| Publicación Diario Oficial No.: | 46.584, el día:28/March/2007 |
| Publicada en la WEB CREG el: | 27/March/2007 |
| RESOLUCIÓN No.029 ( 26 MAR. 2007 ) Por la cual se modifica Parágrafo del Artículo 1 de la Resolución CREG 112 de 2006 y el Artículo 7 de la Resolución CREG 008 de 2007
LA COMISIÓN DE REGULACIÓN DE ENERGÍA Y GAS
En ejercicio de sus facultades legales, en especial las conferidas por las Leyes 142 y 143 de 1994 y de acuerdo con los Decretos 2253 de 1994, y
C O N S I D E R A N D O :
Que mediante la Resolución CREG-071 de 2006 la Comisión estableció la metodología para la remuneración del Cargo por Confiabilidad en el Mercado Mayorista;
Que según lo establecido en la Resolución CREG-071 de 2006, las Obligaciones de Energía Firme para cubrir la demanda del Sistema Interconectado Nacional se asignarán mediante una Subasta que debe realizar el Administrador del Sistema de Intercambios Comerciales, en la cual podrán participar tanto los agentes generadores con plantas o unidades existentes como todos los interesados en la ejecución de proyectos nuevos de generación de energía eléctrica;
Que mediante la Resolución CREG-112 de 2006 la Comisión dispuso que el Administrador del Sistema de Intercambios Comerciales llevará un proceso de Promoción de la Subasta para la Asignación de Obligaciones de Energía Firme del Cargo por Confiabilidad, con el fin de convocar a inversionistas y obtener una adecuada concurrencia en la Subasta para la asignación de Obligaciones de Energía Firme, y garantizar una oferta energética en las mejores condiciones de eficiencia;
Que de conformidad con lo establecido en el numeral 2 del artículo 1 de la Resolución CREG-097 de 2004, la presente Resolución no está sometida a las disposiciones sobre publicidad de proyectos de regulaciones previstas en el artículo 9 del Decreto 2696 de 2004, por razones de oportunidad, teniendo en cuenta el cronograma previsto por la CREG para llevar a cabo la primera Subasta para la Asignación de las Obligaciones de Energía Firme, durante el 2007;
Que la Comisión de Regulación de Energía y Gas, en su sesión de marzo 26 de 2007, aprobó las disposiciones contenidas en la presente Resolución;
R E S U E L V E:
ARTÍCULO 1. Modifíquese el Parágrafo del Artículo 1 de la Resolución CREG 112 de 2006, el cual quedará así:
“PARÁGRAFO. Para la primera Subasta de Asignación de Obligaciones de Energía Firme, el ASIC deberá contratar un Promotor de la Subasta que comience actividades a más tardar el 1 de junio de 2007”.
ARTÍCULO 2. Modifíquese el Artículo 7 de la Resolución CREG 008 de 2007, el cual quedará así:
“ARTÍCULO 7. Metodología para calcular la Comisión de Éxito. Para los efectos de la promoción de la Subasta de que trata la Resolución CREG 112 de 2006, la Comisión de Éxito que se pagará al Promotor de la Subasta será la que resulte de aplicar la siguiente fórmula:
Donde:
COMEXP: Valor en dólares americanos por concepto de Comisión de Éxito que recibirá el Promotor de la Subasta conforme a la metodología que se establece en este Artículo.
COMEX: Comisión de Éxito en dólares americanos resultante del proceso de selección del Promotor de la Subasta.
: Factor igual a cinco décimas (0.50) si se cumple la siguiente condición: Que en la primera ronda de la Subasta se presenten mínimo dos (2) Agentes Nuevos con Plantas y/o Unidades de Generación y que al menos una de ellas sea de 700 GWh Año ó más de ENFICC. De no cumplirse dicha condición, este factor será igual a cero (0).
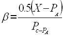
ß: Factor entre cero (0) y cinco décimas (0.50) de acuerdo con la siguiente ecuación:

donde:
X: Precio de apertura de la ronda en la que el último Agente Nuevo con una Planta y/o Unidad de Generación con al menos 700 GWh año o más de ENFICC se haya retirado de la subasta. En caso de que un Agente Nuevo con una Planta y/o Unidad de Generación con al menos 700 GWh año o más de ENFICC resulte con asignación de Obligaciones de Energía Firme en la Subasta, X es igual Pc.
PA: Precio de apertura de la Subasta establecido por la CREG en la Resolución de que trata el artículo 18 de la Resolución CREG 071 de 2006.
PC: Precio de cierre de la Subasta
Los valores de X y PC se obtienen en la Subasta.
PARÁGRAFO. Para establecer la equivalencia de COMEXP en pesos colombianos se tendrá en cuenta la TRM del último día hábil del mes anterior a la realización de la Subasta, publicada por la Superintendencia Financiera.”
ARTÍCULO 3. Vigencia. La presente resolución rige desde su publicación en el Diario Oficial.
PUBLÍQUESE Y CÚMPLASE
Dada en Bogotá, D.C. 26 MAR. 2007
MANUEL MAIGUASHCA OLANO | CAMILO QUINTERO MONTAÑO |
Viceministro de Minas y Energía | Director Ejecutivo |
Delegado del Ministro de Minas y Energía |  |
Presidente |  |
|
Doble click sobre el archivo anexo para bajarlo(Resoluciones CREG) |
Doble click sobre el archivo anexo para bajarlo(Documento CREG) |
|