| Publicación Diario Oficial No.: | 46.584, el día:28/March/2007 |
| Publicada en la WEB CREG el: | 27/March/2007 |
| RESOLUCIÓN No.025 ( 20 MAR. 2007 )
Por la cual se ordena hacer público un proyecto de resolución de carácter general, que propone adoptar la CREG por la cual se dictan normas sobre la participación en el mercado de generación de energía eléctrica.
LA COMISIÓN DE REGULACIÓN DE ENERGÍA Y GAS
En ejercicio de las atribuciones legales, en especial las conferidas por las Leyes 142 y 143 de 1994, y en desarrollo de los decretos 1524 y 2253 de 1994, y
C O N S I D E R A N D O:
Que conforme a lo dispuesto por el artículo 9 del Decreto 2696 de 2004, la Comisión debe hacer público en su página Web todos los proyectos de resoluciones de carácter general que proponga adoptar, con las excepciones que allí se señalan, con antelación no inferior a treinta (30) días a la fecha de su expedición;
Que la Comisión de Regulación de Energía y Gas, en su Sesión 324 del 8 de marzo de 2007, aprobó hacer público el Documento CREG 021 de 2007, titulado “Regulación de la participación en el mercado de generación de energía eléctrica”;
Que la Comisión de Regulación de Energía y Gas, en su Sesión 326 del 20 de marzo de 2007, aprobó hacer público el proyecto de resolución “Por la cual se dictan normas sobre la participación en el mercado de generación de energía eléctrica”;
RESUELVE:
Artículo 1. Hágase público el proyecto de resolución “Por la cual se dictan normas sobre la participación en el mercado de generación de energía eléctrica”
Artículo 2. Se invita a los agentes, a los usuarios, a las Autoridades Locales Municipales y Departamentales competentes y a la Superintendencia de Servicios Públicos Domiciliarios, para que remitan sus observaciones o sugerencias sobre la propuesta, dentro de los treinta (30) días siguientes a la publicación de la presente Resolución en la página Web de la Comisión de Regulación de Energía y Gas.
Artículo 3. Infórmese en la página Web la identificación de la dependencia administrativa y de las personas a quienes se podrá solicitar información sobre el proyecto y hacer llegar las observaciones, reparos o sugerencias, y los demás aspectos previstos en el artículo 10 del Decreto 2696 de 2004.
Artículo 4. La presente Resolución no deroga disposiciones vigentes por tratarse de un acto de trámite.
PUBLÍQUESE Y CÚMPLASE Dada en Bogotá, D.C., 20 MAR. 2007
MANUEL MAIGUASHCA OLANO | CAMILO QUINTERO MONTAÑO |
Viceministro de Minas y Energía | Director Ejecutivo |
Delegado del Ministro de Minas y Energía
Presidente |  |
ANEXO
Por la cual se dictan normas sobre la participación en el mercado de generación de energía eléctrica LA COMISIÓN DE REGULACIÓN DE ENERGÍA Y GAS
En ejercicio de las atribuciones legales, en especial las conferidas por las Leyes 142 y 143 de 1994, y en desarrollo de los decretos 1524 y 2253 de 1994, y
C O N S I D E R A N D O:
Que el Artículo 333 de la Constitución Nacional consagra la libre competencia como un derecho de todos que supone responsabilidades y determina que la libertad económica y la iniciativa privada son libres dentro de los límites del bien común;
Que el mismo artículo establece que es un deber del Estado, por mandato de la ley, impedir que se restrinja la libertad económica y evitar los abusos de posición dominante en el mercado nacional;
Que el artículo 365 de la Constitución Política definió que los servicios públicos son inherentes a la finalidad social del Estado;
Que la Ley 142 de 1994, numeral 25 del Artículo 73, otorga a la Comisión la facultad de establecer los mecanismos indispensables para evitar concentración de la propiedad accionaria en empresas con actividades complementarias en un mismo sector o sectores afines en la prestación de cada servicio público;
Que, igualmente, la Ley 142 de 1994, Artículo 73.16, atribuye a la Comisión de Regulación de Energía y Gas la facultad de "impedir que quienes captan o producen un bien que se distribuye por medio de empresas de servicios públicos adopten pactos contrarios a la libre competencia en perjuicio de los distribuidores";
Que la misma Ley 142 de 1994, Artículo 74 numera 1, asigna a la Comisión la función de regular el ejercicio de las actividades de los sectores de energía y gas combustible para asegurar la disponibilidad de una oferta energética eficiente, propiciar la competencia en el sector de minas y energía, proponer la adopción de las medidas necesarias para impedir abusos de posición dominante y buscar la liberación gradual de los mercados hacia la libre competencia, con la facultad de adoptar reglas de comportamiento diferencial, según la posición de las empresas en el mercado;
Que según lo dispuesto en la Ley 143 de 1994, Artículo 3, le corresponde al Estado, en relación con el servicio público de electricidad, prevenir la realización de prácticas que constituyan competencia desleal o abuso de posición dominante en el mercado;
Que el Artículo 7 de la misma ley determina que en las actividades del sector eléctrico podrán participar diferentes agentes económicos, públicos, privados o mixtos, los cuales gozarán de libertad para desarrollar sus funciones en un contexto de libre competencia, de conformidad con los artículos 333, 334 y el inciso penúltimo del artículo 336 de la Constitución Nacional, y el artículo 3o. de dicha Ley;
Que para el logro del objetivo señalado en la Ley 143 de 1994, Artículo 20, esa misma Ley atribuyó a la Comisión de Regulación de Energía y Gas, entre otras funciones, la de "crear las condiciones para asegurar la disponibilidad de una oferta energética eficiente capaz de abastecer la demanda bajo criterios sociales, económicos, ambientales y de viabilidad financiera, promover y preservar la competencia";
Que mediante las Resoluciones CREG 128 de 1996, 042 de 1999 y 01 de 2006, la Comisión de Regulación de Energía y Gas, expidió normas sobre la participación en la actividad de generación y fijó límites a la participación accionaria entre empresas con actividades complementarias;
Que analizada la experiencia obtenida a partir de la aplicación estas normas y teniendo en cuenta la evolución del sector, se considera necesario hacer modificaciones a las mismas con el fin de fomentar la participación de nuevos agentes en el mercado y propiciar la competencia en el sector de energía, para así asegurar la disponibilidad de una oferta energética eficiente capaz de abastecer la demanda bajo criterios sociales y económicos;
R E S U E L V E:
Artículo 1. Definiciones. Para la interpretación y aplicación de esta resolución se tendrán en cuenta, además de las definiciones establecidas en las Leyes 142 y 143 de 1994 y en las resoluciones vigentes de la CREG, las siguientes:
Energía Firme para el Cargo por Confiabilidad (ENFICC): Es la máxima energía eléctrica que es capaz de entregar una planta de generación continuamente, en condiciones de baja hidrología, en un período de un año, de conformidad con lo establecido en la Resolución CREG-071 de 2006 o aquellas que la modifiquen, adicionen o sustituyan.
Artículo 2. Regulación diferencial según la participación del agente en la actividad de generación eléctrica y la concentración del mercado.
a) Cuando la participación de un generador en la actividad de generación eléctrica, medida de conformidad con lo establecido en el Artículo 3 de esta resolución, sea mayor o igual a 25% e inferior a 30%, y el Índice Herfindahl-Hirschman (IHH), calculado como se establece en el Artículo 4 de esta resolución, sea mayor o igual a 1800, la CREG podrá solicitar a la Superintendencia de Servicios Públicos Domiciliarios vigilancia especial para el respectivo generador.
b) Cuando la participación de un generador en la actividad de generación sea mayor o igual a 30% y el IHH sea mayor o igual a 1800, el agente deberá implementar el esquema de oferta de energía establecido en el Artículo 5 de esta resolución.
Artículo 3. Cálculo de la participación en la actividad de generación eléctrica. La participación de un agente en la actividad de generación eléctrica se calculará como el cociente, multiplicado por cien, entre:
a) la suma de la ENFICC de las plantas propias, la de las representadas ante el MEM por el agente, y la de las plantas pertenecientes o representadas por otras empresas con quienes tenga una relación de control, ya sea en calidad de matriz, filial, subsidiaria o subordinada de acuerdo con lo previsto en la legislación comercial, y
b) la suma de la ENFICC de todas las plantas o unidades de generación del Sistema Interconectado Nacional.
Parágrafo 1. En el cálculo anterior se incluirán las plantas o unidades de generación instaladas en zonas francas.
Parágrafo 2. Para el cálculo de este porcentaje se empleará la última declaración de ENFICC hecha por el generador para el Cargo por Confiabilidad, o el cálculo de la ENFICC realizado por el Centro Nacional de Despacho en el caso de las plantas no despachadas centralmente o de los agentes que no hayan efectuado la declaración, sin incluir la ENFICC respaldada por plantas o unidades de generación que no hayan entrado en operación.
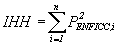
Artículo 4. Cálculo del IHH. Para los efectos de esta resolución, el IHH se calculará de la siguiente forma:
donde:
: Participación en la actividad de generación eléctrica del agente i, calculado de conformidad con lo establecido en el Artículo 3 de esta resolución.
n: Número de agentes generadores propietarios o representantes comerciales de plantas o unidades de generación con ENFICC declarada o calculada por el CND.
Artículo 5. Esquema de oferta de energía. Cuando se cumplan las condiciones establecidas en el literal b) del Artículo 2 de esta resolución, el generador deberá poner a disposición de otros agentes la energía suficiente para que la participación en la actividad de generación y el IHH retornen a los niveles establecidos en dicho literal. Las particularidades de este esquema de oferta de energía serán establecidas por la CREG en resolución aparte.
Artículo 6. Límite a la participación en la actividad de generación eléctrica aplicable a las fusiones, integraciones y adquisiciones. A partir de la vigencia de la presente resolución, ninguna persona natural o jurídica podrá incrementar su participación en la actividad de generación mediante operaciones relacionadas con adquisición de participación en el capital o en la propiedad o de cualquier otro derecho, o con cualquier otro tipo de adquisición, fusión o integración , cuando la participación en la actividad de generación resultante de tal operación supere el 25%.
Artículo 7. Derogatoria Expresa. Derógase el Artículo 3 de la Resolución CREG-128 de 1996 modificado por el Artículo 2 de la Resolución CREG-042 de 1999 y por el Artículo 2 de la Resolución CREG-001 de 2006.
Artículo 8. Vigencia. La presente Resolución rige a partir de la fecha de su publicación en el Diario Oficial.
MANUEL MAIGUASHCA OLANO | CAMILO QUINTERO MONTAÑO |
Viceministro de Minas y Energía | Director Ejecutivo |
Delegado del Ministro de Minas y Energía |  |
Presidente |  |
|
Doble click sobre el archivo anexo para bajarlo(Resoluciones CREG) |
Doble click sobre el archivo anexo para bajarlo(Documento CREG) |
|