| Publicación Diario Oficial No.: | 47.796, el día:09/August/2010 |
| Publicada en la WEB CREG el: | 09/August/2010 |
| República de Colombia
Ministerio de Minas y Energía
COMISIÓN DE REGULACIÓN DE ENERGÍA Y GAS
RESOLUCIÓN No. 110 DE 2010
( 01 JUL. 2010 )
Por la cual se aprueba la base de activos y los parámetros necesarios para determinar la remuneración de Empresa de Energía de Bogotá S.A. E.S.P. en el Sistema de Transmisión Nacional.
LA COMISIÓN DE REGULACIÓN DE ENERGÍA Y GAS
En ejercicio de sus atribuciones constitucionales y legales, en especial las conferidas por las Leyes 142 y 143 de 1994, y en desarrollo de los Decretos 1524 y 2253 de 1994 y
CONSIDERANDO QUE:
De acuerdo con lo previsto en los artículos 23, literales c) y d), y 41 de la Ley 143 de 1994, es función de la Comisión de Regulación de Energía y Gas definir la metodología de cálculo y fijar las tarifas por el acceso y uso de las redes eléctricas.
Mediante la Resolución CREG 011 de 2009 se estableció la metodología y fórmulas tarifarias para la remuneración de la actividad de transmisión de energía eléctrica en el Sistema de Transmisión Nacional.
Empresa de Energía de Bogotá S.A. E.S.P., mediante comunicación radicada en la CREG bajo el número E-2009-003708 sometió a aprobación de la Comisión la base de activos que representa actualmente ante el LAC.
Empresa de Energía de Bogotá S.A. E.S.P. reportó a la CREG la base de activos eléctricos del STN que se encuentran en operación clasificados según el listado de unidades constructivas que aparece en el Capítulo 3 del Anexo General de la Resolución CREG 011 de 2009.
La información relativa a los activos cuyo valor no debe incluirse en el cálculo de los cargos en los términos del artículo 87 numeral 87.9 de la Ley 142 de 1994, en la forma en que quedó modificado por el artículo 143 de la Ley 1151 de 2007, provino del Transmisor por ser el responsable de su reporte en los términos de la citada disposición y de lo dispuesto en la Resolución CREG 011 de 2009.
En respuesta a la Circular CREG 018 de 2009, Empresa de Energía de Bogotá S.A. E.S.P. entregó la información solicitada de AOM, mediante la comunicación radicada en la CREG con el número E-2009-005437.
Empresa de Energía de Bogotá S.A. E.S.P., mediante las comunicaciones radicadas en la CREG bajo los números E-2009-006993, E-2009-007882, E-2009-008482, E-2010-003371 y E-2010-003391 presentó las aclaraciones solicitadas por la Comisión.
El día 24 de mayo de 2010 se consultaron las cifras del Plan Único de Cuentas del Sistema Único de Información administrado por la Superintendencia de Servicios Públicos Domiciliarios y se obtuvieron las correspondientes a Empresa de Energía de Bogotá S.A. E.S.P., para los años 2001 a 2007. En la misma fecha se consultó el Sistema de Costos y Gastos del SUI, para la actividad de transmisión y se obtuvieron los datos correspondientes a Empresa de Energía de Bogotá S.A. E.S.P. para los años 2006 y 2007.
Al interior de la Comisión se analizó la información presentada por Empresa de Energía de Bogotá S.A. E.S.P. conjuntamente con la información adicional de los activos del STN operados por la misma, que se encontraba a disposición de la CREG.
Como resultado del análisis de la información y de las respuestas presentadas a la Comisión por Empresa de Energía de Bogotá S.A. E.S.P., se realizaron los ajustes pertinentes a la base de activos reportada, así como a la información adicional, según se relaciona, con su respectivo sustento, en el documento soporte de la presente Resolución.
Aplicada la metodología contenida en la Resolución CREG 011 de 2009 se calcularon para los activos representados por Empresa de Energía de Bogotá S.A. E.S.P., las siguientes variables principales:
Costo Anual | Pesos de diciembre de 2008 |
| Costo Anual Equivalente del Activo Eléctrico (CAEAj) | 55.524.280.458 |
| Valor de los gastos de AOM (VAOMj) | 14.460.919.041 |
| Costo Anual Equivalente de Terrenos (CAETj) | 73.424.559 |
| Costo Anual Equivalente de Servidumbres (CAESj) | 1.470.957.619 |
| Otros Ingresos (OIj) | 120.931.775 |
Valor anual de AOM | Pesos de diciembre de 2008 | Porcentaje |
| Gastado (AOMGj,01-07) | 15.065.739.569 | 3,23% |
| Remunerado (AOMRj,08) | 13.856.098.512 | 2,97% |
La Comisión de Regulación de Energía y Gas, en su sesión 458 del 1 de julio de 2010, aprobó la base de activos y los parámetros necesarios para determinar la remuneración de Empresa de Energía de Bogotá S.A. E.S.P. en el Sistema de Transmisión Nacional.
RESUELVE:
Artículo 1. Ingreso Anual. El Ingreso Anual (IATj) por los activos representados por Empresa de Energía de Bogotá S.A. E.S.P. en el Sistema de Transmisión Nacional, calculado en la forma establecida en la Resolución CREG 011 de 2009, es el siguiente:
Ingreso Anual | Pesos de diciembre de 2008 |
| Ingreso Anual del Transmisor (IATj) | 74.184.863.924 |
Artículo 2. Porcentaje de AOM de referencia. El Porcentaje de AOM de referencia (PAOMj,ref) para Empresa de Energía de Bogotá S.A. E.S.P., calculado en la forma establecida en la Resolución CREG 011 de 2009, es igual a:
Porcentaje de AOM | (%) |
De referencia (PAOMj,ref) | 3,10% |
Parágrafo. Antes de iniciar la aplicación de esta resolución, Empresa de Energía de Bogotá S.A. E.S.P. deberá actualizar el porcentaje de AOM de acuerdo con lo previsto en la Resolución CREG 050 de 2010, teniendo en cuenta la información de AOM correspondiente al año 2009.
Artículo 3. Base de Activos. Se aprueba la base de activos relacionada en el Anexo de la presente Resolución para Empresa de Energía de Bogotá S.A. E.S.P. en el Sistema de Transmisión Nacional.
Parágrafo. La base de activos del Anexo de la presente Resolución corresponde a los activos diferentes a los construidos mediante procesos de libre concurrencia, regulados mediante las Resoluciones CREG 004 de 1999 y 022 de 2001 y aquellas que la modifiquen, adicionen o sustituyan.
Artículo 4. Costo de Reposición de los Activos Eléctricos. El costo de reposición de los activos eléctricos (CREj) remunerados mediante cargos por uso a Empresa de Energía de Bogotá S.A. E.S.P., calculado con la base de activos al que hace referencia el artículo 3 de la presente Resolución y de acuerdo con lo señalado en la Resolución CREG 011 de 2009 es:
Costo de Reposición | Pesos de diciembre de 2008 |
| Costo de reposición de activos eléctricos (CREj) | 465.769.321.843 |
La base de activos y los valores aquí aprobados resultan de las variables y de la información que se identifican en la parte motiva de este acto y de las contenidas en el documento soporte.
Artículo 5. Vigencia. La base de activos y los valores aprobados en esta Resolución estarán vigentes desde la fecha en que quede en firme y hasta el 25 de febrero de 2014 y se empezarán a aplicar en la forma prevista en el artículo 21 de la Resolución CREG 011 de 2009. Vencido su período de vigencia, continuarán rigiendo hasta que la Comisión apruebe los nuevos.
Artículo 6. Recursos. La presente Resolución deberá notificarse a Empresa de Energía de Bogotá S.A. E.S.P. Contra lo dispuesto en este acto procede el recurso de reposición, el cual se podrá interponer ante la Dirección Ejecutiva de la CREG dentro de los cinco (5) días hábiles siguientes a la fecha de su notificación.
NOTIFÍQUESE PUBLÍQUESE Y CÚMPLASE
Dada en Bogotá, D.C. a los 01 JUL. 2010
SILVANA GIAIMO CHÁVEZ | JAVIER AUGUSTO DÍAZ VELASCO |
Viceministra de Minas y Energía | Director Ejecutivo |
Delegada del Ministro de Minas y Energía
Presidente |  |
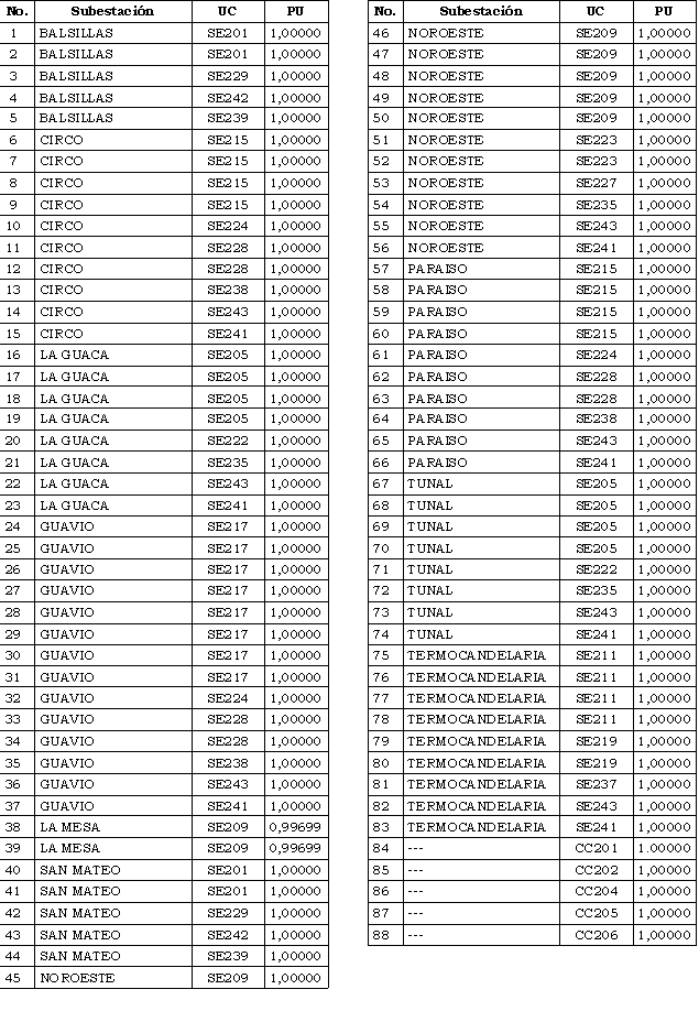
ANEXO BASE DE ACTIVOS APROBADA
Base de activos para Empresa de Energía de Bogotá S.A. E.S.P. clasificada con las Unidades Constructivas definidas en el Capítulo 3 del Anexo General de la Resolución CREG 011 de 2009.
Para cada activo se indica el porcentaje (PU) de la Unidad Constructiva (UC) remunerado al Transmisor mediante cargos por uso.
1. Subestaciones
2. Líneas de transmisión
SILVANA GIAIMO CHÁVEZ | JAVIER AUGUSTO DÍAZ VELASCO |
Viceministra de Minas y Energía
Delegada del Ministro de Minas y Energía | Director Ejecutivo |
Presidente |  |
|
Doble click sobre el archivo anexo para bajarlo(Resoluciones CREG) |
Doble click sobre el archivo anexo para bajarlo(Documento CREG) |
|