| Publicación Diario Oficial No.: | 50.417, el día:14/November/2017 |
| Publicada en la WEB CREG el: | 10/November/2017 |
|
Ministerio de Minas y Energía
COMISIÓN DE REGULACIÓN DE ENERGÍA Y GAS
RESOLUCIÓN No. 154 DE 2017
( 23 OCT. 2017 )
Por la cual se ordena hacer público un proyecto de resolución de carácter general, “Por la cual se modifica la Resolución CREG 076 de 2016”
LA COMISIÓN DE REGULACIÓN DE ENERGÍA Y GAS
En ejercicio de las atribuciones constitucionales y legales, en especial las conferidas por las Leyes 142 de 1994 y 1151 de 2007, y los Decretos 1524 y 2253 de 1994 y 1260 de 2013.
C O N S I D E R A N D O Q U E:
Conforme a lo dispuesto por el artículo 8 del Código de Procedimiento Administrativo y de lo Contencioso Administrativo y el artículo 2.2.13.1.4 del Decreto 1078 de 2015, la Comisión debe hacer público en su página web todos los proyectos de resolución de carácter general que pretenda adoptar.
La Comisión de Regulación de Energía y Gas, en su sesión No. 809 del 23 de octubre de 2017 aprobó hacer público el proyecto de resolución “Por la cual se modifica la Resolución CREG 076 de 2016”.
R E S U E L V E:
ARTÍCULO 1. Hágase público el proyecto de resolución “Por la cual se modifica la Resolución CREG 076 de 2016”.
ARTÍCULO 2. Se invita a los agentes, a los usuarios, a las autoridades competentes, a la Superintendencia de Servicios Públicos Domiciliarios y a la Superintendencia de Industria y Comercio, para que remitan sus observaciones o sugerencias dentro de los quince (15) días hábiles siguientes a la publicación de la presente propuesta regulatoria en la página web de la Comisión.
ARTÍCULO 3. Las observaciones y sugerencias sobre el proyecto deberán dirigirse al Director Ejecutivo de la Comisión, a la siguiente dirección: avenida calle 116 No. 7-15, Edificio Torre Cusezar, Interior 2, oficina 901 o al correo electrónico creg@creg.gov.co.
ARTÍCULO 4. La presente resolución no deroga disposiciones vigentes por tratarse de un acto de trámite.
PUBLÍQUESE Y CÚMPLASE
Dada en Bogotá D.C., a 23 OCT. 2017
RUTTY PAOLA ORTIZ JARA
Viceministra de Energía
Delegada del Ministro de Minas y Energía
Presidente | GERMÁN CASTRO FERREIRA
Director Ejecutivo |
PROYECTO DE RESOLUCIÓN
Por la cual se modifica la Resolución CREG 076 de 2016
LA COMISIÓN DE REGULACIÓN DE ENERGÍA Y GAS
En ejercicio de sus atribuciones legales, en especial las conferidas por las leyes 142 y 143 de 1994, y en desarrollo de los Decretos 1524 y 2253 de 1994 y 1260 de 2013.
C O N S I D E R A N D O Q U E:
Según el Artículo 74.1 de la Ley 142 de 1994 la Comisión de Regulación de Energía y Gas es competente para regular el ejercicio de las actividades de los sectores de energía y gas combustible.
La Comisión de Regulación de Energía y Gas tiene la función de regular los monopolios en la prestación del servicio público domiciliario de energía eléctrica, cuando la competencia no sea, de hecho, posible; y en los demás casos, la de promover la competencia entre quienes presten servicios públicos, para que las operaciones de los monopolistas o de los competidores sean económicamente eficientes, no impliquen abuso de la posición dominante y produzcan servicios de calidad.
De conformidad con el parágrafo 1° del artículo 40 de la Ley 142 de 1994, la CREG debe definir, por vía general, cómo se verifica la existencia de los motivos que permiten la inclusión de áreas de servicio exclusivo en los contratos para la prestación del servicio público domiciliario de energía eléctrica, así como los lineamientos generales y las condiciones a las cuales deben someterse ellos; y antes de que se abra una licitación que incluya estas cláusulas dentro de los contratos propuestos, verificará que ellas sean indispensables para asegurar la viabilidad financiera de la extensión de la cobertura a las personas de menores ingresos.
De conformidad con el artículo 74 de la Ley 143 de 1994 las empresas prestadoras del servicio público de energía eléctrica localizadas en las Zonas No Interconectadas podrán desarrollar en forma integrada las actividades de generación, distribución y comercialización.
El artículo 114 de la Ley 1450 de 2011 estableció que “el Ministerio de Minas y Energía continuará diseñando esquemas sostenibles de gestión para la prestación del servicio de energía eléctrica en las Zonas No Interconectadas. Para este propósito, podrá establecer Áreas de Servicio Exclusivo para todas las actividades involucradas en el servicio de energía eléctrica”.
Mediante la Resolución CREG 027 de 2014 se sometió a consulta el proyecto de resolución “por el cual se definen las reglas para verificar la existencia de los motivos que permiten la inclusión de áreas de servicio exclusivo en los contratos y los lineamientos generales y las condiciones a las cuales deben someterse ellos, para la prestación del servicio público domiciliario de energía eléctrica en las Zonas No Interconectadas”.
El artículo 9 de la Ley 1715 de 2014 dispuso que “el Gobierno Nacional implementará un programa destinado a sustituir progresivamente la generación con diésel en las ZNI con el objetivo de reducir los costos de prestación del servicio y las emisiones de gases contaminantes, para lo cual implementará las siguientes acciones:
Mediante el Decreto 1623 de 2015 el Ministerio de Minas y Energía definió los lineamientos de política para la expansión de la cobertura del servicio de energía eléctrica en el Sistema Interconectado Nacional y en las Zonas No Interconectadas.
La Comisión de Regulación de Energía y Gas en sesión 719 del 25 de mayo de 2016, aprobó expedir la Resolución CREG 076 de 2016 “por la cual se definen las reglas para verificar la existencia de los motivos que permiten la inclusión de áreas de servicio exclusivo en los contratos, y los lineamientos generales y las condiciones a las cuales deben someterse ellos, para la prestación del servicio público domiciliario de energía eléctrica en las Zonas No Interconectadas”, la cual tiene como soporte el Documento CREG 037 de 2016.
Con posterioridad a la expedición de la precitada resolución, mediante comunicación con radicado CREG E-2017-006743 el Ministerio de Minas y Energía presentó solicitud de modificación de la Resolución 076 de 2016 a la Comisión, frente a los siguientes puntos: i) las definiciones de demanda de energía proyectada y demanda de energía real, ii) el componente de ahorro en costos de combustibles de origen fósil de las fórmulas tarifarias generales previstas en los artículos 17, 24 y 25, iii) la distribución de aumento de productividad en el uso de las redes locales en infraestructura que se comparte con otros servicios de comunicaciones (telefonía, internet, televisión, etc.), iv)la afectación de las fórmulas de remuneración del distribuidor por las pérdidas y v) la fecha de estimación de la demanda proyectada a usar cuando ya hay una área de servicio exclusivo existente.
Mediante comunicación con radicado CREG E-2017-009127 el Ministerio de Minas y Energía presentó solicitud de consulta acerca de la aplicación de la Resolución CREG 076 de 2016 a las áreas de servicio exclusivo constituidas con anterioridad a la expedición de la resolución.
Analizados los comentarios presentados por el Ministerio de Minas y Energía y teniendo en cuenta que a la fecha la Resolución CREG 076 de 2016 no ha sido aplicada, encuentra esta Comisión conveniente realizar ajustes y modificar el contenido de algunas disposiciones previstas en la precitada resolución.
La Comisión de Regulación de Energía y Gas, en sesión No. 809 del día 23 de octubre de 2017 aprobó el contenido de la presente resolución.
R E S U E L V E:
Artículo 1. Modificar el artículo 3 de la Resolución CREG 076 de 2016, el cual quedará así:
Artículo 3. Ámbito de aplicación. Esta resolución se aplica para la conformación, verificación y contratación de las áreas de servicio exclusivo por parte del Ministerio de Minas y Energía en las ZNI, según lo previsto en las Leyes 1450 de 2011 y 1715 de 2014 o aquellas que las modifiquen, adicionen o sustituyan.
Para las áreas de servicio exclusivo que ya se encuentren constituidas a la entrada en vigencia de la presente resolución, será aplicable lo aquí previsto siempre y cuando las partes así lo acuerden expresamente.
Artículo 2. Modificar las definiciones de demanda de energía proyectada y demanda de energía real del artículo 2 de la Resolución CREG 076 de 2016, las cuales quedarán así:
Demanda de energía proyectada: energía total estimada por el Ministerio de Minas y Energía en el área de servicio exclusivo en cada una de las actividades concesionadas (generación, distribución y comercialización). Para las áreas de servicio exclusivo existentes, corresponderá a la demanda de energía proyectada que acuerden las partes. Se debe definir para un periodo de tiempo (año, mes).
Demanda de energía real: energía total reportada por el adjudicatario al sistema único de información, SUI. Se debe definir para un periodo de tiempo (año, mes).
Artículo 3. Modificar el artículo 17 de la Resolución CREG 076 de 2016, el cual quedará así:
Artículo 17. Fórmula tarifaria general para usuarios regulados del servicio público de energía eléctrica para procesos competitivos para cada actividad. Cuando se realicen varios procesos competitivos para adjudicar obligaciones de prestación del servicio por actividad, en una misma área de servicio exclusivo, la fórmula tarifaria general aplicable a los usuarios regulados del servicio público domiciliario de energía eléctrica tendrá los siguientes componentes:
Donde:
: | Costo unitario de prestación del servicio de energía eléctrica, para el nivel de tensión n, para el mes m, expresado en pesos por kilovatio hora ($/kWh). |
: | Componente de generación, para el mes m, expresado en pesos por kilovatio hora ($/kWh). De acuerdo con lo establecido en la presente resolución. |
: | Pérdidas de energía del sistema de distribución, en el nivel de tensión n, para el mes m. Este nivel de pérdidas será el ofertado por el adjudicatario de la obligación de prestación del servicio en la propuesta que presente en el proceso competitivo. Este valor se expresa como una fracción de la energía medida y entregada al sistema de distribución. |
: | Componente de distribución, para el nivel de tensión n, para el mes m, expresado en pesos por kilovatio hora ($/kWh). De acuerdo con lo establecido en la presente resolución. |
: | Niveles de tensión del sistema de distribución del área de servicio exclusivo. |
: | Componente de comercialización, para el mes m, expresado en pesos por kilovatio hora ($/kWh). De acuerdo con lo establecido en la presente resolución. |
: | Cargo de monitoreo correspondiente al mes m de prestación del servicio, expresado en pesos por kilovatio hora ($/kWh). De acuerdo con lo establecido en la presente resolución. |
: | Cargo de interventoría correspondiente al mes m de prestación del servicio, expresado en pesos por kilovatio hora ($/kWh). Este cargo será determinado por el Ministerio de Minas y Energía. |
: | Ahorro en los costos de combustibles de origen fósil, ya sea por la incorporación de equipos que mejoren la eficiencia de las plantas de generación, por el reemplazo de alguna de éstas o por la sustitución de combustible o de tecnología, en el mes m, expresado en pesos por kilovatio hora ($/kWh), calculado de la siguiente manera:

: Energía total entregada al sistema de distribución en el mes m-1, por las n plantas reemplazadas, con sustitución de combustible o de tecnología. Este valor se expresa en kilovatios hora (kWh) y será medido en bornes del generador.
: Factor de ahorro determinado por el Ministerio de Minas y Energía y estipulado por proyecto en el contrato. Este factor podrá tomar valores mayores que cero (0) y menores que uno (1).
: Número de plantas que fueron reemplazadas o para las cuales se sustituyeron combustibles por otros más económicos.
: Planta j del parque de generación.
: Consumo específico de combustible inicial de origen fósil de la planta j que es adecuada, reemplazada o cuyo combustible es sustituido por uno más económico. Esta variable se expresa en millones de BTU por kilovatio hora (MBTU/kWh). En caso de que la planta utilice diésel No. 2 o diésel No. 6 como combustible, este consumo será expresado en galones por kilovatio hora (gal/kWh). El valor de esta variable será el ofertado por el adjudicatario de la obligación de prestación del servicio, para cada planta j, en la propuesta que presente en el proceso competitivo. El consumo específico de combustible será calculado en bornes del generador. En caso de ser necesaria la aplicación de una equivalencia calorífica, ésta será determinada por el Ministerio de Minas y Energía.
: Consumo específico de combustible final de origen fósil de la planta j que sustituye a la que es adecuada, reemplazada o cuyo combustible es sustituido por uno más económico. Esta variable se expresa en millones de BTU por kilovatio hora (MBTU/kWh). En caso de que la planta utilice diésel No. 2 o diésel No. 6 como combustible, este consumo será expresado en galones por kilovatio hora (gal/kWh). El valor de esta variable será el propuesto por el adjudicatario de la obligación de prestación del servicio, para cada planta j, durante la ejecución del contrato. El consumo específico de combustible será calculado en bornes del generador. En caso de ser necesaria la aplicación de una equivalencia calorífica, ésta será determinada por el Ministerio de Minas y Energía.
: Precio del combustible, puesto en el sitio de la planta j del parque de generación inicial. Esta variable se expresa en pesos por millones de BTU ($/MBTU). En caso de que la planta utilizara diésel No. 2 o diésel No. 6 como combustible, este consumo será expresado en pesos por galón ($/gal). En caso de ser necesaria la aplicación de una equivalencia calorífica, ésta será determinada por el Ministerio de Minas y Energía.
: Precio del combustible sustituto, puesto en el sitio de la planta j del parque de generación final. Esta variable se expresa en pesos por millones de BTU ($/MBTU). En caso de que la planta utilizara diésel No. 2 o diésel No. 6 como combustible, este consumo será expresado en pesos por galón ($/gal). En caso de ser necesaria la aplicación de una equivalencia calorífica, ésta será determinada por el Ministerio de Minas y Energía.
: Energía entregada al sistema de distribución, en el mes m-1, por la planta j del parque de generación que fue adecuada, reemplazada o cuyo combustible fue sustituido por uno más económico. Esta variable se expresa en kilovatios hora (kWh) y será medida en bornes del generador.
|
Parágrafo 1. A partir de la entrada en vigencia del cargo de monitoreo, se cobrará el componente incluido en la fórmula tarifaria general. Este componente será igual a cero hasta tanto sea aprobado por la Comisión de Regulación de Energía y Gas mediante resolución posterior. La Comisión de Regulación de Energía y Gas podrá revisar y ajustar el cargo de monitoreo, cuando lo considere necesario.
Parágrafo 2. Los adjudicatarios deberán instalar equipos de medición a distancia, los cuales deberán contar con parámetros de medición compatibles con el Centro Nacional de Monitoreo (CNM) o quien haga sus veces.
Parágrafo 3. El componente únicamente se aplicará para aquellas plantas del parque de generación inicial cuya adecuación, por incorporación de equipos que mejoren la eficiencia, reemplazo o cambio de combustible por uno más económico no haya sido incorporado en la oferta del adjudicatario de la obligación de prestación de la actividad de generación. El componente será reconocido a quien realice la actividad de generación y haya incurrido en las inversiones necesarias para lograr dicho ahorro.
Parágrafo 4. En caso de que el combustible sustituido sea gas combustible, para efectos del cálculo de las variables y , el valor del precio del combustible puesto en el sitio de la planta j del parque de generación inicial será el precio del gas determinado en el último contrato celebrado por el adjudicatario de la obligación de prestación del servicio de energía eléctrica en el área de servicio exclusivo, indexado por el índice de precios al productor, IPP y se le adicionará el valor correspondiente al costo de transporte del gas hasta la central de generación.
Parágrafo 5. En caso de que el combustible sea sustituido por una fuente de energía renovable, las variables , precio del combustible, y , consumo específico de combustible, serán igual a cero.
Artículo 4. Modificar el parágrafo del artículo 18 de la Resolución CREG 076 de 2016, el cual quedará así:
Parágrafo. El componente será igual a cero en la fórmula de cálculo de cuando este componente sea incluido dentro del componente por parte de la autoridad contratante.
Artículo 5. Modificar el parágrafo 1 del artículo 19 de la Resolución CREG 076 de 2016, el cual quedará así:
Parágrafo. El componente será igual a cero en la fórmula de cálculo de cuando este componente sea incluido dentro del componente por parte de la autoridad contratante.
Artículo 6. Modificar el artículo 24 de la Resolución CREG 076 de 2016, el cual
quedará así:
Artículo 24. Fórmula tarifaria general para usuarios regulados del servicio público de energía eléctrica para procesos competitivos por todas las actividades cuando los usuarios asumen el riesgo de demanda. Cuando la autoridad contratante realice un único proceso competitivo para adjudicar la obligación de prestación del servicio de todas las actividades para la prestación del servicio público de energía eléctrica en un área de servicio exclusivo y se asigne el riesgo de demanda a los usuarios del servicio, la fórmula tarifaria general aplicable a los usuarios regulados del servicio público domiciliario de energía eléctrica tendrá los siguientes componentes:
Donde:
: | Costo unitario de prestación del servicio de energía eléctrica, para el nivel de tensión n, para el mes m, expresado en pesos por kilovatio hora ($/kWh). |
: | Remuneración de la inversión y de los gastos de AOM en generación, en distribución por nivel de tensión n, y en comercialización, para el mes m. En estos gastos no se consideran los combustibles de origen fósil o las mezclas obligatorias de éstos con biocombustibles utilizados en la operación, por disposición gubernamental. Este valor, expresado en pesos por kilovatio hora ($/kWh), se estimará así:
Si la demanda real es menor o igual a la demanda proyectada:
Si la demanda real es mayor a la demanda proyectada:
Donde:
: Ingreso regulado para el año t del período de vigencia de la obligación de prestación del servicio, que remunera las inversiones y gastos AOM requeridos para desarrollar las actividades de generación, distribución para el nivel de tensión n y comercialización. Este ingreso, expresado en pesos ($) del mes anterior al de la realización del proceso competitivo, será el ofertado por el adjudicatario de la obligación de prestación del servicio en la propuesta que presente en dicho proceso.
: Índice de precios al productor publicado por el DANE, para el mes m-1.
: Índice de precios al productor publicado por el DANE, para el mes anterior al de realización del proceso competitivo.
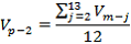
: Promedio de las ventas mensuales de energía de los últimos doce (12) meses, expresado en kilovatios hora (kWh), calculado de la siguiente manera:
: Ventas de energía eléctrica para el mes m-j, expresadas en kilovatios hora (kWh).
: Demanda real atendida por el adjudicatario para el año t del período de vigencia de la obligación de prestación del servicio, expresada en kilovatios hora (kWh).
: Demanda proyectada para el año t del período de vigencia de la obligación de prestación del servicio, expresada en kilovatios hora (kWh).
: Factor de ajuste al ingreso máximo regulado, para el mes m. Este ajuste se hará a partir del segundo mes del período de vigencia, de la siguiente manera:
Donde:
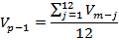
: Promedio de las ventas mensuales de energía de los doce (12) meses anteriores al mes m-1, expresado en kilovatios hora (kWh). El cálculo se hará de la siguiente manera:
: Ventas mensuales de energía del mes m-j, expresado en kilovatios hora (kWh). |
: | Ingreso regulado compuesto por los costos de los combustibles de origen fósil o de las mezclas obligatorias de éstos con biocombustibles por disposición gubernamental, puestos en el sitio de operación de las plantas del parque de generación, para el mes m. Este valor, expresado en pesos por kilovatio hora ($/kWh), se calculará así:
: Energía total entregada al sistema de distribución en el mes m-1, por las n plantas del parque de generación. Este valor se expresa en kilovatios hora (kWh) y será medida en bornes del generador.
: Consumo específico de combustible de origen fósil de la planta j del parque de generación, expresado en millones de BTU por kilovatio hora (MBTU/kWh). En caso de que la planta utilice diésel No. 2 o diésel No. 6 como combustible, este consumo será expresado en galones por kilovatio hora (gal/kWh). El valor de esta variable será el ofertado por el adjudicatario de la obligación de prestación del servicio, para cada planta i a utilizar, en la propuesta que presente en el proceso competitivo. El consumo específico de combustible será calculado en bornes del generador. En caso de ser necesaria la aplicación de una equivalencia calorífica, ésta será determinada por el Ministerio de Minas y Energía.
: Precio del combustible puesto en el sitio de la planta j del parque de generación, en el mes m, expresado en pesos por millón de BTU ($/MBTU) de forma general y en pesos por galón ($/gal) cuando el combustible empleado sea diésel No. 2, diésel No. 6 o la mezcla mencionada. El precio del combustible puesto en el sitio de la planta será definido por el Ministerio de Minas y Energía, con excepción del caso en que se utilice gas combustible, cuyo precio se encuentra regulado por la comisión mediante Resolución CREG 059 de 2009 o aquella que la modifique o sustituya.
: Energía entregada al sistema de distribución por la planta j, en el mes m-1, expresada en kilovatios hora (kWh) y medida en bornes del generador. |
: | Pérdidas de energía del sistema de distribución, en el nivel de tensión n, para el mes m. Este nivel de pérdidas será el ofertado por el adjudicatario de la obligación de prestación del servicio en la propuesta que presente en el proceso competitivo. Este valor se expresa como una fracción de la energía medida y entregada al sistema de distribución. |
: | Cargo de monitoreo correspondiente al mes m de prestación del servicio, expresado en pesos por kilovatio hora ($/kWh). |
: | Cargo de interventoría correspondiente al mes m de prestación del servicio, expresado en pesos por kilovatio hora ($/kWh). |
: | Ahorro en los costos de combustibles de origen fósil, ya sea por la incorporación de equipos que mejoren la eficiencia de las plantas de generación, por el reemplazo de alguna de éstas o por la sustitución de combustible o de tecnología, en el mes m, expresado en pesos por kilovatio hora ($/kWh), calculado de la siguiente manera:
Donde:
: Energía total entregada al sistema de distribución en el mes m-1, por las n plantas reemplazadas, con sustitución de combustible o de tecnología. Este valor se expresa en kilovatios hora (kWh) y será medido en bornes del generador.
: Factor de ahorro determinado por el Ministerio de Minas y Energía y estipulado por proyecto en el contrato. Este factor podrá tomar valores mayores que cero (0) y menores que uno (1).
: Número de plantas que fueron reemplazadas o para las cuales se sustituyeron combustibles por otros más económicos.
: Planta j del parque de generación.
: Consumo específico de combustible inicial de origen fósil de la planta j que es adecuada, reemplazada o cuyo combustible es sustituido por uno más económico. Esta variable se expresa en millones de BTU por kilovatio hora (MBTU/kWh). En caso de que la planta utilice diésel No. 2 o diésel No. 6 como combustible, este consumo será expresado en galones por kilovatio hora (gal/kWh). El valor de esta variable será el ofertado por el adjudicatario de la obligación de prestación del servicio, para cada planta j, en la propuesta que presente en el proceso competitivo. El consumo específico de combustible será calculado en bornes del generador. En caso de ser necesaria la aplicación de una equivalencia calorífica, ésta será determinada por el Ministerio de Minas y Energía.
: Consumo específico de combustible final de origen fósil de la planta j que sustituye a la que es adecuada, reemplazada o cuyo combustible es sustituido por uno más económico. Esta variable se expresa en millones de BTU por kilovatio hora (MBTU/kWh). En caso de que la planta utilice diésel No. 2 o diésel No. 6 como combustible, este consumo será expresado en galones por kilovatio hora (gal/kWh). El valor de esta variable será el propuesto por el adjudicatario de la obligación de prestación del servicio, para cada planta j, durante la ejecución del contrato. El consumo específico de combustible será calculado en bornes del generador. En caso de ser necesaria la aplicación de una equivalencia calorífica, ésta será determinada por el Ministerio de Minas y Energía.
: Precio del combustible, puesto en el sitio de la planta j del parque de generación inicial. Esta variable se expresa en pesos por millones de BTU ($/MBTU). En caso de que la planta utilizara diésel No. 2 o diésel No. 6 como combustible, este consumo será expresado en pesos por galón ($/gal). En caso de ser necesaria la aplicación de una equivalencia calorífica, ésta será determinada por el Ministerio de Minas y Energía.
: Precio del combustible sustituto, puesto en el sitio de la planta j del parque de generación final. Esta variable se expresa en pesos por millones de BTU ($/MBTU). En caso de que la planta utilizara diésel No. 2 o diésel No. 6 como combustible, este consumo será expresado en pesos por galón ($/gal). En caso de ser necesaria la aplicación de una equivalencia calorífica, ésta será determinada por el Ministerio de Minas y Energía.
: Energía entregada al sistema de distribución, en el mes m-1, por la planta j del parque de generación que fue adecuada, reemplazada o cuyo combustible fue sustituido por uno más económico. Esta variable se expresa en kilovatios hora (kWh) y será medida en bornes del generador. |
Parágrafo 1. A partir de la entrada en vigencia del cargo de monitoreo, se cobrará el componente incluido en la fórmula tarifaria general. Este componente será igual a cero hasta tanto sea aprobado por la Comisión de Regulación de Energía y Gas mediante resolución posterior. La Comisión de Regulación de Energía y Gas podrá revisar y ajustar el cargo de monitoreo, cuando lo considere necesario.
Parágrafo 2. Los adjudicatarios deberán instalar equipos de medición a distancia, los cuales deberán contar con parámetros de medición compatibles con el Centro Nacional de Monitoreo (CNM) o quien haga sus veces.
Parágrafo 3. El componente será igual a cero en la fórmula de cálculo de cuando este componente sea incluido dentro del componente por parte de la autoridad contratante.
Parágrafo 4. El componente únicamente se aplicará para aquellas plantas del parque de generación inicial cuya adecuación, por incorporación de equipos que mejoren la eficiencia, reemplazo o cambio de combustible por uno más económico no haya sido incorporado en la oferta del adjudicatario de la obligación de prestación de la actividad de generación . El componente será reconocido a quien realice la actividad de generación y haya incurrido en las inversiones necesarias para lograr dicho ahorro.
Parágrafo 5. En caso de que el combustible fósil sustituido sea gas combustible, para efectos del cálculo de las variables y , el valor del precio del combustible fósil puesto en el sitio de la planta j del parque de generación inicial será el precio del gas determinado en el último contrato celebrado por el adjudicatario de la obligación de prestación del servicio de energía eléctrica en el área de servicio exclusivo, indexado por el índice de precios al productor, IPP y se le adicionará el valor correspondiente al costo de transporte del gas hasta la central de generación.
Parágrafo 6. En caso de que el combustible fósil sea sustituido por una fuente de energía renovable, las variables , precio del combustible, y , consumo específico de combustible, serán igual a cero.
Artículo 7. Modificar el artículo 25 de la Resolución CREG 076 de 2016, el cual quedará así:
Artículo 25. Fórmula tarifaria general para usuarios regulados del servicio público de energía eléctrica para procesos competitivos por todas las actividades cuando el adjudicatario de la obligación de prestación del servicio asume el riesgo de demanda. Cuando la autoridad contratante realice un único proceso competitivo para adjudicar la obligación de prestación del servicio de todas las actividades para la prestación del servicio público domiciliario de energía eléctrica en un área de servicio exclusivo y se asigne el riesgo de demanda al adjudicatario de la obligación de prestación del servicio, la fórmula tarifaria general aplicable a los usuarios regulados del servicio público domiciliario de energía eléctrica tendrá los siguientes componentes:
Donde:
: | Costo unitario de prestación del servicio de energía eléctrica, para el nivel de tensión n, para el mes m, expresado en pesos por kilovatio hora ($/kWh). |
: | Remuneración de la inversión y de los gastos de AOM en generación, en distribución por nivel de tensión n, y en comercialización, para el mes m. En estos gastos no se consideran los combustibles de origen fósil o las mezclas obligatorias de éstos con biocombustibles utilizados en la operación, por disposición gubernamental. Este valor, expresado en pesos por kilovatio hora ($/kWh), se estimará así:
Donde:
: Precio regulado para el mes m del período de vigencia de la obligación de prestación del servicio, que remunera al prestador del servicio las inversiones y los gastos de administración, operación y mantenimiento requeridos para las actividades de generación, distribución en el nivel de tensión n y comercialización. Este precio, expresado en pesos por kilovatio hora ($/kWh) del mes anterior al de la realización del proceso competitivo, será el ofertado por el adjudicatario de la obligación de prestación del servicio en la propuesta que presente en dicho proceso.
: Índice de precios al productor publicado por el DANE, para el mes m-1.
: Índice de precios al productor publicado por el DANE, para el mes anterior al de realización del proceso competitivo. |
: | Precio regulado compuesto por los costos de los combustibles de origen fósil o de las mezclas obligatorias de éstos con biocombustibles por disposición gubernamental, puestos en el sitio de operación de las plantas del parque de generación, para el mes m. Este valor, expresado en pesos por kilovatio hora ($/kWh), se calculará así:Donde:
: Energía total entregada al sistema de distribución en el mes m-1, por las n plantas del parque de generación. Este valor se expresa en kilovatios hora (kWh) y será medida en bornes del generador.
: Consumo específico de combustible de origen fósil de la planta j del parque de generación, expresado en millones de BTU por kilovatio hora (MBTU/kWh). En caso de que la planta utilice diésel No. 2 o diésel No. 6 como combustible, este consumo será expresado en galones por kilovatio hora (gal/kWh). El valor de esta variable será el ofertado por el adjudicatario de la obligación de prestación del servicio, para cada planta j a utilizar, en la propuesta que presente en el proceso competitivo. El consumo específico de combustible será calculado en bornes del generador. En caso de ser necesaria la aplicación de una equivalencia calorífica, ésta será determinada por el Ministerio de Minas y Energía.
: Precio del combustible, puesto en el sitio de la planta j del parque de generación, en el mes m, expresado en pesos por millón de BTU ($/MBTU) de forma general, y en pesos por galón ($/gal) cuando el combustible empleado sea diésel No. 2, diésel No. 6 o la mezcla mencionada. El precio del combustible puesto en el sitio de la planta será definido por el Ministerio de Minas y Energía, con excepción del caso en que se utilice gas combustible, cuyo precio se encuentra regulado por la comisión mediante Resolución CREG 059 de 2009 o aquella que la modifique o sustituya.
: Energía entregada al sistema de distribución por la planta j, en el mes m-1, expresada en kilovatios hora (kWh) y medida en bornes del generador. |
: | Pérdidas de energía del sistema de distribución, en el nivel de tensión n, para el mes m. Este nivel de pérdidas será el ofertado por el adjudicatario de la obligación de prestación del servicio en la propuesta que presente en el proceso competitivo. Este valor se expresa como una fracción de la energía medida y entregada al sistema de distribución. |
: | Cargo de monitoreo correspondiente al mes m de prestación del servicio, expresado en pesos por kilovatio hora ($/kWh). |
: | Cargo de interventoría correspondiente al mes m de prestación del servicio, expresado en pesos por kilovatio hora ($/kWh). |
: | Ahorro en los costos de combustibles de origen fósil, ya sea por la incorporación de equipos que mejoren la eficiencia de las plantas de generación, por el reemplazo de alguna de éstas o por la sustitución de combustible o de tecnología, en el mes m, expresado en pesos por kilovatio hora ($/kWh), calculado de la siguiente manera:
: Energía total entregada al sistema de distribución en el mes m-1, por las n plantas reemplazadas, con sustitución de combustible o de tecnología. Este valor se expresa en kilovatios hora (kWh) y será medido en bornes del generador.
: Factor de ahorro determinado por el Ministerio de Minas y Energía y estipulado por proyecto en el contrato. Este factor podrá tomar valores mayores que cero (0) y menores que uno (1).
: Número de plantas que fueron reemplazadas o para las cuales se sustituyeron combustibles por otros más económicos.
: Planta j del parque de generación.
: Consumo específico de combustible inicial de origen fósil de la planta j que es adecuada, reemplazada o cuyo combustible es sustituido por uno más económico. Esta variable se expresa en millones de BTU por kilovatio hora (MBTU/kWh). En caso de que la planta utilice diésel No. 2 o diésel No. 6 como combustible, este consumo será expresado en galones por kilovatio hora (gal/kWh). El valor de esta variable será el ofertado por el adjudicatario de la obligación de prestación del servicio, para cada planta j, en la propuesta que presente en el proceso competitivo. El consumo específico de combustible será calculado en bornes del generador. En caso de ser necesaria la aplicación de una equivalencia calorífica, ésta será determinada por el Ministerio de Minas y Energía.
: Consumo específico de combustible final de origen fósil de la planta j que sustituye a la que es adecuada, reemplazada o cuyo combustible es sustituido por uno más económico. Esta variable se expresa en millones de BTU por kilovatio hora (MBTU/kWh). En caso de que la planta utilice diésel No. 2 o diésel No. 6 como combustible, este consumo será expresado en galones por kilovatio hora (gal/kWh). El valor de esta variable será el propuesto por el adjudicatario de la obligación de prestación del servicio, para cada planta j, durante la ejecución del contrato. El consumo específico de combustible será calculado en bornes del generador. En caso de ser necesaria la aplicación de una equivalencia calorífica, ésta será determinada por el Ministerio de Minas y Energía.
: Precio del combustible, puesto en el sitio de la planta j del parque de generación inicial. Esta variable se expresa en pesos por millones de BTU ($/MBTU). En caso de que la planta utilizara diésel No. 2 o diésel No. 6 como combustible, este consumo será expresado en pesos por galón ($/gal). En caso de ser necesaria la aplicación de una equivalencia calorífica, ésta será determinada por el Ministerio de Minas y Energía.
: Precio del combustible sustituto, puesto en el sitio de la planta j del parque de generación final. Esta variable se expresa en pesos por millones de BTU ($/MBTU). En caso de que la planta utilizara diésel No. 2 o diésel No. 6 como combustible, este consumo será expresado en pesos por galón ($/gal). En caso de ser necesaria la aplicación de una equivalencia calorífica, ésta será determinada por el Ministerio de Minas y Energía.
: Energía entregada al sistema de distribución, en el mes m-1, por la planta j del parque de generación que fue adecuada, reemplazada o cuyo combustible fue sustituido por uno más económico. Esta variable se expresa en kilovatios hora (kWh) y será medida en bornes del generador.
|
Parágrafo 1. A partir de la entrada en vigencia del cargo de monitoreo, se cobrará el componente incluido en la fórmula tarifaria general. Este componente será igual a cero hasta tanto sea aprobado por la Comisión de Regulación de Energía y Gas mediante resolución posterior. La Comisión de Regulación de Energía y Gas podrá revisar y ajustar el cargo de monitoreo, cuando lo considere necesario.
Parágrafo 2. Los adjudicatarios deberán instalar equipos de medición a distancia, los cuales deberán contar con parámetros de medición compatibles con el Centro Nacional de Monitoreo (CNM) o quien haga sus veces.
Parágrafo 3. El componente será igual a cero en la fórmula de cálculo de cuando este componente sea incluido dentro del componente por parte de la autoridad contratante.
Parágrafo 4. El componente Am únicamente se aplicará para aquellas plantas
del parque de generación inicial cuya adecuación, por incorporación de equipos que mejoren la eficiencia, reemplazo o cambio de combustible por uno más económico no haya sido incorporado en la oferta del adjudicatario de la obligación de prestación de la actividad de generación. El componente Am será reconocido a quien realice la actividad de generación y haya incurrido en las inversiones necesarias para lograr dicho ahorro.
Parágrafo 5. En caso de que el combustible sustituido sea gas combustible, para efectos del cálculo de las variables y , el valor del precio del combustible fósil puesto en el sitio de la planta j del parque de generación inicial será el precio del gas determinado en el último contrato celebrado por el adjudicatario de la obligación de prestación del servicio de energía eléctrica en el área de servicio exclusivo, indexado por el índice de precios al productor, IPP y se le adicionará el valor correspondiente al costo de transporte del gas hasta la central de generación.
Parágrafo 6. En caso de que el combustible sea sustituido por una fuente de energía renovable, las variables , precio del combustible, y , consumo específico de combustible, se entenderán igual a cero.
Artículo 8. Modificar el artículo 28 de la Resolución CREG 076 de 2016, el cual quedará así:
Artículo 28. Consumos propios y pérdidas de transformación en generación. En la actividad de generación se reconocerán consumos propios, entendidos como los consumos de energía y potencia requeridos por los sistemas auxiliares de la central de generación, del 3.4% de la energía bruta medida en bornes del generador y las pérdidas de transformación para entregar la energía al sistema de distribución se reconocerán de conformidad con la Norma ICONTEC NTC 819.
Artículo 9. Vigencia y derogatorias. La presente resolución rige a partir de su publicación en el Diario Oficial y deroga todas las disposiciones que le sean contrarias. Se deroga en especial, el parágrafo 2 del artículo 19, el parágrafo del artículo 21, el artículo 26 y el artículo 36 de la Resolución CREG 076 de 2016.
PUBLÍQUESE Y CÚMPLASE
Dada en Bogotá, D.C. a
RUTTY PAOLA ORTIZ JARA
Viceministra de Energía
Delegada del Ministro de Minas y Energía
Presidente | GERMÁN CASTRO FERREIRA
Director Ejecutivo |
|
Doble click sobre el archivo anexo para bajarlo(Resoluciones CREG) |
Doble click sobre el archivo anexo para bajarlo(Documento CREG) |
|