| Publicación Diario Oficial No.: | , el día: |
| Publicada en la WEB CREG el: | |
| RESOLUCIÓN No. 114 (29 AGO. 2001)
Por la cual se señala la contribución que deben pagar cada una de las entidades reguladas por el año 2001.
LA COMISIÓN DE REGULACIÓN DE ENERGÍA Y GAS
en ejercicio de las atribuciones legales que le confieren los Artículos 85 de la Ley 142 de 1994 y 22 de la Ley 143 de 1994, y el Decreto 2461 de 1999, y
C O N S I D E R A N D O:
Que la Comisión de Regulación de Energía y Gas - CREG, tiene bajo su competencia la función de regulación de las actividades que desarrollan los distintos agentes económicos que participan en los servicios públicos de gas combustible y de energía eléctrica;
Que para efectos de recuperar los costos del servicio de regulación atribuido a la Comisión, los Artículos 85 de la Ley 142 de 1994 y 22 de la Ley 143 de 1994, desarrollados por el Decreto 2461 de 1999, fijaron una contribución especial que será sufragada por todas las entidades sujetas a su regulación, la cual deberá ser liquidada con sujeción al sistema y metodología definidas por la normatividad que rige la materia;
Que mediante Resolución CREG-113 de 2001, expedida por la Comisión de Regulación de Energía y Gas, se señaló el monto total de la contribución aplicable al año 2001;
Que teniendo como fundamento las atribuciones conferidas por las disposiciones mencionadas, la Comisión tiene a su cargo la liquidación del monto de la contribución que se aplicará a cada una de las entidades sometidas a regulación, con sujeción a los mandatos consagrados en los Artículos 20 y 21 del Decreto 2461 de 1999, para los subsectores de energía eléctrica y de gas combustible, por el año 2001;
Que la Comisión en su sesión No. 160 del 29 de agosto de 2001, aprobó la liquidación de las contribuciones por el año 2001;
Que conforme a lo expuesto;
R E S U E L V E:
ARTÍCULO 1o. Las entidades del sector eléctrico sujetas a regulación, cancelarán el monto de la contribución especial, por el año 2001, así:
PARAGRAFO. Para los efectos de la presente Resolución, el sector eléctrico comprende las actividades definidas en el Artículo 1o. de la Ley 143 de 1994.
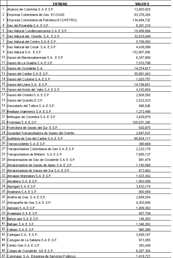
ARTÍCULO 2o. Las entidades del sector gas combustible sujetas a regulación, cancelarán el monto de la contribución especial por el año 2001, así:
ARTÍCULO 3o. El pago de la contribución a que se refiere esta Resolución deberá efectuarse dentro de los treinta (30) días calendario siguientes a la fecha en que este acto se encuentre en firme para la respectiva empresa. El pago deberá efectuarse a nombre de FIDUCOLOMBIA S.A.- FIDEICOMISO-CREG, en BANCOLOMBIA Cuenta Nacional No. 1260-250856-3.
ARTÍCULO 4o. Para efectos de la contabilización del recaudo de las respectivas contribuciones, se debe remitir por correo a la sede de la Comisión de Regulación de Energía y Gas la copia al carbón de la consignación debidamente sellada o timbrada por el respectivo Banco, dentro de los cinco (5) días siguientes a su pago.
ARTÍCULO 5o. La presente providencia se notificará conforme a lo previsto en los Artículos 44 y 45 del Código Contencioso Administrativo, y contra ella procede el recurso de reposición, el cual podrá interponerse ante la Dirección Ejecutiva de la Comisión dentro de los cinco (5) días hábiles siguientes a la diligencia de notificación personal o a la desfijación del edicto, según fuere el caso.
ARTICULO 6o. La presente Resolución rige a partir de la fecha en que se encuentre en firme.
COMUNÍQUESE, NOTIFÍQUESE Y CÚMPLASE
Dada en Bogotá, D.C., a los
RAMIRO VALENCIA COSSIO | DAVID REINSTEIN BENÍTEZ |
Ministro de Minas y Energía | Director Ejecutivo |
Presidente |  |
|
Doble click sobre el archivo anexo para bajarlo(Resoluciones CREG) |
Doble click sobre el archivo anexo para bajarlo(Documento CREG) |
|