| Publicación Diario Oficial No.: | , el día: |
| Publicada en la WEB CREG el: | |
Resolución 080 de 1995
(27 de diciembre) Por la cual se adoptan decisiones en materia de tarifas de energía eléctrica y otras disposiciones de transición.
Notas de Vigencia: - Modificada por la Resolución 9 de 1996, publicada en el Diario Oficial No. 42.707 de febrero 1o. de 1996, "Por la cual se modifica y complementa la resolución CREG 080/95 y se adoptan decisiones en materia de tarifas de energía eléctrica". |
La Comisión de Regulación de Energía y Gas
En ejercicio de sus facultades legales, en especial las conferidas por las Leyes 142 y 143 de 1994 y en desarrollo de los Decretos 1524 y 2253 de 1994, y
C o n s i d e r a n d o :
Que la Ley 142 de 1994 definió las reglas para la aplicación de subsidios y contribuciones;
Que es necesario aliviar la carga financiera de las empresas que atienden usuarios finales, desmontando los subsidios aplicados a los sectores residencial y no-residencial;
Que la Comisión debe expedir las fórmulas tarifarias definitivas a aplicar;
Que en su sesión del día 27 de diciembre la Comisión analizó las diferentes alternativas de ajuste tarifario y los compromisos adquiridos por el Gobierno Nacional en el contexto del Pacto Social suscrito para 1996;
Que es conveniente realizar los ajustes tarifarios gradualmente para los usuarios de estratos 1, 2, 3 y 4 principalmente;
R e s u e l v e :
Artículo 1º.
Costos de Referencia.
A partir del 1º de Enero de 1996 y hasta que se expidan las fórmulas tarifarias definitivas, se aplicarán como costos de referencia de prestación del servicio, los consignados en el Anexo I de la presente resolución.
Artículo 4º.
Tarifas residenciales para los estratos 1, 2, 3 y 4, para consumos menores al consumo de nivelación 1 (CN1).
Para la liquidación de los consumos de los estratos Bajo-Bajo(1), Bajo(2), Medio-Bajo(3) y Medio(4), que se encuentren dentro del rango de consumo entre cero (0) y el Consumo de Nivelación 1 (CN1), definidos para cada Período de Consumo y consignados en el Anexo IV, se aplicará la siguiente fórmula:
Tarifatik(0-CN1)= Tarifa(t-1)ik(0-CN1) *(1+ a) , dónde 0 <CN1 <CS
a es la meta de inflación mensualizada, correspondiente al año a y definida por el Gobierno, igual a 1.32% para 1996.
El Cargo Fijo para los estratos Bajo-Bajo (1), Bajo (2) y Medio-Bajo (3), se actualizará mensualmente de acuerdo con la siguiente fórmula:
Cargo Fijotik= Cargo Fijo(t-1)ik * (1+ a)
A partir del 1º de Julio de 1996 el Cargo Fijo para el estrato Medio (4), de las empresas relacionadas en el Anexo I de la presente resolución, será igual a $0.oo. Para el primer semestre de 1996, se actualizará de la forma descrita en el parágrafo anterior.
Durante el primer semestre de 1996 la CREG definirá mediante resolución, la transición tarifaria para el desmonte de los subsidios extralegales en el rango de Consumo de Subsistencia de los estratos Bajo-Bajo (1), Bajo (2) y Medio-Bajo (3).
Artículo 5º.
Tarifa residencial para el estrato 4, aplicable a consumos entre el consumo de nivelación 1 (CN1) y el consumo de subsistencia (CS).
A partir del 1º de Enero de 1996 para la liquidación de los consumos del estrato Medio(4), que se encuentren por encima del Consumo de Nivelación 1 (CN1), definido para cada Período de Consumo y consignados en el Anexo IV, y hasta el Consumo de Subsistencia (CS), se aplicará la siguiente fórmula:
Tarifatik(CN1-CS)= C0nk * IPPt /IPPo , dónde 0 <CN1 < CS, i=4
Artículo 6º.
Tarifas residenciales para los estratos 1, 2, 3 y 4, para consumos entre el consumo de subsistencia (CS) y el consumo de nivelación 2 (CN2).
Para la liquidación de los consumos en los estratos Bajo-Bajo(1), Bajo(2), Medio-Bajo(3) y Medio(4), que sean mayores al Consumo de Subsistencia (CS) y hasta el Consumo de Nivelación 2 (CN2), definido para cada Período de Consumo, y consignados en el Anexo IV de la presente resolución, se aplicará la siguiente fórmula:
Tarifatik(CS-CN2)= Tarifa0ik(CS-CN2) * (1+ a ), dónde CN2>CS
Artículo 7º.
Tarifas residenciales para los estratos 1, 2, 3 y 4, para consumos mayores
al consumo de nivelación 2 (CN2).
Para la liquidación de los consumos de los estratos Bajo-Bajo(1), Bajo(2), Medio-Bajo(3) y Medio(4), que sean mayores al Consumo de Nivelación 2 (CN2), definido para cada Período de Consumo, y consignados en el Anexo IV de la presente resolución, se aplicará la siguiente fórmula:
Tarifatik(>CN2)= C0nk * IPPt / IPP0
Parágrafo.
Las tarifas aplicables a los usuarios comerciales de la Empresa de Energía de Bogotá, conectados a los niveles I y II de tensión, se regirán conforme a las disposiciones de la Resolución CREG-063 de 1994 y las normas posteriores que la modifiquen o complementen.
A partir del 1º de Enero de 1996, las tarifas binomias se establecerán de acuerdo con las fórmulas consignadas en el Anexo V de la presente resolución.
Las tarifas aplicables a los usuarios comerciales de la Empresa de Energía de Bogotá, conectados a los niveles I y II de tensión, se regirán conforme a las disposiciones de la Resolución CREG-063 de 1994 y las normas posteriores que la modifiquen o complementen.
Los usuarios residenciales con medición binomia, serán facturados conforme a lo dispuesto en el presente artículo.
Artículo 11.
Tarifas para otras empresas
distribuidoras interconectadas.
A partir del 1º de Enero de 1996, las empresas distribuidoras-comercializadoras que formen parte del Sistema Interconectado Nacional y que no tengan una estructura oficial de costos (empresas no incluidas en el Anexo I de la presente resolución), adoptarán lo dispuesto en esta resolución, acogiendo como propios los costos de referencia y los factores de carga por nivel de tensión, de la empresa distribuidora del municipio capital del departamento al que pertenezcan, o en su defecto de la respectiva empresa departamental.
A partir del 1º de Enero de 1996, las empresas distribuidoras-comercializadoras que no formen parte del Sistema Interconectado Nacional y que tengan tarifas aprobadas a la fecha de expedición de la presente resolución, actualizarán los componentes de su estructura tarifaria (tarifas por rangos de consumos y cargos fijos), a la tasa mensual pa correspondiente al año a.
Artículo 13.
Otros cobros.
A partir del 1º de Enero de 1996, todas y cada una de las empresas de las que trata la presente resolución, actualizarán los cargos de conexión, reconexión, reinstalación y otros cobros autorizados, el 1º de Enero de cada año, con la meta de inflación anual definida por el Gobierno para el respectivo año. En 1996 dicha meta es del 17%.
La presente resolución rige a partir de la fecha de su publicación en el Diario Oficial y deroga la Resolución CREG-055 de 1995, así como las disposiciones que le sean contrarias.
Publicada en el Diario Oficial No. 42.169 de Diciembre 29 de 1.995 |
Comuníquese, publíquese y cúmplase
Dado en Santafé de Bogotá, D, a los
 | Rodrigo Villamizar Alvargonzález
Ministro de Minas y Energía
Presidente | Antonio Barberena S.
Director Ejecutivo (E) |
ANEXO 2 |
NOTACIÓN DE VARIABLES |
| Variable | Descripción |
| t | Mes para el cuál se calculará la tarifa. |
| t = 0 | Diciembre de 1995. |
| s | Sector de Consumo: Industrial, Comercial, Provisional, Oficial, Especial y Alumbrado Público. |
s | Factor a aplicar que refleja la contribución para cada sector de consumo s, dónde: |
 | industria= comercio = provisional = 0.2 |
 | oficial = especial = alumbrado público = 0.0 |
ik | Es el factor a aplicar en el estrato i, de la empresa k, que refleja el subsidio o la contribución de cada estrato. |
| C0nk | Costo equivalente a diciembre de 1995, en el nivel de tensión n de la empresa k. |
| Ctnk | Costo equivalente para el mes t, en el nivel de tensión n de la empresa k. |
| C0nke | Costo binomio por concepto de energía a diciembre de 1995, en el nivel de tensión n de la empresa k. |
| C0nkp | Costo binomio por concepto de potencia a diciembre de 1995, en el nivel de tensión n de la empresa k. |
| T0nk | Tarifa monomia sencilla a diciembre de 1995, en el nivel de tensión n de la empresa k. |
| Ttnk | Tarifa monomia sencilla para el mes t, en el nivel de tensión n de la empresa k. |
| Ttnkd | Tarifa monomia diurna para el mes t, en el nivel de tensión n de la empresa k. |
| Ttnkn | Tarifa monomia nocturna para el mes t, en el nivel de tensión n de la empresa k. |
| Ttnkm | Tarifa monomia madrugada para el mes t, en el nivel de tensión n de la empresa k. |
| Ttnke | Tarifa binomia por concepto de energía para el mes t, en el nivel de tensión n de la empresa k. |
| Ttnkp | Tarifa binomia por concepto de potencia para el mes t, en el nivel de tensión n de la empresa k. |
| Ttnkdp | Tarifa binomia por concepto de energía en horario de punta para el mes t, en el nivel de tensión n de la empresa k. |
| Ttnkfp | Tarifa binomia por concepto de energía en horario fuera de punta para el mes t, en el nivel de tensión n de la empresa k. |
| fcnk | Factor de carga para cada nivel de tensión n, de la empresa k. |
| IPPo | Indice de Precios al Productor publicado por el Banco de la República en diciembre de 1995 y correspondiente al mes de noviembre de 1995. |
| IPPt | Indice de precios al Productor publicado por el Banco de la República en el mes t y correspondiente al mes (t-1). |
| Tarifatik | Tarifa residencial a aplicar al usuario del estrato i en la empresa k, calculada para el mes t. |
| CS | Consumo de Subsistencia, definido actualmente en 200 kWh-mes. |
| CN1 | Consumo de Nivelación 1, utilizado para aplicar la gradualidad en el desmonte de subsidios extralegales, para los consumos menores al Consumo de Subsistencia. |
| CN2 | Consumo de Nivelación 2, utilizado para aplicar la gradualidad en el desmonte de subsidios extralegales, para los consumos mayores al Consumo de Subsistencia. |
| Tarifatik(0-CN1) | Tarifa residencial a aplicar al estrato i en la empresa k, para el rango de consumo entre cero (0) y el CN1, calculada para el mes t. |
| Tarifatik(CN1-CS) | Tarifa residencial aplicada al estrato i en la empresa k, para el rango de consumo entre CN1 y el CS, calculada para el mes t. |
| Tarifatik(CS-CN2) | Tarifa residencial aplicada al estrato i en la empresa k, para el rango de consumo entre CS y CN2, calculada para el mes t. |
| Tarifatik(>CN2) | Tarifa residencial aplicada al estrato i en la empresa k, para el rango de consumo por encima de CN2, calculada para el mes t. |
a | Meta de inflación mensualizada, correspondiente al año a y definida por el Gobierno, |
| Cargo Fijotik | Cargo Fijo a aplicar al estrato i en la empresa k, calculado para el mes t. |
 | Rodrigo Villamizar Alvargonzález
Ministro de Minas y Energía
Presidente | Antonio Barberena S.
Director Ejecutivo (E) |
 | Rodrigo Villamizar Alvargonzález
Ministro de Minas y Energía
Presidente | Antonio Barberena S.
Director Ejecutivo (E) |
ANEXO 4 |
CONSUMOS DE NIVELACIÓN |
Para los estratos bajo-bajo(1), bajo(2) y medio-bajo(3), los Consumos de Nivelación 1 (CN1) serán los siguientes:
Para el estrato medio(4), los CN1 serán los siguientes:
Para todos los estratos Bajo-Bajo(1), Bajo(2) y Medio-Bajo(3) y Medio (4), los Consumos de Nivelación 2 (CN2) serán los siguientes:
 | Rodrigo Villamizar Alvargonzález
Ministro de Minas y Energía
Presidente | Antonio Barberena S.
Director Ejecutivo (E) |
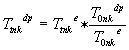
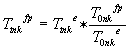
ANEXO 5 |
TARIFAS MONOMIAS Y BINOMIAS Y FACTORES DE CARGA |
| Si |  | entonces, |  |
| Si |  | entonces, |  |
| En cualquier caso: |  |  |  |
 |  |  | y |
 |  |  |  |
| Si |  | entonces, |  | y |
 |  |  |  |  |
| Si |  | entonces, |  | y |
 |  |  |  |  |
| En cualquier caso: |  | y |  |  |
 |  |  |  |  |
 | Rodrigo Villamizar Alvargonzález
Ministro de Minas y Energía
Presidente | Antonio Barberena S.
Director Ejecutivo (E) |
|
Doble click sobre el archivo anexo para bajarlo(Resoluciones CREG) |
Doble click sobre el archivo anexo para bajarlo(Documento CREG) |
|