cobertura y abastecimiento de gas combustible; iii) adelantar las gestiones necesarias para dar continuidad al abastecimiento de hidrocarburos y combustibles, incluyendo gas natural, combustibles derivados y biocombustibles;
Mediante el Decreto 2251 de 2015, “Por el cual se reglamenta el artículo 210 de la Ley 1753 de 2015 y se adiciona el Decreto Único Reglamentario del Sector Administrativo de Minas y Energía, 1073 de 2015, con medidas para garantizar el abastecimiento de gas licuado de petróleo a los sectores prioritarios en el territorio nacional", se establecieron lineamientos en relación con el abastecimiento de GLP.
Entre otros aspectos, el Decreto 2251 de 2015 con el fin de gestionar y priorizar la asignación del GLP en períodos de escasez, facultó mediante el artículo 2.2.2.7.1 al Ministerio de Minas y Energía para declarar el inicio de un período de racionamiento programado cuando se prevea que en el futuro la oferta del producto va a ser inferior a la demanda.
La Comisión expidió la Resolución CREG 171 de 2017 “Por la cual se incorpora un parágrafo al artículo 3 de la Resolución CREG 053 de 2011” en la cual se resolvió lo siguiente:
“Artículo 1. Incorporar al artículo 3 de la Resolución CREG 053 de 2011 el siguiente parágrafo:
ARTÍCULO 3. OBJETIVO DEL REGLAMENTO. (…)
Parágrafo. En el evento en que el Gobierno Nacional haya adelantado gestiones necesarias para dar continuidad al abastecimiento de GLP en los términos del Decreto 381 de 2012, generándose cantidades adicionales en las fuentes de precio regulado, las cuales sean objeto de una declaratoria de racionamiento programado por parte del Ministerio de Minas y Energía en los términos del Decreto 2251 de 2015 con el fin de garantizar la atención prioritaria de la demanda de Gas Licuado de Petróleo (GLP) para el servicio público domiciliario, ante la existencia de un evento específico de desabastecimiento de GLP de naturaleza urgente y extraordinaria, dicha circunstancia será informada a la CREG a efectos de evaluar si dichas cantidades se deben exceptuar del mecanismo de comercialización previsto en los artículos 11, 12, 13 y 14 de la Resolución CREG 053 de 2011. Lo anterior, en la medida que en el acto administrativo de declaratoria de racionamiento programado se exponga que esta medida está destinada a la priorización y asignación exclusiva del producto para la atención de un déficit de demanda específico para el servicio público domiciliario en alguno (s) departamento (s) del territorio nacional.
Así mismo y ateniendo estos eventos, la Comisión evaluará que las cantidades priorizadas que sean comercializadas, no se consideren dentro de la capacidad disponible de compra de los distribuidores que cuenten con ventas reportadas en el SUI en los mercados que sean objeto de la medida de racionamiento programado, en los términos de la Resolución CREG 063 de 2016.
El acto administrativo que exceptúe la aplicación del mecanismo de comercialización previsto en los artículos 11, 12, 13 y 14 de la Resolución CREG 053 de 2011, perderá su fuerza ejecutoria en los términos del artículo 87 de la Ley 1437 de 2011, una vez estas cantidades sean comercializadas y/o asignadas.”
El Ministerio de Minas y Energía expidió la Resolución 4 1291 del 23 de noviembre de 2017 mediante la cual resolvió lo siguiente:
“Artículo 1. Racionamiento Programado de GLP. Adicionar la Resolución 4 1119 de 2016, en el sentido de incluir dentro de la declaratoria de razonamiento programado de GLP al departamento de Arauca.
Artículo 2. Prioridad en el abastecimiento de GLP. Priorizar la atención de la demanda de Gas Licuado de Petróleo, GLP, en los departamentos de Arauca, Chocó, Nariño y Putumayo, con las cantidades increméntales de GLP a que se refiere Ecopetrol S.A., señaladas en la parte motiva de esta Resolución.
Parágrafo. El Ministerio de Minas y Energía determinará mediante acto administrativo la fecha de cese del racionamiento declarado en la presente Resolución.
Artículo 3. Asignación de GLP para la atención de la demanda de los Departamentos de Arauca, Chocó, Nariño y Putumayo. Como consecuencia de la declaratoria de racionamiento programado de GLP objeto del presente acto administrativo, los comercializadores mayoristas de fuentes con precio regulado ajustarán o suscribirán contratos de suministro de GLP en los términos del artículo 15 de la Resolución CREG 053 de 2011 o las normas que la modifiquen o sustituyan, con los agentes autorizados y de acuerdo con las cantidades disponibles por fuente que se relacionan a continuación, para la atención del déficit en la demanda de los usuarios residenciales, pequeños usuarios comerciales y pequeños usuarios industriales en los departamentos de Arauca, Chocó, Nariño y Putumayo.
Fuente i | Cantidades disponibles (kg) |
| Barrancabermeja | 1.050.000 |
| Cusiana | 252.000 |
| Total | 1.302.000 |
Parágrafo: La Comisión de Regulación de Energía y Gas, CREG, definirá los mecanismos de comercialización y las reglas de asignación para las cantidades adicionales del mes de noviembre de 2017.
Artículo 4. Destinación exclusiva del GLP para la atención prioritaria de la demanda. Las empresas que tengan a su cargo la distribución y comercialización de GLP en los departamentos de Arauca, Nariño, Putumayo y Chocó, deberán distribuir el GLP objeto de la presente medida de manera exclusiva para atender la demanda en las mencionadas entidades territoriales, so pena de incurrir en los procesos de investigación y sanción ante las autoridades competentes.
Artículo 5. Comunicación. Por la Dirección de Hidrocarburos, comuníquese el contenido del presente acto administrativo a Ecopetrol S.A y a la CREG, a efectos de tomar las medidas correspondientes de acuerdo con sus competencias.”
Dentro de las consideraciones expuestas en dicho acto administrativo se manifestó lo siguiente:
“Que mediante el Decreto 2251 de 2015 ‘’Por el cual se reglamenta el artículo 210 de la Ley 1753 de 2015 y se adiciona el Decreto Único Reglamentario del Sector Administrativo de Minas y Energía, 1073 de 2015, con medidas para garantizar el abastecimiento de gas licuado de petróleo a los sectores prioritarios en el territorio nacional’, se establecieron lineamientos en relación con el abastecimiento de GLP.
Que con el fin de gestionar y priorizar la asignación del GLP en periodos de escasez, el artículo 2.2.2.7.1 del Decreto 1073 de 2015 facultó al Ministerio de Minas y Energía para declarar el inicio de un periodo de Racionamiento Programado cuando se prevea que en el futuro la oferta del producto va a ser inferior a la demanda.
Que de conformidad con lo anterior, mediante Resolución 4 1119 de 2016, adicionada por la Resolución 4 1004 de 2017, el Ministerio de Minas y Energía declaró el inicio de un racionamiento programado de gas licuado del petróleo, GLP, para la atención prioritaria de la demanda en los Departamentos del Archipiélago de San Andrés, Providencia y Santa Catalina, Valle del Cauca, Nariño, Cauca, Chocó, Putumayo y Cagueta.
(…)
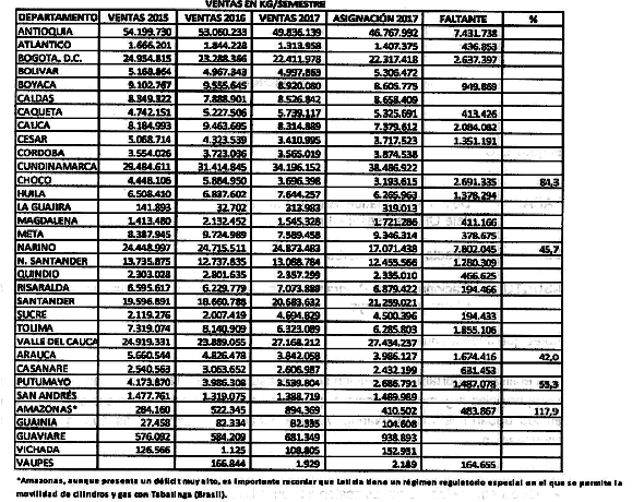
Que mediante Memorando 2017077923 del 21 de noviembre de 2017 la Dirección de Hidrocarburos señaló que: ‘...Con el fin de determinar en forma clara y confiable el faltante temporal, se procedió a realizar un balance para cada uno de los departamentos del territorio nacional entre las ventas históricas reportadas al SUI del año 2015, 2016 y hasta junio de 2017 y el producto asignado para el segundo semestre de 2017... una vez obtenido el diferencial por semestre se establece el porcentaje individual por departamento, con el fin de lograr priorizar alguno (sic) de estos bajo un mismo criterio, determinando en tal sentido los de mayor porcentaje para ser priorizado...’.”
En relación con el memorando 2017077923 del 21 de noviembre de 2017 de la Dirección de Hidrocarburos del Ministerio de Hidrocarburos expuso lo siguiente:
“Con el fin de soportar la Resolución sobre el asunto de la referencia, a continuación, encontrará los principales argumentos técnicos que llevan a la declaración del racionamiento programado en los departamentos de Nariño, Arauca, Chocó y Putumayo, las cuales se enumeran a continuación:
> Que luego de las reuniones sostenidas en la Dirección de Hidrocarburos durante los días 14, 15 y 16 de noviembre de 2017 con ECOPETROL S.A., CREG, Agremiaciones (Gasnova y Agremgas), empresas distribuidoras y comercializadoras de gas licuado del petróleo - GLP, se analizó en detalle las restricciones en el suministro que se presentarán en algunas regiones del país en lo que resta del año 2017.
> Con el fin de determinar en forma clara y confiable el faltante temporal, se procedió a realizar un balance para cada uno de los departamentos del territorio nacional entre las ventas históricas reportadas al SUI del año 2015, 2016 y hasta junio de 2017 y el producto asignado para el segundo semestre de 2017. (dentro del producto asignado se contabilizan la OPC ordinaria, las OPC extraordinarias y los contratos de otros campos con precio libre).
> Una vez obtenido el diferencial por semestre, se establece el porcentaje individual por departamento, con el fin de lograr priorizar alguno de estos bajo un mismo criterio, determinándose en tal sentido los de mayor porcentaje para ser priorizado.

-- Con base en lo anterior, se encuentra que a efectos de garantizar el abastecimiento de GLP en los mercados pertenecientes a los departamentos de Nariño, Arauca, Chocó y Putumayo, resulta necesario priorizar la atención de los usuarios residenciales, pequeños usuarios comerciales y pequeños usuarios industriales en los departamentos en mención.”
De acuerdo con lo anterior, esta Comisión, una vez analizado lo expuesto por el Ministerio de Minas y Energía en la Resolución 4 1291 del 23 de noviembre 2017, establece que estos eventos se ajustan dentro de los presupuestos establecidos en el parágrafo del artículo 3 de la Resolución CREG 053 de 2011, es decir, que las cantidades adicionales de fuentes de precio regulado objeto de la declaratoria de racionamiento programado por parte del Ministerio de Minas y Energía están destinadas a la priorización y asignación exclusiva para la atención de un déficit de demanda específico para el servicio público domiciliario en los departamentos de Nariño, Arauca, Putumayo y Chocó, ante la existencia de un evento específico de desabastecimiento de GLP de naturaleza urgente y extraordinaria.
Así mismo, atendiendo los eventos de desabastecimiento planteados por el Ministerio de Minas y Energía y teniendo en cuenta los departamentos del país que pueden quedar desatendidos, encuentra esta Comisión: i) La existencia de un déficit específico, el cual no puede ser atendido en las condiciones regulatorias y de mercado actuales, ateniendo el balance oferta-demanda y de suministro actual; ii) Que en relación con esto último, los departamentos objeto de la medida de racionamiento programado corresponden a mercados no desafiables por parte otros distribuidores; iii) que las condiciones logísticas actuales con las que cuentan los agentes para la atención de los usuarios, considerando las cantidades de GLP que deben ser entregadas en este mismo periodo son limitadas. Dichas circunstancias conllevan a que la asignación de este producto deba realizarse de manera específica y expedita para que el mismo pueda ser destinado a la prestación del servicio público domiciliario de manera oportuna en dichos mercados a efectos de que no se vea afectada la continuidad en la prestación del servicio.
Así mismo, encuentra la Comisión que la excepción a la aplicación de los artículos 11, 12, 13 y 14 de la Resolución CREG 053 de 2011 para estas cantidades adicionales no afecta los fines y objetivos perseguidos en la regulación en relación con el mecanismo de OPC, toda vez nos encontramos ante una situación de naturaleza excepcional, ante eventos de desabastecimiento de naturaleza urgente y extraordinaria, en la medida que en el acto administrativo de declaratoria de racionamiento programado está destinado a la priorización y asignación exclusiva del producto para la atención de un déficit de demanda específico para el servicio público domiciliario para los departamentos de Nariño, Chocó, Arauca y Putumayo.
Finalmente, encuentra esta Comisión que no se debe dar aplicación a lo dispuesto en el inciso segundo del parágrafo del artículo 3 de la Resolución CREG 053 de 2011, toda vez que la capacidad de compra departamental es suficiente para la atención de estos departamentos. Sin embargo, ateniendo la excepción en la aplicación del artículo 14 de la Resolución CREG 053 de 2011, modificado por el artículo 11 de la Resolución CREG 063 de 2016, la suma de las asignaciones realizadas a cada empresa mediante el mecanismo definido por la Comisión y la suma de las cantidades totales asignadas por Ecopetrol S. A. a la empresa para el mes de noviembre de 2017, en virtud de la OPC para el semestre comprendido entre julio y diciembre de 2017 así como las cantidades contratadas en fuentes de precio libre para el mismo mes, no deberán superar la capacidad de compra de la que trata la circular CREG 035 del 2017
Ahora, dentro de las consideraciones de la Resolución CREG 171 de 2017 la CREG expuso lo siguiente:
“(…) entiende esta Comisión que de darse los presupuestos establecidos en el parágrafo del artículo 3 de la Resolución CREG 053 de 2011 y una vez expedido el acto administrativo mediante el cual las cantidades adicionales objeto de la declaratoria de racionamiento programado se exceptúan de la aplicación del mecanismo de comercialización previsto en los artículos 11, 12, 13 y 14 de la Resolución CREG 053 de 2011, le corresponde al Ministerio de Minas y Energía en uso de sus facultades legales, en especial las conferidas por los artículos los artículos 2°, 3° y 8° de la Ley 142 de 1994, el artículo 210 de la Ley 1753 de 2015, así como con base decretos 381 de 2012, 1073 de 2015, 2271 de 2015, gestionar estas cantidades, estableciendo su asignación y priorizando el orden de atención de este producto en la región o regiones afectadas con déficit de producto, como parte de la continuidad en el abastecimiento de hidrocarburos y combustibles.”
Sin perjuicio de lo anterior, el parágrafo del artículo 3 de la Resolución 4 1291 del 23 de noviembre de 2017 del Ministerio de Minas y Energía dispuso lo siguiente:
“Parágrafo: La Comisión de Regulación de Energía y Gas, CREG, definirá los mecanismos de comercialización y las reglas de asignación para las cantidades adicionales del mes de noviembre de 2017.”
Ateniendo lo anterior esta Comisión ha de dar cumplimiento a lo ordenado por el Ministerio de Minas y Energía en dicho acto administrativo, es decir, ha de dar cumplimiento a dicho deber legal. En relación con lo anterior la jurisprudencia constitucional ha expuesto lo siguiente:
“En cumplimiento de la función presidencial señalada en el primer aparte del artículo 370 superior, corresponde a dichas Comisiones regular su sector, con sujeción a lo prescrito en la Ley, previa delegación del Presidente de la República y en los términos señalados en el artículo 211 de la Constitución.
Es el Legislador quien tiene la competencia para indicar cuales funciones presidenciales pueden ser delegadas, en razón a que no existe una enunciación taxativa de los funcionarios y organismos en los que puede recaer la delegación.
Las Comisiones de Regulación están facultadas para expedir actos administrativos, los cuales podrán ser revocados o reformados por el Presidente de la República; contra dichos actos proceden los recursos previstos en la ley previstos para los actos administrativos; sin importar que dichos actos sean de carácter general o particular, deben supeditarse a todas las formalidades previstas para tal efecto en el Código Contencioso Administrativo; sobre estos actos puede ejercerse los pertinentes controles de carácter administrativo y judicial; y estos actos o decisiones están en un todo sujetos a la ley, a los reglamentos que expida el Presidente y a las políticas que fije el Gobierno Nacional en la respectiva área. (…)
Las Comisiones de Regulación se encuentran adscritas a un Ministerio y por tanto están subordinadas a las orientaciones y políticas del correspondiente Ministro, quien funge como jefe de la administración de sus respectivas dependencias. Ello sin olvidar que es el Presidente de la República la suprema autoridad administrativa.” (Resaltado fuera de texto)
Finalmente, de acuerdo con lo informado por el Ministerio de Minas y Energía en la Resolución 4 1291 del 23 de noviembre de 2017 y los eventos que la motivan, con base en lo establecido en el artículo 2.2.30.4 numeral 1.2 del Decreto 1074 de 2015, reglamentario de la Ley 1340 de 2009, la presente medida regulatoria recae en la excepción al deber de informar a la Superintendencia de Industria y Comercio con respecto a la evaluación sobre la incidencia sobre la libre competencia de los mercados, toda vez que la misma se expide con el propósito de garantizar la seguridad en el suministro de un bien o servicio público esencial, de naturaleza domiciliaria.
La Comisión de Regulación de Energía y Gas aprobó el presente acto administrativo en la sesión No. 819 del 24 de noviembre de 2017. El análisis que soporta la presente resolución se encuentra en el documento soporte 100 de 2017.
R E S U E L V E:
Artículo 1. Ateniendo lo dispuesto en parágrafo del artículo 3 de la Resolución CREG 053 de 2011, exceptuar del mecanismo de comercialización previsto en los artículos 11, 12, 13 y 14 de la Resolución CREG 053 de 2011, las cantidades adicionales de las fuentes de precio regulado objeto de la declaratoria de racionamiento programado por parte del Ministerio de Minas y Energía de la Resolución 4 1291 del 23 de noviembre de 2017, en la medida que están destinadas a la atención de un déficit de demanda específico para el servicio público domiciliario en los departamentos de Nariño, Arauca, Putumayo y Chocó, ante la existencia de un evento específico de desabastecimiento de GLP de naturaleza urgente y extraordinaria.
Artículo 2. En cumplimiento de lo dispuesto en el parágrafo del artículo 3 de la Resolución 4 1291 del 23 de noviembre de 2017 del Ministerio de Minas y Energía, las cantidades adicionales exceptuadas deberán comercializarse y asignarse ateniendo las siguientes disposiciones:
Participantes: Podrán participar como compradores para la asignación de estas cantidades los siguientes agentes:
a. Los Distribuidores que cuentan con ventas reportadas en el SUI durante el segundo semestre de 2017 en los departamentos de Nariño, Putumayo, Arauca y Chocó.
b. Los Usuarios No Regulados de los departamentos de Nariño, Putumayo, Arauca y Chocó a quienes el Comercializador Mayorista haya identificado como tales en cumplimiento de las obligaciones que se establecen en la regulación y que voluntariamente decidan acogerse a la presente resolución.
c. Otros Comercializadores Mayoristas que hayan sido expresamente autorizados, en los contratos de suministro, por distribuidores que cuentan con ventas reportadas en el SUI durante el segundo semestre de 2017 en los departamentos de Nariño, Putumayo, Arauca y Chocó y/o por Usuarios No Regulados en estos mismos Departamentos para comprar el producto en el presente proceso de asignación a fin de atender su demanda y el vendedor haya aceptado esa intermediación. En estos casos, el Comercializador Mayorista que está realizando el presente mecanismo de comercialización deberá ofrecer un precio inferior al máximo regulado de tal manera que se reconozcan las ventajas obtenidas por la intermediación del Comercializador Mayorista que compra para estos terceros, tales como menor carga contractual, disponibilidad de instalaciones de entrega, reducción de costos de transacción, entre otros.
Los Comercializadores Mayoristas solo podrán adquirir las cantidades adicionales a que hace referencia el presente mecanismo participando en el mecanismo de asignación y comercialización previsto en la presente resolución.
Los Comercializadores Mayoristas que participen como compradores a través del presente mecanismo de asignación y comercialización deberán informar al comercializador mayorista de precio regulado, con copia a la SSPD y a la CREG, los nombres de los Distribuidores que cuentan con ventas reportadas en el SUI durante el segundo semestre de 2017 en los departamentos de Nariño, Putumayo, Arauca y Chocó y/o por Usuarios No Regulados en estos mismos Departamentos para los cuales están comprando el GLP, lo cual debe ser respaldado con los respectivos contratos de suministro celebrados con ellos.
Los Comercializadores Mayoristas que compran producto en este mecanismo de asignación deben vender el producto asignado a los distribuidores que cuentan con ventas reportadas en el SUI durante el segundo semestre de 2017 en los departamentos de Nariño, Putumayo, Arauca y Chocó y/o por Usuarios No Regulados en estos mismos Departamentos que los han autorizado, sin exceder el precio máximo regulado y sin llevar a cabo un nuevo mecanismo de asignación y/o comercialización. En todo caso, en cualquiera de los eventos del presente artículo y una vez realizadas las entregas de las cantidades adicionales a que hace referencia la presente resolución, los distribuidores deberán remitir a la SSPD, con copia a la CREG y al Ministerio de Minas y Energía, la información que demuestre que el GLP comprado en el presente mecanismo de asignación se destinó únicamente a atender la demanda prioritaria y exclusiva de los departamentos a los que hace referencia la Resolución 41291 de 2017 del Ministerio de Minas y Energía. Así mismo los distribuidores deberán remitir a la SSPD, con copia a la CREG y al Ministerio de Minas y Energía, toda la información y sus correspondientes soportes, entre otros el contrato de suministro, que incluya las cantidades efectivamente recibidas, el precio y el comercializador mayorista que lo haya representado, en caso de que haya acudido a esta figura.
Interés en participar: Los agentes de los que trata los apartes anteriores y que estén interesados en participar, dentro del presente mecanismo de comercialización, deberán manifestar su intención por escrito, al comercializador mayorista de precio regulado, a través de su representante legal dentro de las siguientes 12 horas contadas a partir de la publicación de la presente resolución en la página web de la Comisión.
Mecanismo de asignación y comercialización: La determinación de las cantidades a asignar por empresa para atender el déficit de los departamentos priorizados a que hace referencia la Resolución 41291 de 2017 del Ministerio de Minas y Energía se realizará por medio de la aplicación de las siguientes fórmulas:
1. Factor de participación de la empresa por departamento (FP).
Donde:
Ventas Departamentos Priorizadosi: Corresponde a la suma de las ventas promedio mensual de la empresa j en los departamentos que hacen parte de la fuente i objeto del presente acto administrativo, registradas en el Sistema Único de Información de la Superintendencia de Servicios Públicos Domiciliarios (SUI), entre enero de 2016 y junio de 2017.
Ventas Totalesi: Corresponde a las ventas promedio mensual de la empresa registradas en el Sistema Único de Información de la Superintendencia de Servicios Públicos Domiciliarios, SUI, entre enero de 2016 y junio de 2017, en los departamentos que hacen parte de la fuente i.
i: Fuente a la que hacen parte los departamentos de acuerdo con la siguiente tabla:
Fuente i | Departamentos |
| Cusiana | Putumayo |
| Arauca |
| Barrancabermeja | Chocó |
| Nariño |
2. Máximas cantidades faltantes por empresa (MCF).
Donde:
: Corresponde al valor máximo que resulte entre las ventas registradas para los meses de noviembre de 2015 y noviembre de 2016, según las cifras reportadas por la empresa en el Sistema Único de Información de la Superintendencia de Servicios Públicos Domiciliarios (SUI).
: Suma de las cantidades totales asignadas por Ecopetrol S. A. a la empresa para el mes de noviembre de 2017, en virtud de la OPC para el semestre comprendido entre julio y diciembre de 2017 así como las cantidades contratadas en fuentes de precio libre para el mismo mes.
3. Cantidades deficitarias a asignar por empresa por fuente (CDE).
Donde:
CDEji: Son las cantidades a asignar, por fuente i, por parte del comercializador mayorista de fuentes con precio regulado para la empresa j para atender el déficit de los departamentos de Nariño, Putumayo, Arauca y Chocó.
Parámetros adicionales para la asignación: La cantidad de GLP priorizada para los Departamentos de Nariño, Putumayo, Arauca y Chocó para el mes de noviembre de 2017, se deberá realizar en forma proporcional a la cantidad de producto que fue solicitada para esos Departamentos por los respectivos agentes.
En el evento en que las cantidades disponibles sean menores que el déficit para alguna de las fuentes, se deberá prorratear el producto en de acuerdo con el parámetro descrito anteriormente.
Parágrafo 1. Con excepción de los artículos 11, 12, 13 y 14 y de la Resolución CREG 053 de 2011, se deberá dar cumplimiento a las demás disposiciones previstas en este acto administrativo en relación con los requisitos de los comercializadores mayoristas y de las obligaciones de vendedores y compradores en la comercialización mayorista, las obligaciones relacionadas con las condiciones de entrega y recibo del GLP, eventos de cumplimiento e incumplimiento. Así mismo, los resultados de la asignación a que hace referencia la presente resolución se deben reflejar de manera inmediata en contratos de suministro ajustados a los términos exigidos en el artículo 15 del reglamento de comercialización mayorista.
Parágrafo 2. En todo caso la suma de las asignaciones realizadas a cada empresa mediante el presente mecanismo y las , definidas en el numeral 2 del presente artículo, no deberán superar la capacidad de compra de la que trata la circular CREG 035 del 2017.
Artículo 3. La presente Resolución perderá su fuerza ejecutoria en los términos del artículo 87 de la Ley 1437 de 2011, una vez estas cantidades sean comercializadas y/o asignadas.
Artículo 4. Vigencia. Esta resolución rige a partir de su publicación en el Diario Oficial y deroga las normas que le sean contrarias.
PUBLÍQUESE Y CÚMPLASE Dada en Bogotá, el día, 24 NOV. 2017
ALONSO MAYELO CARDONA DELGADO
Viceministro de Energía (E)
Delegado del Ministro de Minas y Energía Presidente | GERMÁN CASTRO FERREIRA
Director Ejecutivo |
|
Doble click sobre el archivo anexo para bajarlo(Resoluciones CREG) |
Doble click sobre el archivo anexo para bajarlo(Documento CREG) |
|