| Publicación Diario Oficial No.: | ., el día: |
| Publicada en la WEB CREG el: | 28/July/2011 |
Bogotá, D.C., 28 de julio de 2011
CIRCULAR No. 042
PARA: DISTRIBUIDORES DE GLP
DE: DIRECCIÓN EJECUTIVA
ASUNTO: INFORME FINAL EJECUCIÓN METAS PROGRAMAS REPU E ICMA CON CORTE A JUNIO 30 DE 2011Y SOLICITUD METAS DISPONIBLES PARA ASIGNACIÓN EN LA SEGUNDA ETAPA DE LA FASE FINAL
La Resolución CREG 147 de 2010 estableció una fase final para el retiro de cilindros universales y su reemplazo por cilindros marcados propiedad de los distribuidores en dos etapas: la primera de ellas entre el 1 de enero y el 30 de junio de 2011 y la segunda entre el 1 de julio y el 31 de diciembre de 2011.
En el artículo 9 de la mencionada Resolución se indicó:
“ARTÍCULO 9. PERÍODO POSTERIOR AL 30 DE JUNIO DE 2011 – FASE FINAL: SEGUNDA ETAPA. Los distribuidores que, de acuerdo con el informe de la interventoría del Esquema Centralizado de Administración y Recaudo de los recursos del Margen de Seguridad definido en la Resolución CREG 045 de 2008 con corte a 30 de Junio de 2011, hayan cumplido el 100% de sus metas asignadas para el período enero-junio de 2011, tendrán derecho a continuar recibiendo metas libres para re-asignar.
Los distribuidores que no hayan cumplido el 100% de sus metas para ese mismo período, perderán las metas no cumplidas, las cuales constituirán metas libres para re-asignar. Para estos efectos, la CREG mediante circular dirigida a los distribuidores que cumplieron el 100% de sus metas a 30 de Junio, solicitará que estos manifiesten en un plazo de una semana si tienen ó no interés en recibir metas adicionales y la cantidad que desearían recibir, para ser ejecutadas hasta el 31 de diciembre de 2011. En esta misma circular, la CREG indicará las cantidades libres para reasignar.
Una vez recibidas las solicitudes de los distribuidores habilitados para ejecutar metas adicionales, la CREG hará la reasignación de las metas disponibles siguiendo el procedimiento descrito en los literales c y d del Artículo 8 de esta Resolución. Las metas finalmente asignadas serán establecidas mediante Resolución de la CREG.”
Mediante comunicaciones con radicados CREG E-2011-006774 y E-2011-007069, la interventoría del Esquema Centralizado de Administración y Recaudo de los recursos del margen de seguridad entregó un informe, con corte a 30 de junio de 2011, sobre la ejecución de las tareas de recolección, clasificación, destrucción y adecuación de cilindros universales, así como de las tareas de introducción de cilindros marcados, nuevos o adecuados, a través de su registro en el SICMA, por parte de los distribuidores de GLP durante la primera etapa de la fase final de retiro de cilindros.
Con base en este informe la CREG estimó el cumplimiento de las metas de recolección de cilindros universales asignadas por la Resolución CREG 004 de 2011. Para la estimación de este cumplimiento la CREG tuvo en consideración tres aspectos:
1. No se considera una cantidad de cilindros universales recolectados superior a la meta asignada en su correspondiente tamaño.
2. La meta se estima como la cantidad recolectada de cilindros universales que ha sido reemplazada por cilindros marcados (nuevos y/o adecuados). Esto es, el cumplimiento de la meta por tamaño se estima como el menor valor entre los cilindros recogidos y los cilindros nuevos más adecuados registrados en el SICMA. (concepto CREG S-2011-003179)
3. Cuando una empresa ha cumplido su meta de recolección de cilindros universales en un tamaño determinado, pero ha introducido más cilindros marcados en ese tamaño que los recolectados, la diferencia se le tiene en cuenta como cilindros marcados para estimar el cumplimiento en el otro tamaño, si lo necesita, dado que las empresas deben recoger los cilindros en los tamaños indicados pero para su reemplazo pueden introducir cilindros de cualquier tamaño (concepto CREG S-2010-002901).
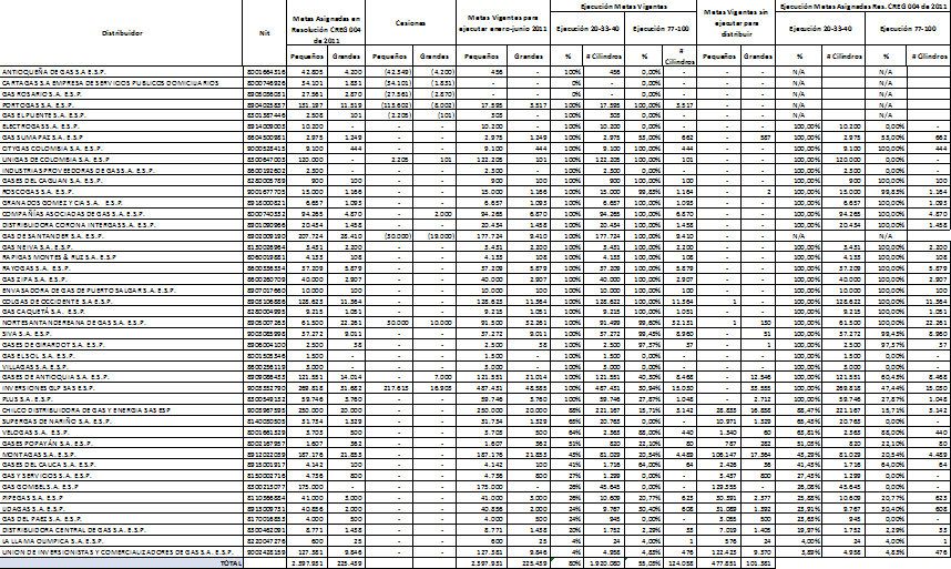
Los resultados de la ejecución de las metas de recolección de cilindros universales, para su reemplazo por cilindros marcados, asignadas a las empresas distribuidoras se presentan en la Tabla 1.

TABLA 1. ESTIMACIÓN CUMPLIMIENTO METAS RESOLUCIÓN CREG 004 DE 2011
Por lo tanto, de acuerdo con lo establecido en el artículo 9 de la Resolución CREG 147 de 2011, las empresas con ejecución de metas igual al 100% podrán solicitar metas adicionales para ejecutar durante el período julio a diciembre de 2011, así:

TABLA 2. EMPRESAS HABILITADAS PARA SOLICITAR METAS ADICIONALES EN LOS TAMAÑOS INDICADOS
Las empresas listadas en la Tabla 2 deberán informarle a la CREG por escrito, a través del representante legal, la cantidad de cilindros universales que desean recolectar y reemplazar por cilindros marcados de su propiedad, y según estén habilitadas o no para solicitar sobre el tamaño indicado. Esta comunicación deberá ser recibida en la CREG a más tardar el próximo 4 de agosto de 2011.
Las cantidades disponibles para re-asignar se muestran en la Tabla 3.

TABLA 3. METAS DISPONIBLES PARA LA SEGUNDA ETAPA
Según las solicitudes recibidas y aplicando lo dispuesto en el artículo 8, literales c y d, de la Resolución CREG 147 de 2011, la CREG asignará las metas definitivas mediante Resolución, las cuales serán de obligatorio cumplimiento por cada una de las empresas que resulten asignadas. Si no se recibe la comunicación de alguna de las empresas habilitadas según la Tabla 2 dentro del término establecido en esta Circular, la CREG entenderá que la empresa ha tomado la decisión de no recibir más metas.
Cordialmente,
JUAN IGNACIO CAICEDO AYERBE
Director Ejecutivo ( E )
|
Doble click sobre el archivo anexo para bajarlo(Resoluciones CREG) |
Doble click sobre el archivo anexo para bajarlo(Documento CREG) |
|