Resolución No. 74(Junio 25 de 1998)
LA COMISIÓN DE REGULACIÓN DE ENERGÍA Y GAS
en ejercicio de sus facultades legales, en especial las conferidas por las Leyes 142 y 143 de 1994, y en desarrollo de los Decretos 1524 y 2253 de 1994, y
Que la Ley 142, en especial los capítulos 1 y 2 del título VI, y el capítulo 5 del título VII, y la ley 143, en particular el artículo 23, asignan a la Comisión la función de aprobar las fórmulas tarifarias y las metodologías para el cálculo de las tarifas aplicables a los usuarios regulados;
Que la CREG consecutivamente aprobó, a través de las resoluciones CREG 076 de 1996 y CREG 080 de 1997, las tarifas que se podrán cobrar a los usuarios finales regulados del Archipiélago de San Andrés y Providencia;
Que las condiciones de prestación del servicio en San Andrés y Providencia han sido distintas a las previstas originalmente;
Que mediante la comunicación G-315-98 Archipélago’s Power Light Co S.A. E.S.P. –APL- solicita la expedición de la fórmula general del cálculo del costo de la prestación del servicio y las fórmulas tarifarias correspondientes;
Que de acuerdo con el artículo 126 de la ley 142 de 1994, la fórmulas tarifarias tienen una vigencia de cinco años contados a partir de la fecha de su expedición, y que solamente son modificables entre otras cosas, cuando exista acuerdo entre la empresa prestadora y la Comisión de Regulación;
Que en virtud de la revisión solicitada por el representante legal de Archipélago’s Power Light Co S.A. E.S.P.-APL-, la Comisión considera que existen los suficientes argumentos de carácter técnico para modificar la fórmula tarifaria, y por lo tanto tiene plena aplicación el artículo 126 de la Ley 142 de 1994;
Que de los estudios realizados por la CREG se encontró que el mercado de San Andrés y Providencia presenta características distintas de aquellas dadas para los mercados conectados al SIN y aquellas dadas para las Zonas no Interconectadas;
Que la CREG aprobó las fórmulas generales que permiten a los comercializadores de electricidad establecer los costos de prestación del servicio a usuarios regulados en el Archipiélago de San Andrés y Providencia, dentro del régimen de libertad regulada mediante Resolución CREG 073 de 1998;
Que de acuerdo con las Leyes 142 y 143 de 1994, corresponde a la Comisión establecer los costos que deben reflejar los componentes de la estructura de tarifas, y las condiciones en que pueden cobrarse;
RESUELVE:
ARTÍCULO 1o. DEFINICIONES. Para efectos de la aplicación de las fórmulas que se establecen a continuación, se adoptan la notación y definiciones consignadas en el Anexo No. 1 de la presente resolución, así como las consignadas en el Anexo Número Uno de la Resolución CREG- 073 de 1998.
ARTÍCULO 2o. COSTOS UNITARIOS DE PRESTACIÓN DEL SERVICIO. A partir de la fecha de vigencia de esta resolución se adoptarán, para efectos tarifarios, los costos monomios de prestación del servicio que resulten de la aplicación de las fórmulas generales de costos consignadas en el Anexo Número Uno de la Resolución CREG-073 de 1998.
PÁRAGRAFO. Conforme a lo dispuesto en el Artículo 4 de la Resolución CREG-073 de 1998 dichos costos son máximos.
ARTÍCULO 3o. OPCIONES TARIFARIAS. El comercializador de electricidad ofrecerá opciones tarifarias que le permitan trasladar a sus usuarios la estructura de costos de las otras actividades involucradas en la prestación del servicio de energía eléctrica; con sujeción a lo establecido en la Resolución CREG 108 de 1997.
ARTÍCULO 4o. EQUIVALENCIAS EN LOS COSTOS DE PRESTACIÓN DEL SERVICIO PARA LAS OPCIONES TARIFARIAS. Los comercializadores podrán ofrecer opciones tarifarias a sus usuarios regulados, con sujeción a las equivalencias de costos de prestación del servicio, las cuales se determinarán según las fórmulas del Anexo No 2 de la presente resolución.
ARTÍCULO 5o. ESTRUCTURA TARIFARIA. El comercializador de energía eléctrica podrá aplicar a sus usuarios finales los siguientes cargos:
a) Un cargo por unidad de consumo, de acuerdo con las opciones tarifarias que ofrezca a sus usuarios.
b) Un cargo de conexión, que cubrirá los costos de la conexión, y se cobrará por una sola vez, al momento en que el usuario se conecte al servicio, de acuerdo con lo dispuesto en la Resolución CREG 225 de 1997.
c) Un cargo mínimo por disponibilidad del servicio, de acuerdo con lo establecido en los Artículos 7º. y 8º. de la presente resolución.
ARTÍCULO 6o. COSTOS DE CONEXIÓN. El cargo por conexión y los demás cobros aplicables en San Andrés y Providencia se regirán por lo dispuesto en las normas que regulan esta materia en el Sistema Interconectado Nacional.
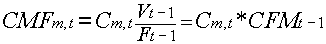
ARTÍCULO 7o. CARGO MÍNIMO A FACTURAR POR EL SERVICIO. En concordancia con lo dispuesto en la resolución CREG-073 de 1998, el cobro mínimo a facturar (CMF) será equivalente al costo de comercialización que resulte de la aplicación de la fórmula consignada en el numeral 2.3 del Anexo Número Uno de la mencionada resolución, expresado en $/Factura, así:
donde:
CMFm,t Cobro Mínimo a Facturar (expresado en $/Factura del mes m, del año t).
Cm,t Costo de comercialización del mes m, del año t
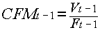
Vt-1 Total Ventas (kWh facturados) durante el año t –1 .
F t-1 Facturas Expedidas durante el año t –1.
CFMt-1 Consumo Facturado Medio para el año t –1, igual a:
ARTÍCULO 8o. APLICACIÓN DEL CMF. La aplicación del CMF estará sujeta a la condición de que el número total de kWh vendidos por la empresa en el período de facturación anterior al que se va a facturar, se reduzca en más del 20% con respecto al promedio de las ventas de los tres períodos de facturación anteriores al mismo. Cumplida esta condición, el cargo mínimo podrá cobrarse a los usuarios únicamente cuando la liquidación de los consumos del usuario sea inferior a dicho cargo mínimo, caso en el cual este cobro reemplaza la liquidación y cobro de los consumos del usuario.
ARTÍCULO 9o. ACTUALIZACIÓN DE TARIFAS. Para efectos tarifarios, y sin perjuicio de los incrementos uniformes definidos en la Resolución CREG-076 de 1996, el comercializador podrá actualizar el costo unitario de prestación del servicio y, por ende las tarifas asociadas con dicho costo, cada vez que se acumule una variación de por lo menos un tres por ciento (3%).
ARTICULO 10º. VIGENCIA. Esta resolución rige a partir de la fecha de su notificación y deroga todas las disposiciones que le sean contrarias. Continúan vigentes las normas contenidas en las Resoluciones CREG 076 de 1996 y 080 de 1997, que no hayan sido modificadas por la presente resolución.
Publicada en el Diario Oficial No. 43.342 de julio 17 de 1998 |
NOTIFÍQUESE, PUBLÍQUESE Y CÚMPLASE
Dada en Santa Fe de Bogotá, D.C., a los 25 días del mes de Junio de 1998
ORLANDO CABRALES MARTINEZ
Ministro de Minas y Energía
Presidente | JORGE PINTO NOLLA
Director Ejecutivo |
ANEXO No 1
DEFINICIÓN Y NOTACIÓN DE VARIABLES
| Variable | Descripción |
| m | Mes para el cual se calculará la tarifa. |
| Cnmt | Costo Unitario de prestación del servicio en cualquiera de las modalidades que la empresa le ofrezca a sus usuarios, bien sea de energía o de potencia, en el nivel de tensión n, para el mes m, del año t y que resulta de la aplicación de la fórmula general de costos de la resolución CREG-073 de 1998 o cualquiera de las equivalencias del CUnmt, consignadas en el anexo 2 de la presente resolución. |
| Tnms | Tarifa, en cualquiera de las modalidades que la empresa le aplica a los usuarios del sector s, en el nivel de tensión n, para el mes m. |
| FCn(t-1) | Factor de carga del Sistema de Distribución Local, para cada nivel de tensión n, calculado para el año t-1. |
ORLANDO CABRALES MARTINEZ
Ministro de Minas y Energía
Presidente | JORGE PINTO NOLLA
Director Ejecutivo |
EQUIVALENCIAS DE LOS COSTOS DE UNITARIOS DE PRESTACIÓN DEL SERVICIO PARA OPCIONES TARIFARIAS
Para efectos de definición de las tarifas a los usuarios regulados, el Costo Unitario monomio ($/kWh) para los usuarios conectados a nivel de tensión n, correspondiente al mes m del año t (CUnmt), se podrá expresar de manera equivalente en costos de energía y de potencia, así como en costos horarios, con el fin de que el comercializador pueda ofrecer opciones tarifarias a sus usuarios, como se expresa en los siguientes numerales.
1. FORMULACIÓN DE COSTOS BINOMIOS
Para establecer Costos independientes de Energía ($/kWh) y Potencia ($/kW-mes), se aplica la siguiente formulación:


donde:
Ce : Costo de Energía ($/kWh)
Cp : Costo de Potencia ($/kW-mes)
2. FORMULACIÓN DE COSTOS BINOMIOS CON DIFERENCIACIÓN HORARIA DE ENERGIA
Para establecer costos independientes de energía ($/kWh) para horas de punta y fuera de punta, se aplica la siguiente formulación:
2.1 Energía Fuera de Punta
donde:
Cefp : Costo de la Energía Fuera de Punta ($/kWh)
2.2 Energía en Punta
donde:
Cep : Costo de la Energía en Punta ($/kWh)
ORLANDO CABRALES MARTINEZ
Ministro de Minas y Energía
Presidente | JORGE PINTO NOLLA
Director Ejecutivo |