| Publicación Diario Oficial No.: | , el día: |
| Publicada en la WEB CREG el: | |
| RESOLUCIÓN No. 072 ( 29 OCT. 2002 )
Por la cual se establece la metodología para clasificar las personas prestadoras de los servicios públicos, de acuerdo con el nivel de riesgo y se definen los criterios, metodologías, indicadores, parámetros y modelos de carácter obligatorio que permiten evaluar su gestión y resultados.
Notas de Vigencia: 4. Modificada por la Resolución 34 de 2004, publicada en el Diario Oficial No. 45.526, de 21 de abril de 2004, "Por la cual se modifica la Resolución CREG 072 de 2002"
3. Modificada por la Resolución 121 de 2003, publicada en el Diario Oficial No. 45.415, de 29 de diciembre de 2003, "Por la cual se modifica la Resolución CREG 072 de 2002"
2. Modificada por la Resolución 91 de 2003, publicada en el Diario Oficial No. 45.325, de 29 de septiembre de 2003, "Por la cual se modifica la Resolución CREG-072 de 2002"
1. Modificada por la Resolución 26 de 2003, publicada en el Diario Oficial No. 45.204, de 31 de mayo de 2003, "Por la cual se modifica la Resolución CREG-072 de 2002". |
Ver: Ley 142-94
Artículos 46 a 49
Artículo 73.3
Ley 689-01
Artículo 7
Artículo 13
Modificada Parcialmente: Resolución CREG 026-03
Resolución CREG 091-03
Resolución CREG 034-04
Modificada Parcialmente: Resolución CREG 121-03
Modificada: Resolución CREG 034-04
LA COMISIÓN DE REGULACIÓN DE ENERGÍA Y GAS
en ejercicio de sus atribuciones legales, en especial las conferidas por las Leyes 142, 143 de 1994 y 689 de 2001 y los decretos 1524 y 2253 de 1994 y,
C O N S I D E R A N D O
Que el Artículo 73.3. de la Ley 142 de 1994, dispone que es función de las Comisiones de Regulación definir los criterios de eficiencia y desarrollar indicadores y modelos para evaluar la gestión financiera, técnica y administrativa de las empresas de servicios públicos y solicitar las evaluaciones que considere necesarias para el ejercicio de sus funciones.
Que según los Artículos 46 a 49 de la Ley 142 de 1994, las empresas de servicios públicos deben aplicar sistemas de control interno; y los criterios, indicadores y modelos para realizarlo, deben ser definidos por la Comisión de Regulación respectiva.
Que el Artículo 7 de la Ley 689, que modificó el Artículo 52 de la Ley 142 de 1994, dispone:
“Concepto de control de gestión y resultados. El control de gestión y resultados es un proceso, que dentro de las directrices de planeación estratégica, busca que las metas sean congruentes con las previsiones.
Las comisiones de regulación definirán los criterios, metodologías, indicadores, parámetros y modelos de carácter obligatorio que permitan evaluar la gestión y resultados de las entidades prestadoras. Así mismo, establecerán las metodologías para clasificar las personas prestadoras de los servicios públicos, de acuerdo con el nivel de riesgo, características y condiciones, con el propósito de determinar cuáles de ellas requieren de una inspección y vigilancia especial o detallada por parte de la Superintendencia de Servicios Públicos Domiciliarios. Para el diseño de esta metodología, las comisiones de regulación tendrán un plazo de un año contado a partir de la vigencia de la presente ley.
La Superintendencia de Servicios Públicos Domiciliarios deberá adoptar las categorías de clasificación respectivas que establezcan las comisiones de regulación y clasificar a las personas prestadoras de los servicios públicos sujetas a su control, inspección y vigilancia dentro de los seis (6) meses siguientes a la expedición de la clasificación por parte de cada una de las comisiones de regulación.
Parágrafo. Las Empresas de Servicios Públicos deberán tener un plan de gestión y resultados de corto, mediano y largo plazo que sirva de base para el control que se ejerce sobre ellas. Este plan deberá evaluarse y actualizarse anualmente teniendo como base esencial lo definido por las comisiones de regulación de acuerdo con el inciso anterior.”
Que de conformidad con el Artículo 13 de la ley 689 de 2001, es competencia de la Superintendencia de Servicios Públicos Domiciliarios evaluar la gestión financiera, técnica y administrativa de los prestadores de servicios públicos sujetos a su control, inspección y vigilancia, de acuerdo con los indicadores definidos por las Comisiones de Regulación; publicar sus evaluaciones y proporcionar, en forma oportuna, toda la información disponible a quienes deseen hacer evaluaciones independientes. El Superintendente podrá acordar con las empresas que amenacen de forma grave la prestación continua y eficiente de un servicio, programas de gestión.
Que la Comisión de Regulación de Energía y Gas - CREG contrató un estudio técnico con el fin de definir los criterios y metodologías para evaluar la gestión de las entidades prestadoras de los servicios públicos domiciliarios de energía eléctrica y gas combustible, cuyos informes fueron publicados en la página de Internet de la Comisión de Regulación de Energía y Gas donde estuvieron a disposición de los agentes y terceros interesados.
Que presentaron comentarios sobre los informes de avance: la Superintendencia de Servicios Públicos, la UPME (radicación CREG-09235), Mario Rodríguez Diaz (radicación CREG-09385), Andesco (radicaciones CREG-09489 y CREG-09586), Chivor (radicación CREG-09497), Emcali (radicación CREG-09514), Empresa de Energía de Cundinamarca (radicación CREG-09516), Empresas Públicas de Medellín (radicación CREG-09533), Central Hidroeléctrica de Caldas (radicación CREG-09579), Empresa de Energía de Pereira (radicación CREG-09596), Acolgen (radicación CREG-09609), Codensa (radicación CREG-09613), Electrocosta-Electricaribe (radicación CREG-09634), Gas Natural, Surtigas (radicación CREG-09635) y Gases del Caribe (radicación CREG-09674), los cuales se analizaron para la expedición de la presente Resolución.
Que la Comisión en su Sesión No. 202 del 29 de octubre de 2002, aprobó el contenido de la presente Resolución.
R E S U E L V E:
ARTÍCULO 1. ÁMBITO DE APLICACIÓN. La presente resolución aplica a las entidades prestadoras de los servicios públicos domiciliarios de energía eléctrica y gas combustible.
Concordancia: Ley-142-94 Artículo 15
Modificado : Resolución CREG 034-04-Art:1
ARTÍCULO 2. DEFINICIONES. Para efectos de la presente resolución y demás regulación sobre aspectos relacionados con el control de gestión y resultados de las entidades prestadoras de los servicios públicos, se aplicarán las siguientes definiciones:
§ Entidades Prestadoras. Son las personas autorizadas por el Artículo 15 de la Ley 142 de 1994, para prestar los servicios públicos domiciliarios de energía eléctrica y gas combustible definidos en dicha Ley.
§ Indicador de Gestión. Se entiende como una medida cuantitativa que permite efectuar el diagnóstico, el seguimiento y la evaluación periódica de las variables de gestión de la entidad prestadora, mediante su comparación con sus correspondientes parámetros o referentes.
§ Plan de Acción. Se entiende como el conjunto de programas, subprogramas y proyectos que debe ejecutar la Entidad Prestadora, en el contexto de su Plan Estratégico, dirigidos a lograr sus objetivos de corto, mediano y largo plazo de manera eficiente y eficaz. Los Planes de Acción deberán diseñarse de tal manera que el cumplimiento de su ejecución asegure que los Indicadores de Gestión igualen o superen a sus Referentes.
§ Plan Estratégico. Se entiende como el conjunto de políticas y estrategias que define una Entidad Prestadora, para alcanzar sus objetivos de corto, mediano y largo plazo, partiendo de un diagnóstico inicial sobre su situación.
§ Plan Financiero. Se entiende como una proyección financiera, que incorpora el Plan de Acción de la Entidad Prestadora y permite validar la viabilidad de los programas, subprogramas y proyectos que planea ejecutar, en el contexto de su Plan Estratégico. El Plan Financiero contendrá:
- Estado de Ganancias y Pérdidas.
- Flujo de Caja.
- Balance General.
§ Plan de Gestión. Se entiende como una propuesta de desempeño elaborada por una empresa de servicios públicos, y conformada por los siguientes elementos:
- Indicadores de Gestión
- Referentes vigentes
- Plan de Acción
- Plan Financiero
- Los Planes y Programas propuestos por los Comités de Desarrollo y Control Social, de conformidad con el Artículo 63.1 de la Ley 142 de 1994 y aceptados por la Entidad Prestadora.
§ Referente. Se entiende como el parámetro cuantitativo o cualitativo, según sea el caso, contra el cual se comparan los valores alcanzados por la Entidad Prestadora en sus Indicadores de Gestión para verificar su cumplimiento.
ARTÍCULO 3. INDICADORES DE GESTIÓN. El control de gestión y resultados de las Entidades Prestadoras se debe realizar evaluando el comportamiento de los Indicadores de Gestión que a continuación se establecen:
1. INDICADORES FINANCIEROS
1.1 Rotación Cuentas por Cobrar (días)
1.2 Rotación Cuentas por Pagar (días)
1.3 Razón Corriente (veces)
1.4 Margen Operacional (%)
1.5 Cubrimiento de Gastos Financieros (veces)
2. INDICADORES TÉCNICOS Y ADMINISTRATIVOS
2.1 Relación Suscriptores Sin Medición (%)
2.2 Cobertura (%)
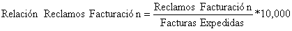
2.3 Relación Reclamos Facturación (por 10,000 facturas)
2.4 Atención Reclamos Servicio (%)
2.5 Atención Solicitud de Conexión (%)
2.6 Confiabilidad por Almacenamiento de GLP (días)
3. INDICADORES DE CALIDAD
Para estos indicadores se adoptarán las resoluciones vigentes de la CREG sobre este tema y las que posteriormente se expidan.
Las fórmulas de los Indicadores de Gestión aquí establecidos se consignan en el Anexo 1 de la presente Resolución.
ARTÍCULO 4. GRUPOS DE ENTIDADES PRESTADORAS. Las Entidades Prestadoras se agruparán de acuerdo con el servicio que prestan y con la actividad que desarrolla cada una de ellas. Cuando una Entidad Prestadora ejecute varias actividades, el grupo lo conformarán las que desarrollan las mismas actividades, como se define a continuación:
Las empresas distribuidoras y comercializadoras de GLP por redes se incluyen dentro del grupo DC de gas natural. Las empresas de Zonas No Interconectadas (ZNI) se incluyen en el grupo GDC (ZNI).
ARTÍCULO 5. ÁMBITO DE APLICACIÓN DE LOS INDICADORES. Los Indicadores de Gestión serán aplicables a las Entidades Prestadoras de acuerdo con el grupo a que pertenezcan.
Los Indicadores Técnicos y Administrativos se aplican a los siguientes grupos:
Los Indicadores Financieros serán aplicables a todas las Entidades Prestadoras y los de Calidad, de acuerdo con las resoluciones vigentes de la CREG que los establecen o las posteriores que se definan para el efecto. Para los Transmisores de energía eléctrica no aplica el Indicador de Cuentas por Cobrar.
ARTÍCULO 6. REFERENTES. Para cada uno de los Indicadores de Gestión, se fijarán anualmente Referentes por grupo, que serán la base para la evaluación de las Entidades Prestadoras.
La Superintendencia de Servicios Públicos, con base en la evaluación realizada para el año anterior publicará, antes del 31 de mayo de cada año, en un medio de amplia divulgación los Referentes para cada grupo, los cuales se determinarán con el siguiente procedimiento:
- Para los Indicadores de Gestión que tienen resoluciones vigentes de la Comisión de Regulación de Energía y Gas, donde se les fijen metas relacionadas con ellos, se utilizarán los valores de las metas establecidos en tales resoluciones.
- Para el Indicador de Cobertura en Áreas de Servicio Exclusivo se tomarán las metas pactadas en los contratos.
- Para el Indicador de usuarios sin medición se tendrá en cuenta lo establecido en el último inciso del Artículo 146 de la Ley 142 de 1994. Es decir, el Referente corresponde al 5%.
- Para los Indicadores de Gestión que no tengan un Referente definido, se calculará uno para cada grupo de Entidades Prestadoras, a partir de los resultados obtenidos en el año anterior. Para este cálculo se ordenarán dichos resultados y se obtendrá un promedio a partir de los valores de las Entidades Prestadoras que, en número, representen hasta el 80% de los mejores del grupo. El nuevo Referente será el valor más exigente entre el promedio así calculado y el Referente definido para el año anterior, de tal forma que el indicador tienda a mejorar cada año.
- El grupo GC-T de Gas Licuado de Petróleo se incluirá dentro del grupo CM para el cálculo de los Referentes.
PARÁGRAFO: A partir de la vigencia de la presente resolución, la Superintendencia de Servicios Públicos calculará y publicará los Referentes con la información disponible del año 2001, la cual será utilizada para definir los Referentes con los que se evaluará la gestión de las Entidades Prestadoras en el primer semestre de 2003, y para adecuar los planes de gestión de las empresas.
Adicionado: Resolución CREG 026-03 Artículo 1
Resolución CREG 091-03 Artículo 1
ARTÍCULO 7. ELABORACIÓN DE PLANES. Las empresas de servicios públicos deberán tener un Plan de Gestión, para cada una de las actividades del servicio que prestan, de corto (un año), mediano (dos años) y largo plazo (tres años), el cual debe actualizarse anualmente. Dichos planes no estarán sujetos a aprobación dada la modificación introducida por la Ley 689 de 2001 a la Ley 142 de 1994.
PARÁGRAFO. Las actividades de los servicios corresponden a las señaladas en el Artículo 4 de esta Resolución. Para las nuevas actividades que surjan como resultado de la regulación que se expida, la CREG indicará en resolución posterior los Indicadores de Gestión que se aplicarán.
Concordancia: Artículo 4 Ib.
ARTÍCULO 8. CONTROL INTERNO. Dentro del proceso de Control Interno se deberán tener en cuenta la medición y el seguimiento de los indicadores definidos en esta resolución e incluidos dentro de los Planes de Gestión de las empresas, con una periodicidad que permita su control detallado y tomar los correctivos, cuando sea necesario, para que los resultados tiendan a los valores de referencia.
Concordancia: Ley-142-94 Artículo 46
ARTÍCULO 9. INFORMACIÓN PARA LA EVALUACIÓN. De conformidad con lo establecido en los Artículos 14 y 15 de la Ley 689 de 2002, la información requerida para evaluar la gestión y resultados de las Entidades Prestadoras, y para las necesidades y requerimientos de información de las Comisiones de Regulación, debe formar parte del Sistema Único de Información.
Por lo tanto para las evaluaciones previstas en esta resolución se utilizará la información de las Entidades Prestadoras, correspondiente al 31 de diciembre del año inmediatamente anterior, que esté disponible en el Sistema Único de Información a más tardar el 31 de marzo del año siguiente al que se evalúa.
Concordancia: Ley 689-01 Artículo 15
Modificado : Resolución CREG 034-04-Art:2
ARTÍCULO 10. METODOLOGÍA PARA EVALUAR LA GESTIÓN. La Superintendencia de Servicios Públicos Domiciliarios, a partir de la información obtenida de acuerdo con el artículo anterior, evaluará la gestión de las Entidades Prestadoras dependiendo de los valores calculados para los indicadores de que trata el Artículo 3 de esta Resolución.
La evaluación de la gestión se dividirá en dos partes: evaluación empresarial y evaluación social. La primera hace referencia a la evaluación de los indicadores financieros y la segunda, a los indicadores técnicos y administrativos, y a los indicadores de calidad. Los resultados de la evaluación deberán ser publicados de manera oficial, a más tardar el 31 de mayo de cada año.
Los resultados obtenidos se presentarán en una tabla por servicio y por grupo donde se informe si se está dando cumplimiento con los Referentes vigentes, de acuerdo con el siguiente formato:
El índice de pérdidas, aunque no hace parte de la evaluación, se debe calcular de acuerdo con el Anexo 3 de la presente Resolución.
De acuerdo con los resultados de la evaluación empresarial y de la evaluación social, la Superintendencia de Servicios Públicos Domiciliarios determinará las acciones a seguir.
Parágrafo Adicionado: Resolución CREG 026-03 Artículo 2
Parágrafo Modificado: Resolución CREG 121-03 Artículo 1
Concordancia: Artículo 3 Ib.
Modificado : Resolución CREG 034-04-Art:3
ARTÍCULO 11. METODOLOGÍA PARA CLASIFICACIÓN POR NIVEL DE RIESGO. Con el fin de que la Superintendencia de Servicios Públicos Domiciliarios clasifique a las Entidades Prestadoras por nivel de riesgo para el año t, se establece el siguiente procedimiento:
1. A partir de la información financiera disponible en el Sistema Único de Información para el año t, se clasificarán inicialmente a las Entidades Prestadoras en los siguientes niveles de riesgo:
Nivel de Riesgo | Descripción |
0 | Entidades Prestadoras con indicadores financieros razonables |
1 | Entidades Prestadoras con EBITDA negativo |
2 | Entidades Prestadoras con cuentas por pagar vencidas o, en el caso de energía eléctrica, las que están en causal de limitación de suministro |
3 | Entidades Prestadoras intervenidas por la SSPD, las que estén celebrando Acuerdos de Reestructuración de acuerdo con la Ley 550 de 1999, las que estén en Liquidación y las que tengan Patrimonio Negativo. |
Para la clasificación inicial, se puede estimar que están en el nivel 0 las Entidades Prestadoras que no tienen las condiciones mencionadas para ser clasificadas en los niveles 1, 2 y 3.
En el caso de las Entidades Prestadoras que están obligadas a contratar la Auditoría de Gestión, se deberá incluir en el respectivo contrato la obligación por parte del auditor de entregar un dictamen sobre el nivel de riesgo de la Entidad Prestadora, el cual se comparará con la clasificación anterior, otorgando a la empresa el nivel que signifique mayor riesgo de los dos valores comparados.
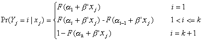
2. Utilizar el modelo logístico descrito en el Anexo 2, para cada uno de los siguientes casos:
- Modelo 1: Clasificación del nivel de riesgo del año t (Yt) vs. Indicadores de Gestión Financieros del año t (Xt).
- Modelo 2: Clasificación del nivel de riesgo del año t (Yt) vs. Indicadores de Gestión Financieros del año t-1, (Xt-1).
- Modelo 3: Clasificación del nivel de riesgo del año t (Yt) vs. Indicadores de Gestión Financieros del año t-2, (Xt-2).
3. Con base en los resultados obtenidos del Modelo 1, se asigna a cada Entidad Prestadora, el nivel de riesgo i para el cual se obtiene la máxima probabilidad.
Si para alguna empresa se encuentran diferencias entre el nivel de riesgo inicial asignado por la SSPD (de acuerdo con el paso 1 de este procedimiento) y el estimado por el Modelo 1, se clasificará a la Entidad Prestadora con el mayor de ellos.
4. La Superintendencia de Servicios Públicos Domiciliarios evaluará la posibilidad de clasificar las empresas en un riesgo mayor al obtenido con el anterior procedimiento, teniendo en cuenta criterios adicionales tales como:
- Evaluación de la clasificación a partir de los resultados obtenidos con los modelos 2 y 3.
- Resultado de la evaluación de gestión.
- Información suministrada por las Auditorías de Gestión u otros organismos de control de las empresas de servicios públicos.
- Información adicional que conozca el Superintendente de Servicios Públicos Domiciliarios.
La clasificación deberá hacerse oficial, a más tardar el 31 de mayo de cada año.
De acuerdo con las competencias establecidas en la Ley 142 de 1994 y la Ley 689 de 2001, la Superintendencia de Servicios Públicos definirá las acciones a seguir dependiendo del nivel de riesgo que presenta cada entidad prestadora. Para dichas acciones se podrán tener en cuenta aspectos como el tamaño del mercado relevante, si las actividades que desarrolla la Entidad Prestadora son monopolísticas o se desarrollan en condiciones de competencia, y si la prestación continua y eficiente del servicio se encuentra amenazada en forma grave.
Adicionado: Resolución CREG 026-03 Artículo 3
Modificado: Resolución CREG 121-03 Artículo 2
Concordancia: Ley 689-01 Artículo 7
Modificado : Resolución CREG 034-04-Art:4
ARTÍCULO 12. La presente resolución rige a partir de la fecha de su publicación en el Diario Oficial y deroga las Resoluciones 005, 019, 023 y 026 de 1996; 027 y 232 de 1997 y 040 de 1998 expedidas por la Comisión de Regulación de Energía y Gas y las demás disposiciones que le sean contrarias.
Publicada en el Diario Oficial No. 44.984 de Noviembre 1 de 2002
PUBLÍQUESE Y CÚMPLASE
Dada en Bogotá, D. C., el día 29 OCT. 2002
LUIS ERNESTO MEJÍA CASTRO | JAIME ALBERTO BLANDÓN DÍAZ |
Ministro de Minas y Energía | Director Ejecutivo |
Presidente |  |
Modificado : Resolución CREG 034-04-Anexo1
ANEXO 1
FORMULACIÓN DE INDICADORES DE GESTIÓN
Para cada indicador de los incluidos en el Artículo 3 de esta Resolución, se debe determinar un Referente de acuerdo con el procedimiento establecido en el Artículo 5 de este Acto, siempre teniendo en cuenta los topes que se establecen para algunos indicadores particulares.
Para el cálculo de los indicadores se deben tomar bases anuales. Si la Superintendencia de Servicios Públicos Domiciliarios solicita indicadores para una fracción del año, informará a las Entidades Prestadoras el procedimiento a seguir para ajustarlos y hacerlos comparables con los calculados anualmente.
1. INDICADORES FINANCIEROS
1.1 Rotación Cuentas por Cobrar (días)
Este indicador mide la gestión realizada por la Entidad Prestadora para el cobro efectivo de los servicios prestados:
1.2 Rotación Cuentas por Pagar (días)
Este indicador mide la gestión de la Entidad Prestadora en el pago oportuno de los insumos necesarios:
1.3 Razón Corriente (veces)
Indica el cubrimiento que tiene la Entidad Prestadora de sus obligaciones de corto plazo:
El valor del Referente para este indicador no debe ser inferior a uno (1).
1.4 Margen Operacional (%)
EBITDA corresponde a la utilidad antes de intereses, impuestos, depreciaciones, amortizaciones y resultados no operacionales (Earning Before Interest, Taxes, Depreciation, Amortization).
El valor del Referente para este indicador no será inferior a cero (0).
Si EBITDA es negativo se considera que no se cumple con el indicador y los resultados obtenidos en estos casos no se tendrán en cuenta para el cálculo del nuevo Referente.
1.5 Cubrimiento de Gastos Financieros (veces)
Informa sobre la capacidad de generación de fondos por parte de la empresa para el pago de los gastos financieros:
El Referente para este indicador no podrá ser inferior a uno punto dos (1.2).
Si EBITDA es negativo se considera que no se cumple con el indicador y los resultados obtenidos en estos casos no se tendrán en cuenta para el cálculo del nuevo Referente.
2. INDICADORES TÉCNICOS Y ADMINISTRATIVOS
2.1 Relación Suscriptores sin Medición (%)
El indicador es aplicable a las empresas comercializadoras.
2.2 Cobertura (%)
Este indicador es aplicable a las empresas distribuidoras de gas:
Áreas de Servicio Exclusivo:
Suscriptores en Contrato corresponde al compromiso anual sobre el número de usuarios a conectar establecidos en el contrato.
Para los demás:
El número de Suscriptores Proyectados corresponde a la proyección de usuarios reportada por el agente, con base en la cual elaboró el programa de nuevas inversiones.
2.3 Relación Reclamos Facturación (por 10,000)
Se contabilizan únicamente los reclamos resueltos a favor del suscriptor, para el caso de los comercializadores, o a favor de quien presenta el reclamo, si se trata de las otras actividades de la cadena.
Para las actividades que no se estaba calculando este indicador, su resultado no se tendrá en cuenta para la evaluación del año 2002; sin embargo, la información requerida debe incluirse en el Sistema Único de Información a partir de la entrada en vigencia de la presente resolución.
2.4 Atención Reclamos Servicio (%)
Este indicador mide el porcentaje de usuarios al que se le atiende su reclamo en un número de días superior al "tiempo referencia":
Para este indicador hasta la fecha se cuenta con la información correspondiente a “Atención Reclamos por Servicio (días)”, por lo tanto se procederá de la siguiente forma:
1. La Superintendencia de Servicios Públicos Domiciliarios, con base en la información del indicador “Atención Reclamos por Servicio (días)” y utilizando un procedimiento similar al descrito en el Artículo 5 de esta Resolución, calculará el número de días en el cual se resuelven estas solicitudes y lo dará a conocer a las Entidades Prestadoras. Este resultado será el “tiempo referencia” para la resolución de reclamos por servicio. Para las actividades que no se calculaba el indicador “Atención Reclamos por Servicio (días)”, se toma el “tiempo referencia” con un valor de 15 días calendario.
2. A partir de la vigencia de la presente resolución, las Entidades Prestadoras reportarán el número de usuarios a quienes se les resuelven los reclamos presentados en un número de días superior al “tiempo referencia”.
3. Para el cálculo definitivo del indicador, teniendo en cuenta que se pretende trabajar sobre una base anual, se harán los ajustes necesarios, considerando la proporción del año para el cual se cuenta con los reportes de usuarios afectados.
4. Dado el cambio en el cálculo del indicador, éste no se tendrá en cuenta en la evaluación que se debe realizar a comienzos del año 2003.
Modificado: Resolución CREG 091-03 Artículo 2
2.5 Atención Solicitud de Conexión (%)
Este indicador es aplicable a las empresas transmisoras (transportadoras), distribuidoras y comercializadoras. Mide el porcentaje de usuarios a quienes se les atiende la solicitud de conexión en un número de días superior al “tiempo referencia”.
En forma similar al indicador anterior, a la fecha de expedición de esta Resolución se cuenta con información para el indicador “Atención Solicitudes Conexión (días)”, por lo tanto se debe aplicar un procedimiento similar. Para las actividades que no se calculaba este indicador, se toma el “tiempo referencia” con un valor de 21 días calendario. En todo caso, se deberá cumplir lo previsto en las resoluciones de la CREG donde se establezcan plazos de conexión.
Dado el cambio en el cálculo del indicador, éste no se tendrá en cuenta en la evaluación a realizar a comienzos de 2003.
Modificado: Resolución CREG 091-03 Artículo 3
2.6 Confiabilidad Almacenamiento GLP (días)
El indicador es aplicable a las empresas comercializadoras mayoristas de GLP. Depende de la capacidad de almacenamiento y del tiempo promedio de entrega por parte de los productores a los distribuidores mayoristas:
donde:
3. INDICADORES DE CALIDAD
Para la determinación de los Indicadores de Calidad y sus Referentes, y para su evaluación se adoptarán las metas aprobadas por la CREG en esta materia.
4. INDICADORES ADICIONALES PARA EL MODELO
Adicionalmente a los Indicadores de Gestión financieros establecidos en el Artículo 3 de esta Resolución, se deberán incluir en el modelo utilizado para la clasificación de riesgo, los siguientes:
4.1 Periodo de Pago del Pasivo de Largo Plazo (años)
4.2 Nivel de Endeudamiento (%)
4.3 Rentabilidad sobre Activos (%)
4.4 Rentabilidad sobre Patrimonio (%)
4.5 Rotación Activos Fijos (veces)
4.6 Rotación Activo Total (veces)
5. FUENTE DE INFORMACIÓN
Dado que los datos para calcular los indicadores financieros de los numerales 1 y 4 de este Anexo, se tomarán de la información contable de la Entidad Prestadora, en la siguiente tabla se indican los valores a incluir en las variables utilizadas para el cálculo de dichos indicadores. La Superintendencia de Servicios Públicos Domiciliarios, previo a la aplicación de la metodología definida en esta resolución, identificará los códigos y los nombres de las cuentas del PUC que se deben utilizar y los dará a conocer oportunamente.
Variable | Contenido |
| Activo Corriente | Efectivo, Inventarios y porción corriente de Deudores e Inversiones |
| Activo Fijo | Propiedades, planta y equipo, incluyendo depreciables y no depreciables. |
| Activo Total | Activo total de la Entidad Prestadora |
| Costo de Ventas | Costo de ventas de los bienes y servicios ofrecidos por la Entidad Prestadora |
| Cuentas por Cobrar | Los saldos que aún no se han recaudado de los clientes por la venta de los bienes y servicios. |
| Cuentas por Pagar | Obligaciones pendientes de pago con los proveedores de bienes y servicios. No se incluyen las obligaciones fiscales pendientes. |
| EBITDA | Corresponde a la utilidad antes de intereses, impuestos, depreciaciones, amortizaciones y resultados no operacionales |
| Gastos Financieros | Son los gastos por intereses y comisiones causados en virtud de las obligaciones financieras adquiridas por la Entidad Prestadora |
| Ingresos Operacionales | Ingresos por venta de bienes y servicios |
| Pasivo Corriente | Corresponde a la parte del pasivo que debe atenderse dentro del año siguiente |
| Pasivo Total | Pasivo total de la Entidad Prestadora |
LUIS ERNESTO MEJÍA CASTRO | JAIME ALBERTO BLANDÓN DÍAZ |
Ministro de Minas y Energía | Director Ejecutivo |
Presidente |  |
Modificado : Resolución -CREG 034-04-Anexo2
ANEXO 2
El modelo logístico es frecuentemente usado para investigar la relación entre la probabilidad de la respuesta y las variables explicativas. En nuestro caso, asigna una probabilidad de clasificación de una empresa dentro de un grupo o escala de riesgo establecida.
El modelo logístico está definido por:
(1)
donde:
Yt : Clasificación inicial por nivel de riesgo del año t
i : Número de categorías de la variable Yt.. i = 0, 1, 2 y 3
: Parámetro de intercepto del modelo
X : Matriz que contiene los valores de las variables independientes.
Como variables independientes se toman los Indicadores de Gestión Financieros del año correspondiente más los indicadores definidos en el numeral 4 del Anexo 1.
Con el modelo formulado en (1) se estima la probabilidad P de que la j-ésima observación tenga respuesta i así:
donde
Para la corrida de este modelo, se requiere de un programa estadístico, que permita llevar a cabo la estimación de los parámetros del modelo de regresión logística, la cual se realizará inicialmente por servicio: electricidad, gas natural y GLP. Si no hay convergencia en alguno de los modelos o el modelo depende sólo de los interceptos (ai), se deben unir los servicios y realizar nuevamente la estimación.
En la construcción del modelo se podrá utilizar el criterio de parsimonia, (Opción Backward) tratando de obtener el mayor grado de explicación con el menor número de variables.
Cuando se obtenga la convergencia, se deberá:
- A partir de los parámetros estimados, calcular la probabilidad de clasificación de una empresa dentro de un grupo o escala de riesgo
- Revisar si el modelo ajustado es el adecuado, mediante pruebas de hipótesis sobre los parámetros del modelo, esto es Ho: 
LUIS ERNESTO MEJÍA CASTRO | JAIME ALBERTO BLANDÓN DÍAZ |
Ministro de Minas y Energía | Director Ejecutivo |
Presidente |  |
ANEXO 3
INDICADOR DE PÉRDIDAS
1. Para Energía Eléctrica
Operador de Red - Comercializadores
El índice de pérdidas conjunto, para los agentes que desarrollan simultáneamente las actividades de comercialización y operación de redes, se calcula a partir de los flujos de entrada y/o salida de energía que se dan:
· Los puntos de conexión al STN del sistema del Operador de Red.
· Los puntos de conexión de generadores conectados al sistema del Operador de Red.
· Los puntos de conexión entre el sistema del Operador de Red y los sistemas de otros Operadores de Red.
· La energía facturada a los usuarios finales del servicio, atendidos por el Comercializador que simultáneamente corresponde al Operador de Red del sistema al cual se conectan.
· Los puntos de medición asociados a fronteras comerciales de comercializadores, distintos al que simultáneamente ejerce la Operación de Redes del sistema en el cual se ubican.
Comercializadores
El índice de pérdidas para los comercializadores que no desarrollan simultáneamente esta actividad con la de operación de redes, se calcula a partir de los flujos de entrada y salida de energía asociados con:
· Los puntos de medición asociados a sus fronteras comerciales.
· Los puntos de medición asociados a fronteras comerciales de comercializadores, que atienden usuarios aguas abajo de los puntos de medición del comercializador para quien se calcula el índice de pérdidas.
· La energía facturada a los usuarios finales del servicio, atendidos por el Comercializador.
2. Para Gas Natural
Para la actividad de Transporte de gas natural, las pérdidas se calcularán de acuerdo con lo establecido en el numeral 4.9 del Reglamento Único de Transporte (Resolución CREG-071 de 1999), o en las resoluciones que lo sustituyan o modifiquen.
Para la actividad de Distribución, se utiliza el volumen medido en metros cúbicos.
3. Para GLP
El índice es aplicable a las empresas que desarrollan actividades relacionadas con el servicio de Gas Licuado de Petróleo.
LUIS ERNESTO MEJÍA CASTRO | JAIME ALBERTO BLANDÓN DÍAZ |
Ministro de Minas y Energía | Director Ejecutivo |
Presidente |  |
|
Doble click sobre el archivo anexo para bajarlo(Resoluciones CREG) |
Doble click sobre el archivo anexo para bajarlo(Documento CREG) |
|