Ministerio de Minas y EnergíaCOMISIÓN DE REGULACIÓN DE ENERGÍA Y GAS
RESOLUCIÓN No. 119 DE 2017
( 24 AGO. 2018 )
Por la cual se ordena hacer público el proyecto de resolución “Por la cual se modifican temporalmente algunos aspectos de las resoluciones CREG que regulan la calidad del servicio y el suministro de información, con motivo del evento ocurrido en el municipio de Mocoa – departamento del Putumayo, el 31 de marzo de 2017”
LA COMISIÓN DE REGULACIÓN DE ENERGÍA Y GAS
En ejercicio de sus atribuciones constitucionales y legales, en especial las conferidas por las Leyes 142 y 143 de 1994, y en desarrollo de los Decretos 1524, 2253 de 1994 y 1260 de 2013;
CONSIDERANDO QUE:
Conforme a lo dispuesto por el artículo 8 del Código de Procedimiento Administrativo y de lo Contencioso Administrativo y el artículo 9 del Decreto 2696 de 2004, recogido en los numerales 2.2.13.1 y siguientes del Decreto 1078 de 2015, la Comisión debe hacer público en su página web todos los proyectos de resolución de carácter general que pretenda adoptar.
La Comisión de Regulación de Energía y Gas, en su sesión 797 del 24 de agosto de 2017, acordó hacer público el proyecto de resolución “Por la cual se modifican temporalmente algunos aspectos de las resoluciones CREG que regulan la calidad del servicio y el suministro de información, con motivo del evento ocurrido en el municipio de Mocoa – departamento del Putumayo, el 31 de marzo de 2017”.
R E S U E L V E:
Artículo 1. Objeto. Hágase público el proyecto de resolución “Por la cual se modifican temporalmente algunos aspectos de las resoluciones CREG que regulan la calidad del servicio y el suministro de información, con motivo del evento ocurrido en el municipio de Mocoa – departamento del Putumayo, el 31 de marzo de 2017”.
Artículo 2. Presentación de comentarios, observaciones y sugerencias. Se invita a los usuarios, a los agentes, a las autoridades locales, municipales y departamentales, a las entidades y a los demás interesados para que, dentro de los diez (10) días siguientes a la publicación de la presente resolución, remitan sus observaciones o sugerencias sobre las propuestas contenidas en el proyecto de resolución adjunto.
Las observaciones y sugerencias sobre el proyecto deberán dirigirse al director ejecutivo de la Comisión, a la dirección: calle 116 No. 7-15, interior 2 oficina 901 en Bogotá D.C. o al correo electrónico creg@creg.gov.co.
Artículo 3. Vigencia. La presente resolución rige a partir de su publicación en el Diario Oficial y no deroga ni modifica disposiciones vigentes por tratarse de un acto de trámite.
PUBLÍQUESE Y CÚMPLASE
Dado en Bogotá, D. C. 24 AGO. 2017
GERMÁN ARCE ZAPATA | GERMÁN CASTRO FERREIRA |
Ministro de Minas y Energía | Director Ejecutivo |
Presidente |  |
PROYECTO DE RESOLUCIÓN
Por la cual se modifican temporalmente algunos aspectos de las resoluciones CREG que regulan la calidad del servicio y el suministro de información, con motivo del evento ocurrido en el municipio de Mocoa – departamento del Putumayo, el 31 de marzo de 2017
LA COMISIÓN DE REGULACIÓN DE ENERGÍA Y GAS
En ejercicio de las atribuciones legales, en especial las conferidas por las Leyes 142 y 143 de 1994, y los decretos 1524 y 2253 de 1994 y 1260 de 2013
CONSIDERANDO QUE: De acuerdo con lo previsto en los literales c) y d) del artículo 23 y en el artículo 41 de la Ley 143 de 1994, es función de la Comisión de Regulación de Energía y Gas definir la metodología de cálculo y fijar las tarifas por el acceso y uso de las redes eléctricas.
Según el artículo 87.8 de la Ley 142 de 1994 “toda tarifa tendrá un carácter integral, en el sentido de que supondrá una calidad y grado de cobertura del servicio, cuyas características definirán las comisiones reguladoras. Un cambio en estas características se considerará como un cambio en la tarifa”.
El artículo 23, literal n), de la Ley 143 de 1994 estableció que la Comisión de Regulación de Energía y Gas tiene dentro de sus funciones generales la de definir y hacer operativos los criterios técnicos de calidad, confiabilidad y seguridad del servicio de energía.
Mediante la Resolución CREG 022 de 2001, modificada por las resoluciones CREG 085 de 2002, 093 de 2007, 147 de 2011 y 064 de 2013, entre otras, la CREG estableció los principios generales y los procedimientos para la preparación del plan de expansión de referencia del Sistema de Transmisión Nacional, STN, y se estableció la metodología para determinar el ingreso regulado por concepto del uso de este sistema, y dispuso que la expansión del STN se haga mediante la ejecución, a mínimo costo, de los proyectos del Plan de Expansión de Transmisión de Referencia, por parte de los inversionistas que resulten seleccionados en procesos que estimulen y garanticen la libre competencia.
Mediante la Resolución CREG 097 de 2008, modificada por las resoluciones CREG 133, 135 y 166 de 2008, la Comisión aprobó los principios generales y la metodología para el establecimiento de los cargos por uso del Sistema de Transmisión Regional, STR, y del Sistema de Distribución Local, SDL.
En la Resolución CREG 011 de 2009 se estableció la metodología y fórmulas tarifarias para la remuneración de la actividad de transmisión de energía eléctrica en el Sistema de Transmisión Nacional.
En cuanto a los activos que hacen parte del inventario considerado para la aprobación inicial de ingresos y que posteriormente salen de operación, corresponde a los agentes informar de tal situación a la Comisión. Para el caso de la actividad de transmisión, el artículo 7 de la Resolución CREG 011 de 2009 señala:
Artículo 7. Ingreso Anual. El Ingreso Anual de cada TN, IAT, correspondiente a los activos de que trata el Artículo 5 de esta Resolución, se calculará de acuerdo con lo establecido en el numeral 1.1 del Anexo General de la presente Resolución.
El IAT aplicable en términos reales solo se ajustará si la CREG llegare a modificar los valores de las Unidades Constructivas, cuando se modifique el valor del AOM reconocido o cuando, en cumplimiento de la regulación vigente, se excluyan Activos de Uso en operación, ingresen nuevos Activos de Uso o se remplacen las Unidades Constructivas instaladas por otras de clasificación diferente de acuerdo con lo establecido en el Artículo 6 de la presente Resolución.
Parágrafo. Para la remuneración de los terrenos que hacen parte de las Unidades Constructivas de subestaciones se tendrá en cuenta el valor catastral del metro cuadrado (m2) del terreno donde está ubicada cada subestación.
Para la actividad de distribución, el último inciso del numeral 4.1 del anexo general de la Resolución CREG 097 de 2008 señala:
El Costo Anual por el uso de los activos del Nivel de Tensión 4 será revisado oficiosamente por la Comisión cuando se detecte que alguno de los activos reportados para su remuneración no continúa en servicio. Sin perjuicio de lo anterior, el agente tiene la obligación de informar a la Comisión sobre la ocurrencia de tal hecho.
Por otra parte, en cuanto a la calidad del servicio, el artículo 1 de la Resolución CREG 093 de 2012, “por la cual se establecen el reglamento para el reporte de Eventos y el procedimiento para el cálculo de la Energía No Suministrada, y se precisan otras disposiciones relacionadas con la calidad del servicio en el Sistema de Transmisión Nacional”, señala:
Artículo 1. Ámbito de aplicación. Lo dispuesto en esta resolución se aplicará a los agentes que realizan la actividad de transmisión de energía eléctrica y a todos aquellos agentes responsables de la información necesaria para la aplicación del esquema de calidad del servicio en el Sistema de Transmisión Nacional, STN, establecido en el capítulo 4 del anexo general de la Resolución CREG 011 de 2009 o las que la modifiquen o sustituyan.
Los activos del STN sobre los que aplica el esquema de calidad del servicio son los que: i) hacen parte de la base de activos aprobada a cada Transmisor Nacional, TN, mediante resolución particular, ii) están en operación comercial y podrán hacer parte de la base de activos de un TN, o iii) son construidos como resultado de procesos de libre concurrencia.
Para calcular las compensaciones correspondientes a los activos construidos como resultado de procesos de libre concurrencia, el parágrafo 1 del artículo 17 de la Resolución CREG 011 de 2009 establece lo siguiente:
Parágrafo 1. Los propietarios de los proyectos de expansión ejecutados como resultado de procesos de selección regulados por la CREG, al momento de declarar su entrada en operación comercial deberán reportar al LAC el inventario de las Unidades Constructivas que componen dicho proyecto. De no existir la correspondiente Unidad Constructiva se asociará con aquella más parecida. Las compensaciones serán calculadas con base en el valor aprobado en esta Resolución para cada una de las Unidades Constructivas reportadas y se descontarán del ingreso mensual del TN.
En la misma forma el artículo 1 de la Resolución CREG 094 de 2012, por la cual “se establecen el reglamento para el reporte de Eventos y el procedimiento para el cálculo de la Energía No Suministrada, y se precisan otras disposiciones relacionadas con la calidad del servicio en el Sistema de Transmisión Regional”, señala:
Artículo 1. Ámbito de aplicación. Lo dispuesto en esta resolución se aplicará a los agentes que realizan la actividad de distribución en los Sistemas de Transmisión Regional, STR, y a todos aquellos agentes responsables de la información necesaria para la aplicación del esquema de calidad del servicio, establecido en el numeral 11.1 del anexo general de la Resolución CREG 097 de 2008 o las que la modifiquen o sustituyan.
Los activos del STR sobre los que aplica el esquema de calidad del servicio son los que: i) hacen parte del Inventario Reconocido a cada Operador de Red, OR, ii) están en operación comercial y podrán hacer parte de este inventario, o iii) son construidos como resultado de procesos de libre concurrencia.
El 31 de marzo de 2017, en el municipio de Mocoa – departamento de Putumayo, se presentó una creciente de los ríos Mocoa, Mulato y Sangoyaco y otras quebradas afluentes causando daños en la infraestructura utilizada en la prestación del servicio de energía eléctrica en la región. Principalmente, resultó afectada la subestación Junín con activos en operación tanto en transmisión como en distribución.
Con base en lo anterior el Gobierno Nacional expidió los Decretos 599 de 2017 “por el cual se declara la situación de desastre en el municipio de Mocoa - departamento de Putumayo” y 601 de 2017 “por el cual se declara el Estado de Emergencia Económica, Social y Ecológica en el municipio de Mocoa”.
Por su parte, la Corporación para el Desarrollo Sostenible del Sur de la Amazonía, Corpoamazonía, publicó la Resolución DG No. 447 de 2017 por la cual “en aplicación del principio de precaución se establece dentro de la categoría de protección y conservación ambiental, el área definida como sector 1 en el ‘Mapa de delimitación de la avenida fluviotorrencial del 31 de marzo y 1 de abril de 2017 en el municipio de Mocoa, departamento de Putumayo’ para las quebradas Taruca, Taruquita, San Antonio y El Carmen y los ríos Sangoyaco y Mulato.”
El alcalde del municipio de Mocoa expidió el Decreto 0082 de 2017 mediante el cual “en atención del principio de precaución, se prohíbe y se suspende, todo tipo de construcción, remodelación, adecuación y ocupación de los bienes inmuebles que se encuentren en el sector 1 definido por la resolución DG No. 447 del 19 de abril de 2017 emitida por CORPOAMAZONIA para el municipio de Mocoa hasta nueva orden y se dictan otras disposiciones”.
El día 9 de mayo de 2017, funcionarios de la Empresa de Energía de Bogotá S.A. E.S.P. como agente transmisor representante de varios activos instalados en la región afectada y que fueron construidos a partir de procesos de selección, presentaron a la CREG la situación de afectación de los activos y solicitaron la modificación de algunas disposiciones regulatorias.
El día 17 de mayo de 2017, funcionarios de la Empresa de Energía de Putumayo S.A. E.S.P presentaron a la CREG la situación de afectación de los activos de transmisión regional y distribución local operados por la empresa y la repercusión que el evento en Mocoa les causó con respecto a la aplicación de las disposiciones regulatorias vigentes.
La Empresa de Energía de Bogotá, mediante comunicación con radicado CREG E-2017-005141 solicitó a la Comisión:
1. Emitir concepto al CND sobre la disponibilidad de la línea Mocoa - Altamira, la cual está actualmente energizada a 115 kV como parte de la solución temporal para viabilizar la prestación del servicio de energía eléctrica en Mocoa y la región; siendo un activo del STN que está prestando servicio al Sistema Interconectado Nacional.
2. Emitir concepto al CND sobre la disponibilidad de la línea Mocoa - Jamondino, la cual se energizó en vacío a 230 kV, quedando disponible para el control de reactivos y demás requerimientos del CND; pues en la condición actual de la línea se mantiene la Capacidad Nominal del Activo como se contempla en la definición de Disponibilidad indicada en la resolución.
3. Una vez EEB proceda con la declaración de disponibilidad de los activos energizados para el restablecimiento provisional, solicitamos entren en un esquema de calidad transitorio de tal forma que los eventos que generen salidas forzadas sobre estos no sean tenidos en cuenta en los cálculos de indicadores.
Esto dado que dichos activos estarían operando en condiciones propias de una instalación provisional, pero con los que se busca enmallar nuevamente el área y que haya mayor confiabilidad en la solución transitoria mientras se construye la nueva subestación.
Este esquema de calidad transitorio debe incluir el poder disponer de los activos para realizar adecuaciones o mejoras de confiabilidad sin que ello afecte los indicadores, previa coordinación con CND para evitar en lo posible la desatención de la demanda.
4. Ampliar la ventana de tiempo de 6 meses establecidos en la resolución CREG 011 de 2009 para que no aplique la compensación respecto de la indisponibilidad de todos los activos de EEB afectados en el evento, hasta que se cuente con la nueva subestación Mocoa de forma definitiva para el STN, previa coordinación de la ubicación y configuración con la UPME.
La Empresa de Energía del Putumayo, como operador de varios activos del Sistema de Transmisión Regional, STR, y del Sistema de Distribución Local, SDL, instalados en la región afectada, mediante comunicaciones con radicados CREG E-2017-005475 y E-2017-006534 solicitó a la Comisión:
(…) que suspendan los plazos establecidos en la regulación vigente, es decir, en la Resolución 097 de 2008, en lo referente a:
1. Afectación de cargos de STR
2. Reportes de calidad de la potencia
3. Esquema de calidad
Finalmente, en lo referente a la Afectación por compensaciones en el SDL, solicitamos nuevamente que se permita a la Empresa, hasta la recuperación de la subestación Junín, reportar las salidas de los circuitos como un evento de fuerza mayor.
En respuesta a la solicitud de la empresa y con el fin de aclarar la situación de afectación de las redes y transformadores del sistema de distribución local, mediante comunicación con radicado S-2017-002851 del 27 de junio de 2017, la CREG solicitó a la Empresa de Energía del Putumayo S.A. E.S.P. información específica de detalle y revisar conjuntamente la forma en realizar el cálculo de los indicadores de calidad del servicio.
Mediante comunicación con radicado E-2017-006855 del 24 de julio de 2017 la Empresa de Energía del Putumayo S.A. E.S.P. respondió a la solicitud de información hecha por la CREG. No obstante, no se pronunció sobre la solicitud de revisar conjuntamente la forma en que el OR calcula los indicadores de calidad del servicio.
La Comisión, con base en la información que se tiene sobre la magnitud del evento y la relación de activos afectados, considera conveniente ampliar las ventanas de tiempo relacionadas con el inicio del cálculo de las compensaciones por indisponibilidad de activos.
RESUELVE:
Artículo 1. Ámbito de aplicación. Lo dispuesto en esta resolución aplica a los agentes responsables de activos que hacen parte del Sistema de Transmisión Nacional, STN, de los Sistemas de Transmisión Regional, STR, y de los Sistemas de Distribución Local, SDL, que estén siendo remunerados mediante cargos por uso y que hayan resultado afectados por el evento sucedido en el municipio de Mocoa – departamento del Putumayo, el 31 de marzo de 2017. Para los efectos de esta resolución se denominarán activos afectados en cada uno de los sistemas mencionados.Artículo 2. Aplicación temporal del numeral 4.8.2 del anexo general de la Resolución CREG 011 de 2009. Para los activos afectados en el STN identificados en el artículo 1, hasta el 30 de septiembre de 2018, a cambio de lo previsto en el numeral 4.8.2 del anexo general de la Resolución CREG 011 de 2009, se aplicará lo siguiente:
Remuneración y Compensaciones en casos de indisponibilidad de un activo por catástrofes naturales
La remuneración del activo k indisponible por causa de catástrofes naturales no se reducirá durante los primeros dieciocho meses de indisponibilidad, contados a partir de la ocurrencia del Evento. Transcurridos estos dieciocho meses, la indisponibilidad dará lugar a compensaciones.
Por tanto, para los casos de indisponibilidades originadas en la catástrofe natural ocurrida el 31 de marzo de 2017 en el municipio de Mocoa – departamento del Putumayo, la remuneración del activo k en el mes m, para cada mes mi que este se encuentre indisponible será:

Donde:
IMRTm,k: Remuneración Temporal para el activo k, en el mes m, mientras el activo k esté indisponible por las causas citadas en este numeral. ($)
mi: Número de meses calendario completos transcurridos a partir de la ocurrencia del Evento, incluido el mes m, durante los cuales el activo k ha estado indisponible.
IMRm,k : Ingreso Mensual Regulado para remunerar el activo k, durante el mes m, tal como se define en el numeral 4.7 de este Anexo. ($)
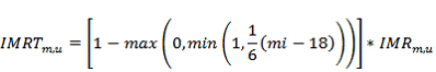
Artículo 3. Aplicación temporal del numeral 11.1.7 del anexo general de la Resolución CREG 097 de 2008. Para los activos afectados en el STR identificados en el artículo 1, hasta el 30 de septiembre de 2018, a cambio de lo previsto en el numeral 11.1.7 del anexo general de la Resolución CREG 097 de 2008, se aplicará lo siguiente:
Remuneración en algunos casos de indisponibilidad
La remuneración del activo u indisponible por causa de catástrofes naturales no se reducirá durante los primeros dieciocho meses de indisponibilidad, contados a partir de la ocurrencia del Evento. Transcurridos estos dieciocho meses, la indisponibilidad dará lugar a compensaciones.
Por tanto, para los casos de indisponibilidades originadas en la catástrofe natural ocurrida el 31 de marzo de 2017 en el municipio de Mocoa – departamento del Putumayo, la remuneración del activo u en el mes m, para cada mes mi que este se encuentre indisponible será:

Donde:
IMRTm,u: Remuneración Mensual Temporal para el activo u, en el mes m, mientras el activo u esté indisponible por las causas citadas en este numeral.
mi: Número de meses calendario completos transcurridos a partir de la ocurrencia del Evento, incluido el mes m, durante los cuales el activo u ha estado indisponible.
IMRm,u : Ingreso Mensual Regulado para remunerar el activo u, durante el mes m, tal como se define en el numeral 11.1.6 de este Anexo.
Artículo 4. Reporte calidad del servicio. Hasta el mes de septiembre de 2018, los eventos programados para la reparación, reconstrucción o remodelación de los activos afectados en el SDL pueden ser excluidos del cálculo de los indicadores de calidad que se encuentre aplicando el OR, siempre que la información de duración y frecuencia correspondiente a estos eventos, que es utilizada para su reporte de calidad de activos al SUI, haya sido clasificada en el campo “trabajo en subestaciones remodelación y reposición” contenido en los formatos 4 y 5 de la Resolución SSPD – 20102400008055, o la que la modifique o sustituya.
Artículo 5. Reporte calidad de la potencia eléctrica. Los OR que dentro de sus activos afectados tengan los necesarios para realizar el reporte de valores de indicadores de los que trata el artículo 6 de la Resolución CREG 024 de 2005, estarán exceptuados de la obligación de realizar este reporte hasta el mes de septiembre del año 2018.
Artículo 6. Informes. Los agentes interesados en que a algunos de sus activos afectados les sea aplicable lo previsto en esta resolución deben entregar a la Superintendencia de Servicios Públicos Domiciliarios y a la CREG, durante el mes siguiente a la entrada en vigencia de esta resolución, lo siguiente:
- inventario de unidades constructivas afectadas en el STN y en el STR,
- inventario de unidades constructivas o de activos afectados en el SDL,
- cronograma de restauración de activos.
Siete meses después de la entrada en vigencia de la presente resolución, y cada seis meses posteriores, los agentes con activos afectados entregarán a la Superintendencia de Servicios Públicos Domiciliarios y a la CREG un informe con el detalle del avance del programa de restauración.
Artículo 7. Vigencia. La presente resolución rige a partir de su publicación en el Diario Oficial.
PUBLÍQUESE Y CÚMPLASE
Firmas del proyecto,
GERMÁN ARCE ZAPATA | GERMÁN CASTRO FERREIRA |
Ministro de Minas y Energía | Director Ejecutivo |
Presidente |  |
|