| Publicación Diario Oficial No.: | 50.726, el día:24/September/2018 |
| Publicada en la WEB CREG el: | 21/September/2018 |
| Comentarios hasta el: | 28/September/2018 |
| Favor Dirigir los Comentarios a: | Dr. CHRISTIAN RAFAEL JARAMILLO HERRERA - DIRECTOR EJECUTIVO |
EN CONSULTA
Ministerio de Minas y Energía
COMISIÓN DE REGULACIÓN DE ENERGÍA Y GAS
RESOLUCIÓN No. 121 DE 2018
( 14 SET. 2018 )
Por la cual se ordena hacer público un proyecto de resolución “Por la cual se establecen las condiciones de competencia para el mecanismo de contratación establecido en la Resolución 40791 de 2018 del Ministerio de Minas y Energía y la fórmula de traslado de los precios de dicho mecanismo en el componente de costos de compras de energía al usuario regulado”.
LA COMISIÓN DE REGULACIÓN DE ENERGÍA Y GAS
En ejercicio de sus atribuciones constitucionales y legales, en especial las conferidas por las Leyes 142 y 143 de 1994, y en desarrollo de los Decretos 1524, 2253 de 1994 y 1260 de 2013.
Conforme a lo dispuesto por el artículo 8 del Código de Procedimiento Administrativo y de lo Contencioso Administrativo, el artículo 2.2.13.3.2 del Decreto 1078 de 2015 y el artículo 33 de la Resolución CREG 039 de 2017, la Comisión debe hacer público en su página web todos los proyectos de resolución de carácter general que pretenda adoptar.
El Decreto 0570 de 2018 señaló que “la CREG, antes del 31 de julio de 2018, establecerá el esquema para trasladar los costos eficientes de compra de energía resultantes de la aplicación del mecanismo del que trata el artículo 2.2.3.8.7.1 a la tarifa de los usuarios finales, de acuerdo con lo establecido en el artículo 73.11 de la Ley 142 de 1994 y demás normas concordantes.”
Mediante la Resolución 40791 de 2018, del 31 de julio de 2018, el Ministerio de Minas y Energía definió el mecanismo para promover la contratación de largo plazo y con la Resolución 40795 de 2018 convocó a la primera subasta.
La Comisión de Regulación de Energía y Gas, en su sesión No. 878 del 14 de septiembre de 2018, aprobó hacer público el proyecto de resolución “Por la cual se establecen las condiciones de competencia para el mecanismo de contratación establecido en la Resolución 40791 de 2018 del Ministerio de Minas y Energía y la fórmula de traslado de los precios de dicho mecanismo en el componente de costos de compras de energía al usuario regulado”.
Artículo 1. Hágase público el siguiente proyecto de resolución: “Por la cual se establecen las condiciones de competencia para el mecanismo de contratación establecido en la Resolución 40791 de 2018 del Ministerio de Minas y Energía y fórmula de traslado de los precios de dicho mecanismo en el componente de costos de compras de energía al usuario regulado”.
Artículo 2. Se invita a los agentes, a los usuarios, a las autoridades competentes, a la Superintendencia de Servicios Públicos Domiciliarios y a la Superintendencia de Industria y Comercio, para que remitan sus observaciones o sugerencias sobre la propuesta, dentro de los cinco (5) días hábiles siguientes a publicación del proyecto en la página Web de la Comisión de Regulación de Energía y Gas.
Artículo 3. Infórmese en la página web la identificación de la dependencia administrativa y de las personas a quienes se podrá solicitar información sobre el proyecto y hacer llegar las observaciones, reparos o sugerencias, y los demás aspectos previstos en el artículo 2.2.13.3.3 del Decreto 1078 de 2015.
Artículo 4. La presente Resolución no deroga disposiciones vigentes por tratarse de un acto de trámite.
Dada en Bogotá D.C., 14 SET. 2018
MARÍA FERNANDA SUÁREZ LONDOÑO | CHRISTIAN JARAMILLO HERRERA |
Ministra de Minas y Energía
Presidente | Director Ejecutivo |
PROYECTO DE RESOLUCIÓN
Por la cual se establecen las condiciones de competencia para el mecanismo de contratación establecido en la Resolución 40791 de 2018 del Ministerio de Minas y Energía y la fórmula de traslado de los precios de dicho mecanismo en el componente de costos de compras de energía al usuario regulado.
LA COMISIÓN DE REGULACIÓN DE ENERGÍA Y GAS
En ejercicio de sus atribuciones constitucionales y legales, en especial las conferidas por las leyes 142 y 143 de 1994, y en desarrollo de los decretos 1524 y 2253 de 1994, y el Decreto 1260 de 2013
El artículo 365 de la Constitución Política establece que los servicios públicos son inherentes a la finalidad social del Estado y es deber de este asegurar su prestación eficiente a todos los habitantes del territorio nacional. Así mismo el artículo 370 asigna al Presidente de la República la función de señalar, con sujeción a la ley, las políticas generales de administración y control de eficiencia de los servicios públicos domiciliarios.
De conformidad con la Ley 142 de 1994, artículo 3° numeral 3, la regulación de los servicios públicos es una forma de intervención del Estado en la economía que está orientada no solo a corregir fallas del mercado sino a desarrollar los fines esenciales de los servicios públicos.
Atendiendo lo dispuesto en el artículo 2 de la Ley 142 de 1994 dentro de los fines que persigue la intervención del Estado en la prestación de los servicios públicos domiciliarios se encuentran: la prestación eficiente, continua e ininterrumpida, la libre competencia, la no utilización abusiva de la posición dominante y la definición del régimen tarifario.
La Ley 142 de 1994 en su artículo 74.1 establece que es función de la Comisión de Regulación de Energía y Gas (CREG) regular el ejercicio de las actividades del sector de energía para asegurar la disponibilidad de una oferta energética eficiente, propiciar la competencia, adoptar medidas para impedir abusos de posición dominante y buscar la liberación gradual de los mercados hacia la libre competencia. Además, la Comisión podrá adoptar reglas de comportamiento diferencial, según la posición de las empresas en el mercado.
El Artículo 73.11 de la Ley 142 de 1994 atribuyó a la Comisión de Regulación de Energía y Gas la facultad de establecer las fórmulas para la fijación de las tarifas del servicio público domiciliario de energía eléctrica.
Según lo definido en el artículo 87.1 de la Ley 142 de 1994, la eficiencia económica es uno de los criterios que se deben cumplir en la definición del régimen tarifario. En consecuencia, la eficiencia permite que las fórmulas tarifarias tengan en cuenta los costos y los aumentos de productividad para luego ser distribuidos entre la empresa y los usuarios, tal y como ocurre en un mercado competitivo. El mismo criterio exige, además, que no se trasladen a los usuarios los costos de una gestión ineficiente, ni permitir que las empresas se apropien de las utilidades provenientes de prácticas restrictivas de la competencia.
En relación con este criterio y su relación con la prestación eficiente del servicio la H. Corte Constitucional ha precisado lo siguiente:
“4.5.2.2.4. En un mercado competitivo el incremento del precio como resultado de la ineficiencia, conlleva un riesgo, a saber, que el productor pierda participación en el mercado debido a que sus precios serán superiores a los de sus competidores. En este orden de ideas, la disposición según la cual ‘las fórmulas tarifarias no pueden trasladar a los usuarios los costos de una gestión ineficiente’ pretende que los usuarios no paguen el costo de las ineficiencias de las empresas, tal como no lo harían en un mercado competitivo. (Subrayado fuera del texto)”.
De acuerdo con el artículo 90 de la Ley 142, la CREG tiene competencia para incluir elementos en las fórmulas tarifarias. Todos los elementos deben observar entre otros, los criterios tarifarios previstos en el artículo 87 de la Ley 142 de 1994.
La ley 143 de 1994, en particular el artículo 23, asignó a la Comisión la función de aprobar las fórmulas tarifarias y las metodologías para el cálculo de las tarifas aplicables a los usuarios regulados. Adicionalmente, en el artículo 42 de la misma Ley se señala que “las ventas de electricidad a usuarios finales regulados serán retribuidas, sin excepción, por medio de tarifas sujetas a regulación”.
Los principios de eficiencia y calidad están definidos como la prestación del servicio bajo la correcta asignación y utilización de recursos, menor costo económico y cumplimiento de los requisitos técnicos que fueren definidos.
Según las leyes 142 y 143 de 1994, el mercado de energía mayorista se rige, entre otros, por el principio de libertad de entrada y de salida, que supone esencialmente autonomía para que cualquier persona decida la oportunidad para ingresar a dicho mercado y su permanencia o retiro, sin más exigencias que las indispensables para asegurar el cumplimiento de fines legales tales como la eficiencia, la seguridad, la libre competencia y el adecuado funcionamiento del mercado.
Con la Resolución CREG 119 de 2007 la Comisión aprobó la fórmula tarifaria general que permite a los comercializadores minoristas de electricidad establecer los costos de prestación del servicio a usuarios regulados en el sistema interconectado nacional.
La Resolución CREG 030 de 2018 reguló la autogeneración a pequeña escala y definió como se realiza el traslado de las compras de energía en la tarifa del usuario final en el componente G del CU, el componente Gm,i,j de la fórmula tarifaria establecida en el artículo 6 de la Resolución CREG 119 de 2007.
El Decreto 0570 de 2018, en donde se definen lineamientos de política pública para la contratación a largo plazo de proyectos de generación de energía eléctrica, determina que la CREG es la entidad encargada de establecer “el esquema para trasladar los costos eficientes de compra de energía resultantes de la aplicación del mecanismo … de acuerdo con lo establecido en el artículo 73.11 de la Ley 142 de 1994.”, para lo cual fijó como plazo el día 31 de julio de 2018.
El Ministerio de Minas y Energía expidió el 31 de julio de 2018 la Resolución 40791 de 2018 por la que se “define e implementa un mecanismo que promueva la contratación de largo plazo para proyectos de generación de energía eléctrica complementario a los mecanismos existentes en el Mercado de Energía Mayorista.” El artículo 22 de esta resolución determina que la CREG debe definir las condiciones de competencia que se deben cumplir para garantizar un proceso de interacción eficiente entre compradores y vendedores y la fórmula de traslado de los precios eficientes resultantes.
El mecanismo reglamentado Ministerio de Minas y Energía implementa una forma de contratación bilateral entre generadores y comercializadores que podrían atender a usuarios regulados, y que por ende dichas transacciones resultan en precios que deberían ser susceptibles de traslado en el componente de compras de energía del costo unitario de prestación del servicio al usuario regulado, siempre que sean resultado de una interacción que permita prever que son eficientes.
Por lo anterior, en esta resolución se definen las condiciones de competencia que se deberán verificar en la ejecución del mecanismo de contratación de largo plazo definido por el Ministerio de Minas y Energía. De igual forma, se establece la forma en que se reconocerán, dentro del costo unitario de prestación del servicio a los usuarios regulados, los costos agregados de la compra de energía a los comercializadores que participen en este mecanismo, siempre que los precios sean eficientes, es decir cumplan con las condiciones de competencia descritas en esta resolución.
R E S U E L V E:
Artículo 1. Objeto. En cumplimiento de lo señalado en el artículo 2.2.3.8.7.6 del Decreto 1073 de 2015, adicionado por el Decreto 0570 de 2018 y lo establecido en el artículo 22 de la Resolución 40791 de 2018 del Ministerio de Minas y Energía, en esta resolución se definen las condiciones de competencia que deben cumplirse para garantizar un proceso de interacción eficiente entre compradores y vendedores.
Así mismo, se define la fórmula de traslado de los precios resultantes de la subasta convocada por el Ministerio de Minas y Energía a través de la Resolución 40795 de 2018 en el componente de compras de energía del costo unitario de prestación del servicio al usuario regulado.
Artículo 2. Condiciones de competencia. Los indicadores que se utilizarán para validar que la interacción entre oferta y demanda del mecanismo de contratación de largo plazo previsto en el Decreto 0570 de 2018 del Ministerio de Minas y Energía es eficiente, son los que se describen a continuación.
1. Indicador de participación: El indicador de participación medirá la proporción de agentes independientes participantes en la oferta de la subasta, sobre el total de oferentes.
El indicador de participación se medirá así:
Donde:
| Indicador de participación. |
: | Oferentes independientes. |
| Total de oferentes. |
La variable total oferentes ( ) se calculará a través del siguiente procedimiento:
· Paso 1: Se determina una lista en donde se identifiquen los agentes calificados como vendedores, es decir, aquellos que presentaron al menos una oferta de venta en la subasta.
· Paso 2: Se eliminan de la lista aquellos agentes vendedores que estén repetidos, porque presentaron más de una oferta de venta. En este caso, el vendedor solo debe aparecer una vez en la lista.
· Paso 3: Se identifican los oferentes con un mismo controlante o entre los que exista situación de control. Todos los agentes que tengan un mismo controlante o entre los que exista una situación de control serán contabilizados como un (1) oferente.
· Paso 4: Se determina el total de oferentes, como el resultado del conteo en número de los oferentes, una vez realizados los pasos 1 a 3.
La variable oferentes independientes ( ) se calculará a través del siguiente procedimiento:
· Paso 5: De la lista de total oferentes se eliminan aquellos agentes que participen como vendedores y compradores en la subasta. En este paso se eliminan los agentes integrados verticalmente, o aquellos que desarrollen simultáneamente actividades que hacen parte de la misma cadena de valor ya sea a través de dos o más de sus actividades definidas como servicio público o con otro agente con el que tengan el mismo controlante o entre los que exista una situación de control y que se encuentren participando simultáneamente como compradores y vendedores en la subasta.
· Paso 6: Se determina el valor de la variable oferentes independientes, como el resultado del conteo en número de los oferentes resultantes, una vez realizado el paso 5.
El indicador de participación se entenderá como cumplido si después de surtido el proceso descrito anteriormente se encuentra una participación de oferentes independientes mayor o igual a cincuenta por ciento (50%).
2. Concentración de la oferta: El indicador de concentración de la oferta medirá el grado de concentración de las asignaciones resultantes del proceso de adjudicación de la subasta.
La fórmula del indicador de concentración de la oferta será la siguiente:
Donde:
: | Participación en la oferta adjudicada en la subasta del oferente i. |
 | Índice de concentración de la oferta. |
Para el cálculo del indicador de concentración de oferta se seguirá el procedimiento que se describe a continuación, utilizando solamente la información de las ofertas de venta que resulten adjudicadas en la subasta, es decir, las que se encuentren debajo del punto de equilibrio.
· Paso1. Se identifican los oferentes con un mismo controlante o entre los que exista situación de control. A los agentes que tengan un mismo controlante o entre los que exista una situación de control, se les contabiliza como un solo (1) oferente. La participación se calcula a partir de la sumatoria de la energía que les fue adjudicada a cada uno de los integrantes del oferente.
· Paso 2. El cálculo de las participaciones individuales de los oferentes adjudicados en la subasta se realiza con la siguiente expresión:
Donde:
: | Participación en la oferta adjudicada en la subasta del oferente i. |
: | Cantidad de energía que resultó adjudicada en la subasta al oferente i. |
: | Cantidad total de energía que resultó adjudicada en la subasta. Corresponde a la sumatoria de la cantidad de energía que resultó adjudicada a cada oferente en la subasta. |
El indicador de concentración de oferta se entenderá como cumplido si, después de surtido el proceso descrito anteriormente, se obtiene un número menor o igual a dos mil ochocientos (2.800).
3. Indicador de dominancia: El indicador de dominancia establece un umbral de participación máxima que no debe ser superado por la asignación con mayor participación resultante de la subasta.
La fórmula del indicador de dominancia será la siguiente:
Donde:
: | Participación en la oferta adjudicada en la subasta del oferente que resultó con la mayor participación. |
: | Participación en la oferta adjudicada en la subasta del oferente que resultó con la segunda mayor participación. |
: | Indicador de dominancia. |
A partir del cálculo de las participaciones en la oferta adjudicada en la subasta del indicador de concentración, se tomarán los valores de los dos oferentes que resultaron con mayores participaciones y se calculará el ID. El indicador de dominancia se entenderá como cumplido si después de surtido el proceso descrito anteriormente se encuentra que la participación del oferente con mayor participación en la oferta ( ) es menor o igual al valor del umbral (ID).
4. Indicador de consistencia
El indicador de consistencia del mecanismo se entenderá como cumplido si un auditor independiente señala de forma inequívoca que la ejecución y los resultados del mecanismo corresponden a la estricta aplicación de las reglas especificadas por la Resolución 40791 de 2018 del Ministerio de Minas y Energía y demás normas que le sean aplicables.
Artículo 3. Requerimientos de información para la evaluación de resultados del mecanismo para la contratación de largo plazo. Los oferentes que participen en la subasta deberán entregar a la Unidad de Planeación Minero Energética, UPME, en su calidad de administrador de la subasta, antes de realización de la misma, un documento suscrito por el representante legal con información exacta, veraz, oportuna y verificable sobre los vínculos económicos existentes con otros oferentes y demandantes, así como las relaciones de control en las que se encuentran, con el fin de contar con los insumos que permitan medir adecuadamente los indicadores.
Artículo 4. Evaluación de resultados del mecanismo para la contratación de largo plazo. Terminado el proceso de subasta, un auditor independiente deberá evaluar los resultados del mecanismo de contratación de largo plazo a la luz de los indicadores y referentes establecidos en el artículo 2 de esta resolución.
El informe al que hace referencia el Anexo 2 de la Resolución 40791 de 2018 del Ministerio de Minas y Energía, deberá contener lo siguiente:
1. Resultado del indicador de participación, comparación frente al valor establecido para entender que se cumplió y dictamen sobre el cumplimiento.
2. Resultado del indicador de concentración, comparación frente al valor establecido para entender que se cumplió y dictamen sobre el cumplimiento.
3. Resultado del indicador de dominancia, comparación frente al valor establecido para entender que se cumplió y dictamen sobre el cumplimiento.
4. Resultado del indicador de consistencia, comparación frente al valor establecido para entender que se cumplió y dictamen sobre el cumplimiento.
Una copia del informe deberá ser remitida a la Superintendencia de Servicios Públicos Domiciliarios –SSPD y a la CREG a más tardar después de cinco (5) días hábiles después de la realización de la subasta.
Artículo 5. Reconocimiento de costos agregados en la fórmula tarifaria para el usuario regulado. Los comercializadores que atienden demanda regulada y que celebren contratos como resultado de la aplicación del mecanismo de contratación de largo plazo del Ministerio de Minas y Energía, podrán trasladar los precios de estos contratos en el componente de costo de compras de energía (G) del costo unitario de prestación del servicio (CU), siempre que se haya verificado el cumplimiento de todos los indicadores definidos en el artículo 2 de esta resolución y en los términos del artículo 6 siguiente.
Artículo 6. Fórmula de traslado. El traslado de los precios de los contratos resultantes del mecanismo de contratación de largo plazo del Ministerio de Minas y Energía se realizará de acuerdo con lo previsto en este artículo.
El traslado de los precios de los contratos de que trata esta resolución se realizará conforme a lo dispuesto en este artículo durante la vigencia del contrato.
1. Determinación de la cantidad de energía asociada a los contratos de largo plazo. En primer lugar, el comercializador que celebre contratos como resultado de la subasta del Ministerio de Minas y Energía debe determinar la cantidad de energía que se asociará mensualmente en el componente G correspondiente a estos contratos. Esta cantidad se calculará a partir de la siguiente expresión:
Donde:
: | Energía media mensual cubierta mediante los contratos de largo plazo adjudicados en la subasta del Ministerio de Minas y Energía al comercializador minorista i. |
: | Energía media anual adjudicada al comercializador minorista i asociada con el contrato j resultante de la subasta del Ministerio de Minas y Energía. |
2. Determinación del precio asociado a los contratos de largo plazo. En segunda instancia, el comercializador que celebre contratos como resultado de la subasta del Ministerio de Minas y Energía debe calcular el precio actualizado de los mismos y determinar, a partir de la siguiente expresión, el precio que será trasladado en el componente G a sus usuarios regulados.
Donde:
: | Precio promedio ponderado de los contratos de largo plazo adjudicados en la subasta del Ministerio de Minas y Energía al comercializador minorista i, actualizado para el mes m-1, expresado en pesos por kilovatio hora (COP/kWh). |
: | Precio del contrato de largo plazo j adjudicado en la subasta del Ministerio de Minas y Energía al comercializador i. |
: | Energía media anual adjudicada al comercializador minorista i asociada con el contrato j resultante de la subasta del Ministerio de Minas y Energía. |
3. Incorporación transitoria de los contratos de largo plazo en el componente G. Los precios asociados a los contratos de largo plazo serán incorporados de manera transitoria al componente de compras de energía que se encuentra vigente, de acuerdo con lo dispuesto en las Resoluciones 119 de 2007 y 030 de 2018. Dichos precios serán incorporados de forma permanente al G, una vez se defina la nueva fórmula tarifaria.
Para calcular la variable del componente de costos de compra de energía, el comercializador minorista deberá sumar la energía comprada mediante contratos bilaterales ( ) y la energía asociada a contratos de largo plazo para cada mes, es decir, la variable . En este sentido, la proporción de energía contratada del comercializador minorista quedará definida así:
Donde:
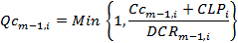
: | Es el menor valor entre 1 y el resultante de la relación entre la energía comprada por el comercializador minorista i mediante contratos con destino al mercado regulado y la demanda comercial del mercado regulado del comercializador minorista i, en el mes m-1. |
: | Energía cubierta mediante contratos bilaterales por el comercializador minorista i con destino al mercado regulado en el mes m-1. |
: | Energía media mensual cubierta mediante los contratos de largo plazo adjudicados en la subasta del Ministerio de Minas y Energía al comercializador minorista i en el mes m-1. |
: | Demanda comercial regulada del comercializador minorista i en el mes m-1. |
A continuación, el comercializador minorista deberá calcular la proporción de los contratos bilaterales sobre el total de energía contratada utilizando la siguiente expresión:
Donde:
: | Ponderador de los precios de los contratos bilaterales del comercializador i, en el mes m-1. |
: | Energía cubierta mediante contratos bilaterales por el comercializador minorista i con destino al mercado regulado en el mes m-1. |
: | Energía media mensual cubierta mediante los contratos de largo plazo adjudicados en la subasta del Ministerio de Minas y Energía al comercializador minorista i en el mes m-1. |
Finalmente, el componente quedará definido de la siguiente forma:
Donde:
: | Mes para el cual se calcula el costo unitario de prestación del servicio (CU). |
 | Comercializador minorista i. |
: | Mercado de comercialización j. |
: | Ponderador de los precios de los contratos bilaterales del comercializador i, en el mes m-1. |
: | Es el menor valor entre 1 y el resultante de la relación energía comprada por el comercializador minorista i mediante contratos bilaterales con destino al mercado regulado y la demanda comercial del mercado regulado del comercializador minorista i, en el mes m-1. |
: | Energía cubierta mediante contratos bilaterales por el comercializador minorista i con destino al mercado regulado en el mes m-1. |
| Costo promedio ponderado por energía, expresado en pesos por kilovatio hora (COP/kWh), de las compras propias del comercializador minorista i mediante contratos bilaterales con destino al mercado regulado, liquidados en el mes m-1. |
| Costo promedio ponderado por energía, expresado en pesos por kilovatio hora (COP/kWh), de todos los contratos bilaterales liquidados en el Mercado de Energía Mayorista en el mes m-1 con destino al mercado regulado. |
: | Valor de del comercializador minorista i en el mercado de comercialización j para el mes de enero de 2007, calculado conforme la metodología de la Resolución CREG 031 de 1997. |
 | Ponderador de los precios de los contratos de largo plazo adjudicados al comercializador i en la subasta del Ministerio de Minas y Energía para el mes m-1. |
: | Precio promedio ponderado asociado a los contratos de largo plazo adjudicados en la subasta del Ministerio de Minas y Energía al comercializador minorista i actualizado para el mes m-1, expresado en pesos por kilovatio hora (COP/kWh). |
: | Precio de la energía comprada en Bolsa por el comercializador minorista i, en el mes m-1, expresado en pesos por kilovatio hora (COP/kWh), cuando las cantidades adquiridas en las subastas del MOR y en contratos bilaterales no cubran la totalidad de la demanda regulada. Este valor se calcula de acuerdo con lo establecido en la Resolución CREG 119 de 2007 y el anexo 2 de la Resolución CREG 030 de 2018. |
: | Factor de ajuste que se aplica al costo máximo de compra de energía, expresado en pesos por kilovatio hora (COP/kWh), del comercializador i para el mes m, calculado conforme al anexo 1 de la Resolución CREG 030 de 2018. |
: | Suma de compras de AGPE y GD del comercializador i en el mes m-1 de acuerdo con lo establecido en el anexo 2 de la Resolución CREG 030 de 2018. |
|
| Costo de compra de energía a AGPE y GD por parte del comercializador i en el mes m, para el mercado de comercialización j acuerdo con lo establecido en el anexo 2 de la Resolución CREG 030 de 2018. |
Artículo 7. Vigencia. La presente resolución rige a partir de su publicación en el Diario Oficial.
PUBLÍQUESE Y CÚMPLASE
Firmas del proyecto,
MARÍA FERNANDA SUÁREZ LONDOÑO | CHRISTIAN JARAMILLO HERRERA |
Ministra de Minas y Energía
Presidente | Director Ejecutivo |
|
Doble click sobre el archivo anexo para bajarlo(Resoluciones CREG) |
Doble click sobre el archivo anexo para bajarlo(Documento CREG) |
|