| Publicación Diario Oficial No.: | , el día: |
| Publicada en la WEB CREG el: | |
| RESOLUCIÓN No. 056 ( 19 JUN. 2003 )
Por la cual se aprueban el Costo Anual por el uso de los Activos del Nivel de Tensión 4 y los Cargos Máximos de los Niveles de Tensión 3, 2 y 1 de los Sistemas de Transmisión Regional (STR) y de Distribución Local (SDL) operados por la Empresa de Energía del Putumayo S.A. E.S.P.
Ver: Ley 143-94
Artículo 11
Artículo 23, lits. c y d
Artículo 41
Sobre el Mismo Tema Ver: Resolución CREG 082-02
Resolución CREG 032-03
LA COMISIÓN DE REGULACIÓN DE ENERGÍA Y GAS
En ejercicio de sus atribuciones constitucionales y legales, en especial las conferidas por las Leyes 142 y 143 de 1994, y en desarrollo de los Decretos 1524 y 2253 de 1994.
CONSIDERANDO:
Que de acuerdo con lo previsto en el artículo 23, literal d), y 41 de la Ley 143 de 1994, es función de la Comisión de Regulación de Energía y Gas fijar las tarifas por el acceso y uso de las redes eléctricas;
Que mediante la Resolución CREG 082 de 2002, la Comisión aprobó los principios generales y la metodología para el establecimiento de los Cargos por Uso de los Sistemas de Transmisión Regional (STR) y de Distribución Local (SDL);
Que la Empresa de Energía del Putumayo S.A. E.S.P. mediante comunicación radicada en la CREG bajo el No. 93, recibida el día 7 de enero de 2003, sometió a aprobación de la Comisión los Costos Anuales por el uso de los Activos del Nivel de Tensión 4 y los Cargos Máximos de los Niveles de Tensión 3, 2 y 1, correspondientes al Sistema de Transmisión Regional y al Sistema de Distribución Local que opera;
Que la Empresa de Energía del Putumayo S.A. E.S.P., en cumplimiento de las Circulares CREG No. 019, 025, 027, 029, 038 de 2002, reportó a la CREG los inventarios de activos eléctricos del STR y SDL que opera, clasificados según el listado de unidades constructivas establecido en el Anexo No. 3 de la Resolución CREG 082 de 2002;
Que la Empresa de Energía del Putumayo S.A. E.S.P. en cumplimiento de lo dispuesto en el parágrafo 2 del artículo 13 de la Resolución CREG-082 de 2002, publicó en un diario de amplia circulación el resumen del estudio de cargos que presentó a la Comisión, con la información mínima señalada en el Anexo No. 6 de dicha Resolución, con el fin de que los terceros interesados pudieran presentar ante la Comisión observaciones sobre tal información, y envió a la Comisión copia del aviso de prensa respectivo.
Que se analizó la información presentada por la Empresa de Energía del Putumayo S.A. E.S.P., conjuntamente con la información adicional disponible en la CREG sobre los activos del STR y del SDL que opera, y se solicitaron las aclaraciones pertinentes;
Que en cumplimiento de lo dispuesto en el Anexo No. 5 de la Resolución CREG 082 de 2002, la Comisión, a través de la firma Gerencia en Proyectos de Ingeniería Ltda., verificó la calidad de la información reportada por la Empresa de Energía del Putumayo S.A. E.S.P., para una muestra diseñada por la Comisión, siguiendo la metodología contenida en el citado Anexo;
Que mediante comunicación radicada en la CREG, bajo el No. 1528 del 17 de enero de 2003, la firma Gerencia en Proyectos de Ingeniería Ltda. presentó el informe de verificación de la calidad de la información reportada por la Empresa de Energía del Putumayo S.A. E.S.P., del cual se dio traslado a dicha empresa con el objeto de que ejerciera su derecho de defensa y se pronunciara sobre las diferencias de información relacionadas en el mencionado informe de verificación;
Que una vez revisado el informe de verificación de la calidad de la información, por parte de la CREG, se encontró necesario solicitar a la firma Gerencia en Proyectos de Ingeniería Ltda., aclaración de la información presentada en su respectivo informe;
Que mediante comunicación radicada en la CREG bajo el No. 2901 del 21 de marzo de 2003, la firma Gerencia en Proyectos de Ingeniería Ltda. rindió las aclaraciones solicitadas, de las cuales se dio traslado al Operador de Red Empresa de Energía del Putumayo S.A. E.S.P., con el objeto de que ejerciera su derecho de defensa;
Que la Empresa de Energía del Putumayo S.A. E.S.P., mediante comunicaciones radicadas en la CREG bajo los Nos. E-2003-003170 del 31 de marzo de 2003 y E-2003-005580 del 28 de mayo de 2003, presentó las aclaraciones solicitadas por la Comisión, y se pronunció en relación con el informe de verificación de la calidad de información;
Que la Empresa de Energía del Putumayo S.A. E.S.P., mediante comunicación radicada en la CREG bajo el No. E-2003-004931 del 16 de mayo de 2003, solicitó la inclusión de la línea Pasto Mocoa a 115 KV en el cálculo de los cargos por uso de su sistema eléctrico.
Que como resultado del análisis de la información y de las respuestas presentadas a la Comisión por la Empresa de Energía del Putumayo S.A. E.S.P., se realizaron ajustes pertinentes a los inventarios reportados, así como a la información adicional requerida para el cálculo de los Costos Anuales y de los Cargos Máximos de que tratan los Artículos 3 y 5 de la Resolución CREG 082 de 2002, según se relacionan, con su respectivo sustento, en el documento soporte de la presente Resolución;
Que aplicada la metodología contenida en la Resolución CREG 082 de 2002 se calcularon para los sistemas operados por la Empresa de Energía del Putumayo S.A. E.S.P., las siguientes variables principales:
a) Costo Anual para remunerar los activos de los Niveles de Tensión 4, 3 y 2, sin aplicar los criterios de eficiencia de que trata el Anexo No 8 de la Resolución CREG 082 de 2002:

b) Costo Anual para remunerar los activos de los Niveles de Tensión 4, 3 y 2, aplicando los criterios de eficiencia de que trata el Anexo No 8 de la Resolución CREG 082 de 2002 y los aprobados mediante Resolución CREG 030 de 2003:
c) Los niveles de pérdidas en cada nivel de tensión que se reconocen en cada año del período tarifario:

Que a partir de las curvas de carga típicas por Nivel de Tensión presentadas por el OR en la solicitud de aprobación de cargos, la Comisión calculó, siguiendo las disposiciones del Anexo No 9 de la Resolución CREG 082 de 2002, los factores multiplicadores que permiten establecer los Cargos Monomios Horarios a partir de los Cargos Monomios correspondientes;
Que la Comisión, aprobó la Resolución CREG 032 de 2003 mediante la cual se establece la segunda etapa de transición para la aplicación de los Cargos por Uso de los Sistemas de Transmisión Regional y de Distribución Local aprobados a los Operadores de Red de que tratan las Resoluciones CREG 063 y 082 de 2002, en cumplimiento del Decreto 1407 de 2002;
Que la Comisión, en Sesión No 215 del 19 de junio de 2003, aprobó el Costo Anual por el uso de los Activos del Nivel de Tensión 4 y los Cargos Máximos de los Niveles de Tensión 3, 2 y 1 de los STR y SDL operados por la Empresa de Energía del Putumayo S.A. E.S.P., así como la gradualidad tarifaria aplicable a la empresa.
RESUELVE:
Artículo 1. Costo Anual por el uso de los activos del Nivel de Tensión 4. El Costo Anual por el uso de los activos del nivel de tensión 4 operados por la Empresa de Energía del Putumayo S.A. E.S.P. será el siguiente:
Artículo 2. Cargos Máximos de los Niveles de Tensión 3 y 2. Los Cargos Máximos de los Niveles de Tensión 3 y 2, en valores monomios del sistema operado por la Empresa de Energía del Putumayo S.A. E.S.P., en cada año del período tarifario serán los siguientes:
Parágrafo. De conformidad con lo establecido en el Numeral 2 del Anexo No 4 de la Resolución CREG 082 de 2002, los Cargos Máximos de que trata el presente artículo serán liquidados y facturados por el OR a cada uno de los Comercializadores que atienden Usuarios Finales conectados a su sistema en los Niveles de Tensión 3 y 2, y a los OR que tomen energía de su sistema en los mismos Niveles de Tensión. Estos cargos serán igualmente liquidados y facturados respecto de la demanda de los usuarios de Nivel de Tensión 1 referida al Nivel de Tensión 3 o 2, según el caso, como se deriva de lo establecido en el literal d. numeral 4 del Anexo No 4 de la Resolución CREG 082 de 2002.
Concordancia: Resolución CREG 082-02 Anexo 4, Num. 2
Resolución CREG 082-02 Anexo 4
Artículo 3. Cargos Máximos del Nivel de Tensión 1. Los Cargos Máximos del Nivel de Tensión 1 del sistema operado por la Empresa de Energía del Putumayo S.A. E.S.P., en cada año del período tarifario serán los siguientes::
Artículo 4. Aplicación de los Cargos Máximos. Los Cargos Máximos de que tratan los artículos 2 y 3 de la presente Resolución constituyen topes máximos, razón por la cual el Operador de Red podrá aplicar cargos inferiores siempre y cuando cumplan con los criterios tarifarios de ley.
Concordancia: Artículo 2 y Artículo 3
Artículo 5. Cargos Monomios Horarios. Para el cálculo de los Cargos Monomios Horarios, se deberán utilizar los factores multiplicadores y períodos de carga que se presentan a continuación:


Parágrafo 1. Los Cargos Monomios Horarios resultan de la multiplicación del Cargo Monomio por el factor asociado con cada período de carga del Nivel de Tensión respectivo.
Parágrafo 2. Cuando el comportamiento de la demanda varíe de forma significativa, el Operador de Red podrá solicitar a la CREG la modificación de los factores y períodos aprobados en este artículo, justificando dicha solicitud, e informando de la misma a la Superintendencia de Servicios Públicos Domiciliarios.
Parágrafo 3. Los Cargos Máximos Horarios resultantes de la aplicación del presente artículo, serán liquidados y facturados por la Empresa de Energía del Putumayo S.A. E.S.P. a los Operadores de Red o a los comercializadores que atienden usuarios conectados al sistema que opera, cuando los OR o usuarios respectivos cuenten con medición horaria. En caso de que no exista medición horaria, se deberán aplicar los Cargos Monomios.
Artículo 6. Factores de Pérdidas. Los factores para referir las medidas de energía al STN y los usados para referir las medidas de energía en el Nivel de Tensión 1 a los Niveles de Tensión 3 y 2, de que trata el Anexo No 10 de la Resolución CREG 082 de 2002 y que aplican en el sistema operado por la Empresa de Energía del Putumayo S.A. E.S.P. son:
a) Factores para referir las medidas de energía al STN:

b) Factores para referir las medidas en el nivel de tensión 1 a los Niveles de Tensión 2 y 3:
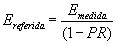
Parágrafo. Los factores de que trata el presente artículo, se aplicarán de acuerdo con la siguiente expresión:
donde:
Ereferida: Energía referida al STN o a los Niveles de Tensión 3 o 2, según sea el caso.
Emedida: Energía registrada en el equipo de medida
PR: Factor para referir las medidas de energía al STN o a los Niveles de Tensión 3 o 2, según sea el caso, y que se presentan en este artículo.
Concordancia: Resolución CREG 082-02 Anexo 10
Artículo 7. Segunda Etapa de la Transición Tarifaria: Para dar cumplimiento a lo establecido en la Resolución CREG 032 de 2003 se establecen los siguientes parámetros para la Empresa de Energía del Putumayo S.A. E.S.P., en cuanto a la gradualidad en la aplicación del Cargo Máximo de Nivel de Tensión 2 establecida en el numeral 3 del Artículo 2 de dicha Resolución:
- Cargo de transición para el primer mes de aplicación del Cargo Máximo de Nivel de Tensión 2 aprobado en esta Resolución: 49.2487 $/kWh (pesos de diciembre de 2001).
- Porcentaje de incremento mensual: 2.8%, en términos reales.
- Plazo: 24 meses
Resolución CREG 032-03 Artículo 2, Num. 3
Artículo 8. Vigencia. De conformidad con lo previsto por el artículo 13 de la Resolución CREG 082 de 2002, los cargos y valores aprobados en esta Resolución estarán vigentes desde la fecha en que quede en firme esta Resolución y se aplicarán a partir del mes siguiente, conforme a lo dispuesto en el literal c) numeral 1. del anexo 2 de la Resolución CREG 082 de 2002 y hasta el 31 de diciembre del año 2007. Vencido su período de vigencia, continuarán rigiendo hasta que la Comisión apruebe los nuevos.
Concordancia: Resolución CREG 082-02 Artículo 13
Concordancia: Resolución CREG 082-02 Anexo 2. Num. 1, lit. c
Artículo 9. Recursos. La presente Resolución deberá notificarse a la Empresa de Energía del Putumayo S.A. E.S.P. Contra lo dispuesto en este acto procede el recurso de reposición, el cual se podrá interponer ante la Dirección Ejecutiva de la CREG dentro de los cinco (5) días hábiles siguientes a la fecha de su notificación.
Publicada en el Diario Oficial No. 45.244 del 10 de julio de 2003
NOTIFÍQUESE, PUBLÍQUESE Y CÚMPLASE,
Dada en Bogotá D.C., a los 19 JUN. 2003
LUIS ERNESTO MEJÍA CASTRO | JAIME ALBERTO BLANDÓN DÍAZ |
Ministro de Minas y Energía | Director Ejecutivo |
Presidente |  |
|
Doble click sobre el archivo anexo para bajarlo(Resoluciones CREG) |
Doble click sobre el archivo anexo para bajarlo(Documento CREG) |
|