| Publicación Diario Oficial No.: | 47.362, el día:27/May/2009 |
| Publicada en la WEB CREG el: | 28/May/2009 |
| RESOLUCIÓN No.056 ( 26 MAYO 2009 )
Por la cual se revisan los parámetros aplicables a la metodología utilizada para determinar el costo promedio ponderado de capital para remunerar las actividades de generación y distribución de energía eléctrica en las Zonas No Interconectadas.
Concordancias: Ley 143 de 1994; Art. 23 Lit. c.; Art. 42
Ley 142 de 1994; Art. 87.4; Art. 88.1; Art. 127
Resolución CREG 93 de 2008
Resolución CREG 91 de 2007 |
LA COMISIÓN DE REGULACIÓN DE ENERGÍA Y GAS
En ejercicio de sus atribuciones constitucionales y legales, en especial las conferidas por las Leyes 142 y 143 de 1994, y en desarrollo de los Decretos 1524 y 2253 de 1994.
CONSIDERANDO QUE:
El artículo 73.11 de la Ley 142 de 1994 faculta a la Comisión de Regulación de Energía y Gas para establecer fórmulas para la fijación de las tarifas de los servicios públicos.
Según los artículos 23 y 42 de la Ley 143 de 1994, le corresponde a la Comisión de Regulación de Energía y Gas definir la metodología para el cálculo de las tarifas por el acceso y uso de las redes eléctricas, y aprobar las tarifas que deban sufragarse por su uso y por el acceso a ellas.
El artículo 87 de la Ley 142 de 1994 establece los criterios bajo los cuales se debe definir el régimen tarifario.
Según el criterio de suficiencia financiera definido por el artículo 87.4 de la Ley 142 de 1994, las fórmulas tarifarias que establezca la Comisión de Regulación de Energía y Gas deben permitir remunerar el patrimonio de los accionistas en la misma forma en la que lo habría remunerado una empresa eficiente en un sector de riesgo comparable.
De acuerdo con el artículo 88.1 de la Ley 142 de 1994, la Comisión de Regulación de Energía y Gas puede establecer topes máximos y mínimos de tarifas.
El artículo 127 de la Ley 142 de 1994, dispone que antes de doce meses de la fecha prevista para que termine la vigencia de las fórmulas tarifarias, la Comisión de Regulación de Energía y Gas deberá poner en conocimiento de las empresas de servicios públicos las bases sobre las cuales efectuará el estudio para determinar las fórmulas del período siguiente.
El Decreto 2696 de 2004, artículo 11, dispuso que antes de doce (12) meses de la fecha prevista para que termine la vigencia de las fórmulas tarifarias, cada Comisión deberá poner en conocimiento de las entidades prestadoras y de los usuarios, las bases sobre las cuales efectuará el estudio para determinar las fórmulas del período siguiente, que deben cubrir como mínimo los siguientes puntos: i) Aspectos generales del tipo de regulación a aplicar; ii) Aspectos básicos del criterio de eficiencia; iii) Criterios para temas relacionados con costos y gastos; iv) Criterios relacionados con calidad del servicio; v) Criterios para remunerar el patrimonio de los accionistas; vi) Los demás criterios tarifarios contenidos en la ley.
Mediante la Resolución CREG 093 de 2003 la Comisión de Regulación de Energía y Gas sometió a consideración de los agentes, usuarios y terceros interesados, los principios generales conceptuales sobre los cuales se efectuaría el estudio para establecer la fórmula tarifaria y la remuneración de las actividades de generación, distribución y comercialización del servicio de energía eléctrica en las Zonas No Interconectadas contenido en el Documento CREG 073 de 2003, en cumplimiento de lo previsto en los artículos 126 y 127 de la Ley 142 de 1994.
En las bases se indicaron los elementos a estudiar dentro del proceso tendiente a adoptar la nueva metodología de remuneración de las actividades de generación, distribución y comercialización y la nueva fórmula tarifaria del servicio de energía eléctrica en las Zonas No Interconectadas.
Dentro de los elementos a estudiar para la nueva metodología se incluye el reconocimiento de los costos del capital requerido por los agentes para financiar las actividades propias de la prestación del servicio.
Para lo anterior se propuso utilizar la metodología de Costo Promedio Ponderado de Capital (WACC, por las iniciales en inglés de Weighted Average Cost of Capital), lo cual se sujetó a la metodología general para remunerar la actividad de distribución de energía eléctrica en el Sistema Interconectado Nacional.
En la Resolución CREG 091 de 2007 que desarrolló el marco tarifario para las Zonas No Interconectadas, se fijó el 12,18% en pesos constantes antes de impuestos como el costo de capital invertido para remunerar los activos de la actividad de generación y de distribución de energía eléctrica en las ZNI.
El inciso final del artículo 45 de la Resolución CREG 091 de 2007 establece que: “Una vez la Comisión defina el costo de capital invertido para la actividad de distribución de energía eléctrica en el SIN para el próximo período tarifario, podrá ajustar la tasa establecida en este artículo.”.
Mediante la Resolución CREG 093 de 2008 la Comisión de Regulación de Energía y Gas expidió una nueva metodología para la determinación del Costo Promedio de Capital para la actividad de distribución de energía eléctrica en el Sistema Interconectado Nacional.
La Comisión de Regulación de Energía y Gas consideró necesario adelantar un análisis para determinar la necesidad de modificar el porcentaje definido en el artículo 45 de la Resolución CREG 091 de 2007 y proponer una nueva tasa de descuento, revisando los parámetros aplicables a la metodología utilizada para determinar el costo de capital para remunerar las actividades de generación y distribución de energía eléctrica en las Zonas No Interconectadas.
La Comisión de Regulación de Energía y Gas, mediante la Resolución CREG 027 de 2009, sometió a consulta el proyecto de resolución de carácter general por la cual se revisan los parámetros aplicables a la metodología utilizada para determinar el costo promedio ponderado de capital para remunerar las actividades de generación y distribución de energía eléctrica en las Zonas No Interconectadas.
La Comisión de Regulación de Energía y Gas efectuó los análisis que sustentan la propuesta sometida a comentarios mediante la Resolución CREG 027 de 2009 los cuales se presentan en el Documento CREG 020 de 2009 que fue ajustado mediante el Documento CREG 050 de 2009.
Dentro del término de la consulta no se recibieron comentarios ni observaciones sobre la propuesta.
La Comisión de Regulación de Energía y Gas decidió por unanimidad dar aplicación a lo dispuesto en el numeral 3 del artículo 2 de la Resolución CREG 097 de 2004 dado que la definición de esta regulación es necesaria para el proceso de invitación pública que pretende iniciar el Ministerio de Minas y Energía para el otorgamiento de áreas de servicio exclusivo de energía eléctrica en las Zonas No Interconectadas del país.
La Comisión de Regulación de Energía y Gas, en su sesión 409 del 26 de mayo de 2009 aprobó por unanimidad expedir la presente resolución.
RESUELVE:
Artículo 1. Tasa de Retorno. Para remunerar las actividades de generación y de distribución de energía eléctrica en las Zonas No Interconectadas se utilizará la tasa de retorno calculada con la metodología del Costo Promedio Ponderado de Capital para los sistemas remunerados mediante cargos regulados determinados por costos medios.
Artículo 2. Elementos para el cálculo de la Tasa de Retorno. Los valores de los parámetros, las fórmulas de cálculo, las fuentes de información y los períodos de tiempo de los datos requeridos para el cálculo de las tasas de retorno que se utilizarán en las fórmulas tarifarias de las actividades de generación y de distribución de energía eléctrica en las Zonas No Interconectadas serán los establecidos en el Anexo de la presente Resolución.
Artículo 3. Valor de la Tasa de Retorno. La tasa de retorno para remunerar las actividades de generación y distribución de energía eléctrica en las Zonas No Interconectadas, calculadas de acuerdo con lo establecido en los artículos anteriores, será una tasa real antes de impuestos de 14,69%.
Artículo 4. Vigencia. Esta resolución rige a partir de su publicación en el Diario Oficial, deroga las normas que le sean contrarias.
PUBLÍQUESE Y CÚMPLASE
Dada en Bogotá, a los 26 MAYO 2009
MANUEL MAIGUASHCA OLANO | JAVIER AUGUSTO DIAZ VELASCO |
Viceministro de Minas y Energía | Director Ejecutivo ( E) |
Delegado del Ministro de Minas y Energía
Presidente |  |
ANEXO
PARÁMETROS APLICABLES A LA METODOLOGÍA UTILIZADA PARA DETERMINAR EL COSTO PROMEDIO PONDERADO DE CAPITAL PARA REMUNERAR LAS ACTIVIDADES DE GENERACIÓN Y DISTRIBUCIÓN DE ENERGÍA ELÉCTRICA EN LAS ZONAS NO INTERCONECTADAS
Las fórmulas tarifarias que se definen para remunerar las actividades de generación y distribución de energía eléctrica en las Zonas No Interconectadas durante el período tarifario utilizarán la tasa de retorno calculada utilizando la metodología que se describe en este Anexo.
1. DEFINICIÓN DE VARIABLES
Las siguientes variables se utilizan en el cálculo de la tasa de retorno:
2. FÓRMULAS A UTILIZAR
2.1. Costo de la deuda
El costo de la deuda se calcula como el promedio aritmético de las tasas de interés para créditos ordinarios con plazo mayor o igual a cinco (5) años, publicadas por el Banco de República. Así, con datos a diciembre de 2008 se obtiene una tasa en términos reales de 10,41%.
n = número de meses definido en el numeral 3 de este Anexo.
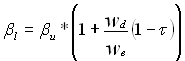
2.2. Costo del capital propio
El costo del capital propio se calcula con la siguiente fórmula:
Donde:
| Siendo = la tasa de impuestos. |
Siendo: = #años desde 1926 hasta diciembre de 2008
n = 60 meses anteriores a diciembre de 2008.
2.3. Costo promedio ponderado de capital (WACC)
El Costo Promedio Ponderado de Capital después de impuestos se calcula con la siguiente fórmula:
Antes de impuestos se calculará con esta fórmula:
Y en términos reales se calculará con esta fórmula:
3. FUENTES Y PERÍODOS DE INFORMACIÓN
PUBLÍQUESE Y CÚMPLASE
Dada en Bogotá, D.C., 26 MAYO 2009
MANUEL MAIGUASHCA OLANO | JAVIER AUGUSTO DIAZ VELASCO |
Viceministro de Minas y Energía | Director Ejecutivo ( E) |
Delegado del Ministro de Minas y Energía
Presidente |  |
|
Doble click sobre el archivo anexo para bajarlo(Resoluciones CREG) |
Doble click sobre el archivo anexo para bajarlo(Documento CREG) |
|