| Publicación Diario Oficial No.: | , el día: |
| Publicada en la WEB CREG el: | |
C I R C U L A R No. 038
PARA: GERENTES DE LAS EMPRESAS DISTRIBUIDORAS Y COMERCIALIZADORAS DEL SECTOR ELÉCTRICO
DE: DIRECCIÓN EJECUTIVA DE LA COMISIÓN DE REGULACIÓN DE ENERGÍA Y GAS
ASUNTO: REPORTE DE INFORMACIÓN DE CALIDAD.
Fecha: Noviembre 28 de 2001
La Dirección Ejecutiva de la Comisión de Regulación de Energía y Gas, en desarrollo de lo previsto en el artículo 73 de la Ley 142, y en particular en lo establecido en el Numeral 6.3.4.1 del Anexo General de la Resolución CREG-070 de 1998, modificado por el Artículo 7o. de la Resolución CREG-096 de 2000, se permite aclarar e informar a los Operadores de Red y empresas comercializadoras del sector eléctrico, los formatos y medios autorizados para el reporte de la Información de calidad del STR y/o SDL que deben efectuar.
Información Reportada por los Operadores de Red (OR)
La información de georeferenciación correspondiente a las variables de longitud, latitud de alimentadores y transformadores se debe reportar en el sistema de coordenadas geográficas latitud/longitud WGS84 en sistema decimal y la altitud se diligenciará en metros sobre el nivel del mar. Para quienes utilicen un sistema distinto de coordenadas, podrán usar los esquemas estándar de conversión de las herramientas GIS para que esta información sea reportada conforme a lo previsto en la circular 018 de 2000.
Lo anterior permite integrar la información de todas las empresas, además de facilitar el control de la calidad de dicha información.
La información de identificación del usuario en el formato 1.1, deberá corresponder a partir del 1 de enero de 2002 a la dirección del usuario.
A partir del 1 de enero del 2002 la información de los formatos 1.2, 1.3, 1.4 y 1.5 se cargará exclusivamente vía WEB conforme a los procedimientos definidos en el Anexo 1 de la presente circular. Así mismo la información del formato 1,1 se enviará por este medio. En consecuencia no se aceptará por ningún motivo que se envíen a ésta Comisión la información por medio distinto.
Información Reportada por los Comercializadores
Los comercializadores enviarán igualmente los formatos 2.1.1 y 2.1.2 conforme a lo dispuesto en el Anexo 2 de la presente circular, y con las fechas previstas en la resolución CREG 096 de 2000. Los comercializadores que así reporten la información del formato 2.1 de la presente CIRCULAR, no requerirán reportar la información de las aplicaciones de instructivo eléctrico, relacionadas con la información solicitada en dicho formato. Quedando por diligenciar, en consecuencia, solamente la información de cuentas por cobrar.
La información reportada para un mes dado corresponderá a la información de facturas expedidas entre el primer y el último día del mes.
Los reportes de información que se realizan entre el Operador de Red y el Comercializador se siguen realizando según las instrucciones dadas en la circular 018 del 2000.
Cordialmente,
DAVID REINSTEIN
Director Ejecutivo
ANEXO 1
1. Información a reportar por parte del Operador de Red
FORMATO 1.1: Información Básica Usuario
FORMATO 1.2: Información Básica de Alimentadores
FORMATO 1.3: Información Básica de Transformadores
FORMATO 1.4: Interrupciones de Alimentadores
FORMATO 1.5: Interrupciones de Transformadores
FORMATO 1.1
Información Básica Usuario
NIU | Tipo de conexión | Código de conexión | Identificación de usuario |
 |  |  |  |
Donde:
- NIU El NIU debe ser único e inmodificable, salvo que exista razón justificada, caso en el cual la modificación y su causa deberán ser informadas oportunamente al Comercializador con copia a la CREG y a la SSPD, y actualizada la información en las aplicaciones a las que se refiere esta circular. -Número de Identificación del Usuario o Suscriptor: Se refiere al número que el Operador de Red ha asignado a cada uno de los usuarios conectados a su sistema.
- Tipo de conexión: Es la forma como el usuario se conecta al sistema del OR, que puede ser conectado directamente a un alimentador (Nivel IV,III,II) o conectado a través de un transformador de distribución (Nivel I). Se colocará una “P” si la conexión es a un Alimentador o una “T” si corresponde a un Transformador de distribución (sin las comillas).
- Código de conexión Este código deberá coincidir exactamente con los correspondientes códigos que se reporten en los Formatos 1.2, 1.3, 1.4, 1.5 y que debe usar el comercializador en los formatos de compensación.: Código asignado por el Operador de Red al circuito al que pertenece el usuario, el cual corresponde a un Transformador de Distribución o a un Alimentador del Sistema que opera el OR.
- Identificación del Suscriptor: Ésta información corresponde a la dirección del usuario.
Un ejemplo del formato CSV (comma separated value) es:
La primera línea corresponde a los títulos de las variables, y se ignora en el momento de la carga.
La CREG ha dispuesto en sus aplicaciones opciones para que la información pueda ser cargada de forma fragmentada, en archivos más pequeños, con el objeto de reducir errores en el envío de la información por problemas de comunicación.
Opcionalmente se puede enviar a la CREG vía WEB los archivos CSV comprimidos en formato zip, que permiten enviar un mayor volumen de información.
En cualquier caso recomendamos que los archivos NO excedan los 2MB, con el fin de evitar problemas en el envío de la información a las bases de datos de la CREG, originados en deficiencias en la comunicación.
De esta forma se podrá cargar la totalidad de la información de los usuarios, segmentando en diferentes archivos la información.
FORMATO 1.2
Información Básica de Alimentadores
Código Alimentador | Subestación | Voltaje Nominal (kV) | Potencia Promedio Mensual (kW) | Grupo | Usuarios | Longitud Red (kms) | Relé de Recierre | Longitud | Latitud | Altitud | Propiedad | Tipo |
 |  |  |  |  |  |  |  |  |  |  |  |  |
- Código Alimentador Este código deberá coincidir exactamente con el correspondiente código que se reporte en el Formatos 1.1.: identificador asignado por el Operador de Red para cada uno de los circuitos correspondientes a alimentadores primarios del sistema que opera.
- Subestación: Nombre de la subestación a la que se encuentra asociado el Alimentador Primario.
- Voltaje Nominal (kV): Corresponde al voltaje de operación del Alimentador Primario.
- Potencia Promedio Mensual (kW): Corresponde a la potencia promedio mensual registrada en el Alimentador Primario durante el periodo que se reporta. La unidad de medida es kW. Esta variable no puede tener valores de 0.
- Grupo: Corresponde al número del Grupo al que pertenece el Alimentador Primario, de conformidad con las disposiciones del Reglamento de Distribución y los definidos en el Art. 3 de la Res. 089 de 1999.
- Usuarios: Número de usuarios que están directamente conectados al circuito o indirectamente a través de transformadores.
- Longitud Red (Kms): Corresponde a la longitud del circuito (principal más ramales). Esta variable no puede tener valores de 0
- Relé de Recierre (S/N): Hace referencia a la tenencia o no de relé de recierre en el circuito. Se diligencia una “S” en el caso que presente relé y este en operación y una “N” en el caso contrario.
- Longitud: Corresponde a información georeferenciada de la posición donde parte el circuito Por ejemplo se puede referenciar el respectivo transformador de potencia., en cuanto a longitud en grados decimales latitud/longitud WGS84.
- Latitud: Corresponde a información georeferenciada de la posición donde parte el circuito4, en cuanto a latitud en grados decimales latitud/longitud WGS84.
- Altitud: Corresponde a información georeferenciada de la posición donde parte el circuito4, en cuanto a altitud en metros sobre el nivel del mar.
- Propiedad: Esta variable hace referencia a la propiedad del circuito, es decir si pertenece al OR ó no. Se diligencia una “S” en el caso que sea de propiedad del OR y una “N” en el caso contrario.
- Tipo: Hace referencia al tipo de circuito, esto es si es aéreo (se diligencia una “A”) ó subterráneo (se diligencia una “S”).
Un ejemplo del formato CSV (comma separated value) es:
FORMATO 1.3
Información Básica de Transformadores
Código
Transformador | Código Alimentador | Capacidad del Transformador (kW) | Grupo | Usuarios | Longitud | Latitud | Altitud | Propiedad |
 |  |  |  |  |  |  |  |  |
- Código Transformador Este código deberá coincidir exactamente con el correspondientes código que se reporte en el Formatos 1.1.: identificador interno del Operador de Red para cada uno de los circuitos correspondientes a Transformadores de Distribución.
- Código Alimentador Este código deberá coincidir exactamente con el correspondientes código que se reporte en los Formatos 1.1 y 1.2: Se refiere al identificador interno de la empresa del circuito correspondiente al alimentador primario al que se conecta el transformador en cuestión, y por lo tanto, deberá coincidir exactamente con los códigos reportados por el OR en el Formato 1.2. Si para un transformador no se reporta el código del alimentador, ó se reporta un código que no coincida con los reportados en el formato 1.2 se entenderá que para el respectivo transformador no se suministró la información de calidad, a la que se refiere la resoluciones CREG 70 de 1998 y CREG 096 de 2000.
- Capacidad del Transformador (kW): Corresponde a la capacidad del respectivo transformador de distribución medida en kW.
- Grupo: Corresponde al número del Grupo al que pertenece el transformador Primario, de conformidad con las disposiciones del Reglamento de Distribución y los definidos en el Art. 3 de la Res. 089 de 1999.
- Usuarios: Número de usuarios que están conectados al transformador.
- Longitud: Corresponde a información georeferenciada de la posición del transformador en cuanto a longitud en grados decimales latitud/longitud WGS84.
- Latitud: Corresponde a información georeferenciada de la posición del transformador en cuanto a latitud en grados decimales latitud/longitud WGS84.
- Altitud: Corresponde a información georeferenciada de la posición del transformador en cuanto a altitud en metros sobre el nivel del mar.
- Propiedad: Esta variable hacer referencia a la propiedad del circuito, es decir si pertenece al OR ó no. Se diligencia una “S” en el caso que sea de propiedad del OR y una “N” en el caso contrario.
Un ejemplo del formato CSV es:
FORMATO 1.4
Interrupciones de Alimentadores
Código
Alimentador | Demanda de
energía | Menores a 1 minuto | Declaración de Fuerza Mayor | Otras Exclusiones | Programadas | No Programadas |
 |  | Interr. | Min. | Interr. | Min. | Interr.Min.Interr.MinInterrMin |
- Código Alimentador Este código deberá coincidir exactamente con el correspondiente código que se reporte en los Formatos 1.1 y 1.2: Corresponde al identificador asignado por el Operador de Red para cada uno de los circuitos correspondientes a alimentadores primarios. En el caso que el Operador de Red no reporte aquí alguno(s) de l(os) alimentador(es) reportado(s) en el Formato 1.2, se entenderá que dicho(s) alimentador(es) no presentó indicadores de calidad del servicio, en el sentido de lo dispuesto en la resolución CREG 070 de 1998, por tanto se supondrá que este(os) alimentadores compensarán con los indicadores por defecto.
- Demanda de energía: es la demanda mensual de energía, registrada (kWh), en el respectivo alimentador.
- Menores a 1 Minuto – Interr.: Número total de interrupciones del Alimentador menores a 1 minuto, para el período que se reporta.
- Menores a 1 Minuto – Min: Duración total en minutos de las interrupciones del Alimentador menores a 1 minutos, para el período que se reporta.
- Declaración de Fuerza Mayor – Interr.: Número total de interrupciones del Alimentador que son declaradas por el OR como de fuerza mayor ante la SSPD, según la Resolución CREG 096/2000, para el período que se reporta.
- Declaración de Fuerza Mayor – Min.: Duración total en minutos de las interrupciones del Alimentador que son declaradas por el OR como de fuerza mayor ante la SSPD, según la Resolución CREG 096/2000, para el período que se reporta.
- Otras Exclusiones – Interr.: Número total de interrupciones del Alimentador asociadas a otras exclusiones (adicionales a las declaradas por fuerza mayor según Resolución CREG 096/2000), no consideradas en el cálculo de los indicadores de calidad durante el período que se reporta.
- Otras Exclusiones – Min.: Duración total en minutos de las interrupciones del Alimentador asociadas a otras exclusiones (adicionales a las declaradas por fuerza mayor según Resolución CREG 096/2000), no consideradas en el cálculo de los indicadores de calidad durante el período que se reporta.
- Programadas – Interr.: Número total de Interrupciones programadas del Alimentador (sin incluir las interrupciones excluidas del cálculo de los indicadores de calidad de conformidad con la Resolución CREG 096/2000), durante el período que se reporta.
- Programadas – Min.: Duración total en minutos de las Interrupciones programadas del Alimentador (sin incluir las interrupciones excluidas del cálculo de los indicadores de calidad de conformidad con la Resolución CREG 096/2000), durante el período que se reporta.
- No Programadas – Interr.: Número total de Interrupciones no programadas del Alimentador (sin incluir las interrupciones excluidas del cálculo de los indicadores de calidad de conformidad con la Resolución CREG 096/2000), durante el período que se reporta.
- No Programadas – Min.: Duración total en minutos de las Interrupciones no programadas del Alimentador (sin incluir las interrupciones excluidas del cálculo de los indicadores de calidad de conformidad con la Resolución CREG 096/2000), durante el período que se reporta.
El Comercializador tomará como Indicador DES reportado el resultado de sumar la Duración (minutos) de las Interrupciones Programadas y de las No Programadas.
El Comercializador tomará como Indicador FES reportado el resultado de sumar el Número Total de Interrupciones de las Interrupciones Programadas y el de las No Programadas.
Por otro lado, para el cálculo de la compensación, como el indicador de calidad DES está reportado en minutos, se deberá pasar a horas dividiendo entre 60, y se deberán tomar los respectivos meses que conforman el trimestre, siguiendo las disposiciones de la Resolución CREG-070 de 1998 y 096 del 2000 y aquéllas que la modifiquen o sustituyan.
Un ejemplo del formato CSV es:
FORMATO 1.5
Interrupciones de Transformadores
Código Transformador | Demanda
de
energía | Menores a 1 minuto | Declaración de Fuerza Mayor (Res 096/2000) | Otras Exclusiones (Res 096/2000) | Programadas | No Programadas |
 |  | Interr. | Min. | Interr. | Min. | Interr.Min.Interr.Min.Interr.Min. |
- Código Transformador Este código deberá coincidir exactamente con el correspondientes código que se reporte en el Formatos 1.3.: Corresponde al identificador que le ha asignado el operador de red a cada uno de los circuitos correspondientes a transformadores. En el caso que el Operador de Red no reporte aquí alguno(s) de los transformadores reportado(s) en el Formato 1.3, se entenderá que dicho(s) transformador(es) no presentó indicadores de calidad del servicio, en el sentido de lo dispuesto en la resolución CREG 070 de 1998, por tanto se supondrá que este(os) transformador(es) compensará(n) con los indicadores por defecto.
- Demanda de energía: es la demanda mensual de energía, registrada (kWh), en el respectivo transformador.
- Menores a 1 Minuto – Interrup.: Número total de interrupciones del Transformador menores a 1 minuto, para el período que se reporta.
- Menores a 1 Minuto – Minutos: Duración total en minutos de las interrupciones del Transformador menores a 1 minuto, para el período que se reporta.
- Declaración de Fuerza Mayor – Interrup.: Número total de interrupciones del Transformador que son declaradas por el OR como de fuerza mayor ante la SSPD, según la Resolución CREG 096/2000, para el período que se reporta.
- Declaración de Fuerza Mayor – Minutos: Duración total en minutos de las interrupciones del Transformador que son declaradas por el OR como de fuerza mayor ante la SSPD, según la Resolución CREG 096/2000, para el período que se reporta.
- Otras Exclusiones – Interrup.: Número total de interrupciones del Transformador asociadas a otras exclusiones (adicionales a las declaradas por fuerza mayor según Resolución CREG 096/2000), no consideradas en el cálculo de los indicadores de calidad durante el período que se reporta.
- Otras Exclusiones – Minutos: Duración total en minutos de las interrupciones del Transformador asociadas a otras exclusiones (adicionales a las declaradas por fuerza mayor según Resolución CREG 096/2000), no consideradas en el cálculo de los indicadores de calidad durante el período que se reporta.
- Programadas – Interrup.: Número total de Interrupciones programadas del Transformador (sin incluir las interrupciones excluidas del cálculo de los indicadores de calidad de conformidad con la Resolución CREG 096/2000), durante el período que se reporta.
- Programadas – Minutos.: Duración total en minutos de las Interrupciones programadas del Transformador (sin incluir las interrupciones excluidas del cálculo de los indicadores de calidad de conformidad con la Resolución CREG 096/2000), durante el período que se reporta.
- No Programadas – Interrup.: Número total de Interrupciones no programadas del Transformador (sin incluir las interrupciones excluidas del cálculo de los indicadores de calidad de conformidad con la Resolución CREG 096/2000), durante el período que se reporta.
- No Programadas – Minutos.: Duración total en minutos de las Interrupciones no programadas del Transformador (sin incluir las interrupciones excluidas del cálculo de los indicadores de calidad de conformidad con la Resolución CREG 096/2000), durante el período que se reporta.
El Comercializador tomará como Indicador DES reportado el resultado de sumar la Duración (minutos) de las Interrupciones Programadas y de las No Programadas.
El Comercializador tomará como Indicador FES reportado el resultado de sumar el Número Total de Interrupciones de las Interrupciones Programadas y el de las No Programadas.
Por otro lado, para el cálculo de la compensación, como el indicador de calidad DES está reportado en minutos, se deberá pasar a horas dividiendo entre 60 (minutos), y se deberán tomar los respectivos meses que conforman el trimestre, siguiendo las disposiciones de la Resolución CREG-070 de 1998 y 096 del 2000 y aquéllas que la modifiquen o sustituyan.
Un ejemplo del formato CSV es:
ANEXO 2
2. Información a reportar por parte del Comercializador
FORMATO 2.1.1: Información Compensación para el sector residencial.
FORMATO 2.1.2: Información Compensación para el sector no residencial o no regulado.
FORMATO 2.1.1
Formato de compensación para el sector Residencial
Se reportará a través de este formato, en archivos de tipo CSV la información siguiente.
NIU | Estrato | Mes | Tipo Factura | Mercado | DES (min.) | FES | Consumos en (kWh) | Ventas $ | Valor Compensado$ | Valor Facturado$ |
 |  |  |  |  |  |  |  |  |  |  |
- NIU El NIU debe ser único e inmodificable, salvo que exista razón justificada, caso en el cual la modificación y su causa deberán ser informadas oportunamente al Comercializador con copia a la CREG y a la SSPD, y actualizada la información en las aplicaciones a las que se refiere esta circular. -Número de Identificación del Usuario o Suscriptor-: Se refiere al número que el Operador de Red asigna a cada uno de los usuarios conectados a su sistema, los cuales son reportados por el Operador en el Formato 1.1.
- Estrato: Es el número que identifica al estrato según la siguiente clasificación:
Tabla 2.1
Código | Estrato |
1 | Bajo- Bajo |
2 | Bajo |
3 | Medio- Bajo |
4 | Medio |
5 | Medio- Alto |
6 | Alto |
- Mes: Corresponde al mes o trimestre que se está compensando. Si el periodo compensado corresponde a un trimestre, se debe asignar los siguientes códigos:
Tabla 2.2
Código | Trimestre |
21 | Primer Trimestre |
22 | Segundo Trimestre |
23 | Tercer Trimestre |
24 | Cuarto Trimestre |
Cuando se trate de compensaciones mensuales, se incluirá un código de 1 (Enero) a 12 (Diciembre).
- Tipo de Factura: ésta variable hace referencia al tipo de facturación y se clasificará según los siguientes códigos:
Tabla 2.3
Código | Tipo de Factura |
1 | Medido |
2 | No medido |
3 | Área común |
4 | Inquilinato |
5 | Barrio Subnormal |
9 | Otros* |
*Otros: se reportará en éste item 9 para aquellas facturas con más de un periodo de lectura o que se refieran a facturas para recuperación de pérdidas.
- Mercado: Es el código del mercado de comercialización donde se efectuo la venta que se está facturando, y conforme a los siguientes códigos de mercados asignados por la CREG según la siguiente tabla .
Tabla 2.4
CÓDIGO | MERCADO/DISTRITO |  | CÓDIGO | MERCADO/DISTRITO |  | CÓDIGO | MERCADO/DISTRITO |
156 | Antioquia |  | 177 | Caucasia |  | 161 | Norte de Santander |
621 | Antioquia unificado |  | 441 | Costa Atlántica |  | 163 | Pereira |
159 | Arauca |  | 442 | Costa Caribe |  | 301 | Popayán |
601 | Bajo Putumayo |  | 174 | Cundinamarca |  | 461 | Putumayo |
176 | Bogota |  | 157 | Choco |  | 164 | Quindío |
158 | Boyacá |  | 178 | Entrerios |  | 303 | Ruitoque |
162 | Caldas |  | 561 | Epsau |  | 381 | San Andrés |
165 | Cali |  | 170 | Huila |  | 160 | Santander |
181 | Candelaria |  | 155 | Medellín |  | 481 | Sibundoy |
171 | Caquetá |  | 641 | Medellín unificado |  | 169 | Tolima |
168 | Cartago |  | 175 | Meta |  | 166 | Tulúa |
172 | Cauca |  | 173 | Nariño |  |  |  |
Nota: Esta información se mantendrá actualizada a través del sitio WEB de la CREG, con el fin de que se conozcan los códigos de nuevos mercados de comercialización que puedan aparecer.
- DES Circuito: Se refiere al indicador DES utilizado por el comercializador en el cálculo de la respectiva compensación al Usuario (minutos).
- FES Circuito: Se refiere al indicador FES utilizado por el comercializador en el cálculo de la respectiva compensación al Usuario (número de veces).
- Consumos en kWh: Es el consumo en kWh que es facturado y reportada para el respectivo periodo.
- Ventas $: Ventas en $ del periodo reportado.
- Valor Compensado: Corresponde al valor de la compensación efectivamente realizada al usuario en ($), según los dispuesto en la Resolución CREG 096/2000, o aquellas normas que la complementen o modifiquen.
- Valor Facturado: Corresponde al total del valor facturado al usuario en el periodo reportado en pesos ($).
Un ejemplo del formato CSV es:
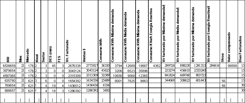
FORMATO 2.1.2
Formato de compensación para el sector No Residencial o No regulado

- NIU -Número de Identificación del Usuario o Suscriptor-: Se refiere al número que el Operador de Red asigna a cada uno de los usuarios conectados a su sistema, los cuales son reportados por el Operador en el Formato 1.1.
- Mes: Corresponde al mes que se está compensando. Si el periodo compensado corresponde a un trimestre, se debe asignar los siguientes códigos de la Tabla 2.2 del presente Anexo. De igual forma cuando se trate de compensaciones mensuales, se incluirá un código de 1 (Enero) a 12 (Diciembre).
- Mercado: Es el código asignado por la CREG a cada uno de los mercados de comercialización existentes, y que se describe en la Tabla 2.4 del presente Anexo.
- Niveles de Tensión: Corresponde al nivel de tensión según la siguiente codificación:
Tabla 2.5
Código | Descripción |
1 | Menor a 1 KV |
2 | Entre 1 y 32 KV |
3 | Entre 32 y 64 KV |
4 | Mayor a 64 KV |
- Sector: Clasificación del usuario según el sector de consumo así:
Tabla 2.5
Código | Descripción |
3 | Industrial |
4 | Comercial |
5 | Oficial |
6 | Provisional |
7 | Alumbrado Público |
8 | Especial |
9 | Áreas comunes |
10 | Otros* |
*Otros: se reportará en éste item 10 para aquellas facturas con más de un periodo de lectura o que se refieran a facturas para recuperación de pérdidas.
- DES Circuito: Se refiere al indicador DES utilizado por el comercializador en el cálculo de la respectiva compensación al Usuario.
- FES Circuito: Se refiere al indicador FES utilizado por el comercializador en el cálculo de la respectiva compensación al Usuario.
- Valor Facturado: corresponde al Valor Total facturado en pesos ($) al usuario en periodo reportado.
- Ventas $: Valor total facturado en pesos por concepto de energía activa en el periodo reportado.
- Consumo kWh: Consumo total de energía activa (kWh) en el periodo reportado.
- Consumo kWh- Máxima demanda: Consumo energía activa (kWh) liquidado con tarifas de las horas de máxima demanda. Aplica para aquellas facturas con facturación horaria.
- Consumo kWh- Media demanda: Consumo energía activa (kWh) liquidado con tarifas de las horas de media demanda. Aplica para aquellas facturas con facturación horaria.
- Consumo KWh- Mínima demanda: Consumo energía activa (kWh) liquidado con tarifas de las horas de mínima demanda. Aplica para aquellas facturas con facturación horaria.
- Consumo KVarh- Energía Reactiva: Total del consumo de energía reactiva en Kvarh en el periodo reportado.
- Valor facturado $ - Máxima demanda: Total del valor facturado en $ por máxima demanda.
- Valor facturado $ - Media demanda: Total del valor facturado en $ por media demanda.
- Valor facturado $ - Mínima demanda: Total del valor facturado en $ por mínima demanda.
- Valor facturado kVarh- Energía Reactiva: Total del valor facturado en $ por energía reactiva.
- Valor Compensado: Corresponde al valor de la compensación efectivamente realizada al usuario en ($), según las disposiciones de la Resolución CREG 096/2000.
- Días facturados: corresponde al número de días facturados en el periodo.
Finalmente un formato como
Se verá como un CSV como sigue así:
|
Doble click sobre el archivo anexo para bajarlo(Resoluciones CREG) |
Doble click sobre el archivo anexo para bajarlo(Documento CREG) |
|