República de ColombiaMinisterio de Minas y Energía
COMISIÓN DE REGULACIÓN DE ENERGÍA Y GAS
RESOLUCIÓN No. 023 DE 2016
( 25 FEB. 2016 )
Por la cual se ordena hacer público el proyecto de resolución “Por la cual se establece la metodología para la remuneración de la actividad de transmisión de energía eléctrica en el sistema interconectado nacional”
LA COMISIÓN DE REGULACIÓN DE ENERGÍA Y GAS
En ejercicio de sus atribuciones constitucionales y legales, en especial las conferidas por las Leyes 142 y 143 de 1994, y en desarrollo de los Decretos 1524, 2253 de 1994 y 1260 de 2013
CONSIDERANDO QUE:
Mediante la Resolución CREG 042 de 2013, la Comisión puso en conocimiento de las entidades prestadoras del servicio público domiciliario de energía eléctrica, los usuarios y demás interesados las bases sobre las cuales la Comisión efectuará el estudio para determinar los principios generales, la metodología y fórmulas para el establecimiento de los cargos por uso que remunerarán la actividad de transmisión de energía eléctrica en el sistema interconectado nacional durante el siguiente periodo tarifario. Lo anterior en cumplimiento de lo previsto en los numerales 11.1 y 11.2 del artículo 11 del Decreto 2696 de 2004. La publicación se realizó en la página web de la CREG el 10 de mayo de 2013.
Los estudios que se adelantaron por parte de la CREG en los temas de metodologías de remuneración de la actividad de transmisión de energía y unidades constructivas, fueron publicados mediante las Circulares CREG 034 y 038 de 2014, en cumplimiento de lo previsto en el numeral 11.3 del el artículo 11 del Decreto 2696 de 2004.
Los propósitos y lineamientos para la remuneración de la actividad de transmisión de energía eléctrica para el periodo tarifario 2015 – 2019 se hicieron públicos con la expedición de la Resolución CREG 078 de 2014, publicada en la página web de la Comisión el 12 de junio de 2014.
Conforme a lo dispuesto por el numeral 11.4 del artículo 11 del Decreto 2696 de 2004, que establece “tres (3) meses antes de la fecha prevista para que inicie el periodo de vigencia de las fórmulas tarifarias, se deberán hacer públicos en la página web de la Comisión correspondiente los proyectos de metodologías y de fórmulas, los estudios respectivos y los textos de los proyectos de resoluciones”, la Comisión expidió para comentarios la resolución CREG 178 de 2014, en la cual se propone la metodología para la remuneración de la actividad de transmisión de energía eléctrica en el sistema interconectado nacional.
Mediante las circulares CREG 053 y 064 del año 2015 se publicaron los estudios realizados por la Comisión sobre calidad del servicio, en la Circular CREG 052 de 2015 sobre AOM y en la Circular CREG 059 de 2015 sobre presentación de planes de inversión.
En esta resolución se incorporan los resultados del análisis de los comentarios recibidos sobre la propuesta publicada mediante la Resolución CREG 178 de 2014 y a los estudios publicados.
Los agentes solicitaron publicar para comentarios una nueva propuesta con la metodología de remuneración de la actividad de transmisión de energía eléctrica.
La Comisión de Regulación de Energía y Gas, en su sesión 703 del 25 de febrero de 2016, acordó expedir esta resolución.
R E S U E L V E:
Artículo 1. Objeto. Hágase público el proyecto de resolución “Por la cual se establece la metodología para la remuneración de la actividad de transmisión de energía eléctrica en el sistema interconectado nacional”.
Artículo 2. Presentación de comentarios, observaciones y sugerencias. Se invita a los usuarios, a los agentes, a las autoridades locales, municipales y departamentales, a las entidades y a los demás interesados para que, dentro de los quince (15) días siguientes a la publicación de la presente resolución, remitan sus observaciones o sugerencias sobre las propuestas contenidas en el proyecto de resolución adjunto.
Las observaciones y sugerencias sobre el proyecto deberán dirigirse al director ejecutivo de la Comisión, a la dirección: calle 116 No. 7-15, interior 2 oficina 901 en Bogotá D.C. o al correo electrónico creg@creg.gov.co.
Artículo 3. Vigencia. La presente resolución rige a partir de su publicación en el Diario Oficial y no deroga ni modifica disposiciones vigentes por tratarse de un acto de trámite.
PUBLÍQUESE Y CÚMPLASE
Dado en Bogotá, D. C. 25 FEB. 2016
TOMÁS GONZÁLEZ ESTRADA | JORGE PINTO NOLLA |
Ministro de Minas y Energía | Director Ejecutivo |
Presidente | 
|
PROYECTO DE RESOLUCIÓN
Por la cual se establece la metodología para la remuneración de la actividad de transmisión de energía eléctrica en el sistema interconectado nacional
LA COMISIÓN DE REGULACIÓN DE ENERGÍA Y GAS
En ejercicio de las atribuciones legales, en especial las conferidas por las Leyes 142 y 143 de 1994, y los decretos 1524 y 2253 de 1994 y 1260 de 2013
CONSIDERANDO QUE:
De acuerdo con lo previsto en los literales c) y d) del artículo 23 y en el artículo 41 de la Ley 143 de 1994, es función de la Comisión de Regulación de Energía y Gas definir la metodología para el cálculo y fijar las tarifas por el acceso y uso de las redes eléctricas, así como el procedimiento para hacer efectivo su pago.
Según lo previsto en la Ley 143 de 1994, artículo 6, la actividad de transmisión de energía eléctrica se rige por los principios de eficiencia, calidad, continuidad, adaptabilidad, neutralidad, solidaridad y equidad.
El artículo 23, literal n), de la Ley 143 de 1994 establece que la Comisión de Regulación de Energía y Gas tiene dentro de sus funciones generales la de definir y hacer operativos los criterios técnicos de calidad, confiabilidad y seguridad del servicio de energía.
La Ley 143 de 1994, artículo 39, establece que “los cargos asociados con el acceso y uso de las redes del sistema interconectado nacional cubrirán, en condiciones óptimas de gestión, los costos de inversión de las redes de interconexión, transmisión y distribución, según los diferentes niveles de tensión, incluido el costo de oportunidad de capital, de administración, operación y mantenimiento, en condiciones adecuadas de calidad y confiabilidad y de desarrollo sostenible. Estos cargos tendrán en cuenta criterios de viabilidad financiera”.
Según lo dispuesto en los artículos 87 de la Ley 142 de 1994 y 44 de la Ley 143 del mismo año, el régimen tarifario para usuarios finales regulados de una misma empresa estará orientado por los criterios de eficiencia económica, suficiencia financiera, neutralidad, solidaridad y redistribución del ingreso, simplicidad y transparencia.
En virtud del principio de eficiencia económica definido por los mismos artículos, el régimen de tarifas procurará que éstas se aproximen a lo que serían los precios de un mercado competitivo, garantizándose una asignación eficiente de recursos en la economía.
En particular, el numeral 87.1 del artículo 87 de la Ley 142 de 1994 establece que se deben tener en cuenta “los aumentos de productividad esperados, y que éstos deben distribuirse entre la empresa y los usuarios, tal como ocurriría en un mercado competitivo”.
De acuerdo con el numeral 87.8 del artículo 87 de la Ley 142 de 1994, “toda tarifa tendrá un carácter integral, en el sentido de que supondrá una calidad y grado de cobertura del servicio, cuyas características definirán las comisiones reguladoras. Un cambio en estas características se considerará como un cambio en la tarifa”.
Según lo dispuesto en el artículo 92 de la Ley 142 de 1994, las comisiones pueden corregir en las fórmulas, “los índices de precios aplicables a los costos y gastos de la empresa con un factor que mida los aumentos de productividad que se esperan en ella, y permitir que la fórmula distribuya entre la empresa y el usuario los beneficios de tales aumentos”.
En virtud del principio de suficiencia financiera definido en los artículos 87 de la Ley 142 de 1994 y 44 de la Ley 143 del mismo año, se debe garantizar a las empresas eficientes la recuperación de sus costos de inversión y sus gastos de administración, operación y mantenimiento, y permitir la remuneración del patrimonio de los accionistas en la misma forma en la que lo habría remunerado una empresa eficiente en un sector de riesgo comparable.
De conformidad con lo previsto en el artículo 11 de la Ley 143 de 1994, bajo el régimen tarifario de libertad regulada le corresponde a la Comisión de Regulación de Energía y Gas fijar “los criterios y la metodología con arreglo a los cuales las empresas de electricidad podrán determinar o modificar los precios máximos para los servicios ofrecidos”.
De acuerdo con la Ley 142 de 1994, artículo 18, todas las personas jurídicas están facultadas para hacer inversiones en empresas de servicios públicos.
Según lo dispuesto en el artículo 85 de la Ley 143 de 1994, las decisiones de inversión en transmisión de energía eléctrica constituyen responsabilidad de aquellos que las acometan, quienes asumen en su integridad los riesgos inherentes a la ejecución y explotación de los proyectos.
El numeral 87.9 del artículo 87 de la Ley 142 de 1994 modificado por el artículo 99 de la Ley 1450 de 2011, establece que “las Entidades públicas podrán aportar bienes o derechos a las empresas de servicios públicos domiciliarios, siempre y cuando su valor no se incluya en el cálculo de las tarifas que hayan de cobrarse a los usuarios y que en el presupuesto de la entidad que autorice el aporte figure este valor. Las Comisiones de Regulación establecerán los mecanismos necesarios para garantizar la reposición y mantenimiento de estos bienes. Lo dispuesto en el presente artículo no es aplicable cuando se realice enajenación o capitalización respecto de dichos bienes o derechos”.
Según lo establecido en el artículo 18 de la Ley 143 de 1994, modificado por el artículo 67 de la Ley 1151 de 2007, “compete al Ministerio de Minas y Energía definir los planes de expansión de la generación y de la red de interconexión y fijar criterios para orientar el planeamiento de la transmisión y la distribución” y de acuerdo con esta misma norma “los planes de generación y de interconexión serán de referencia y buscarán optimizar el balance de los recursos energéticos para la satisfacción de la demanda nacional de electricidad en concordancia con el Plan Nacional de Desarrollo y el Plan Energético Nacional”.
La Resolución CREG 008 de 2003 estableció las reglas para la liquidación y administración de cuentas por uso de las redes del sistema interconectado nacional asignadas al liquidador y administrador de cuentas, la cual fue modificada por la Resolución CREG 157 de 2011.
Mediante la Resolución CREG 011 de 2009 la Comisión de Regulación de Energía y Gas estableció la metodología y fórmulas tarifarias para la remuneración de la actividad de transmisión de energía eléctrica en el sistema de transmisión nacional, la cual se encuentra vigente.
Para la expedición de la metodología de remuneración de la actividad de transmisión de energía eléctrica para el siguiente periodo tarifario, se ha seguido el procedimiento establecido en el artículo 11 del Decreto 2696 de 2004.
Mediante la Resolución CREG 042 de 2013, la cual se publicó en la página web de la CREG, el 10 de mayo de 2013, la Comisión puso en conocimiento de las entidades prestadoras del servicio público domiciliario de energía eléctrica, los usuarios y demás interesados las bases sobre las cuales efectuará el estudio para determinar los principios generales, la metodología y fórmulas para el establecimiento de los cargos por uso que remunerarán la actividad de transmisión de energía eléctrica en el sistema interconectado nacional durante el siguiente periodo tarifario. Lo anterior para dar cumplimiento a lo previsto en los numerales 11.1 y 11.2 del artículo 11 del Decreto 2696 de 2004.
Respecto de lo expuesto con la Resolución CREG 042 de 2013 se recibieron comentarios de las siguientes empresas: Andesco E-2013-005835, EEB E 2013-005822, Isagen E-2013-005767, Transelca E-2013-005866, CAPT E-2013-005879, CNO E-2013-005877, Epsa E-2013-005811, EPM, E-2013-005950, ISA E-2013-005909.
Posteriormente, en la Resolución CREG 078 de 2014 se hicieron públicos los propósitos y lineamientos para la remuneración de la actividad de transmisión de energía eléctrica para el periodo tarifario 2015 – 2019.
Sobre el contenido de la Resolución CREG 078 de 2014 se recibieron comentarios por parte de: Isagen E-2014-006673, EPSA E-2014-006683, EEB E-2014-006687, Andesco E-2014-006693, EPM E-2014-006694, ISA E-2014-006726, Distasa E-2014-006917, Transelca E-2014-007034, XM E-2014-007038.
Mediante la Resolución CREG 178 de 2014 se publicó para comentarios una propuesta para establecer la metodología para la remuneración de la actividad de transmisión de energía eléctrica en el sistema de transmisión nacional.
A la propuesta se recibieron comentarios con los siguientes radicados: Groupe Seb Colombia, E-2015-005346; Productos Familia, E-2015-005348 y E-2013-005361; Ingredion Colombia, E-2015-005355; Diaco, E-2015-005356; Linde Colombia, E-2015-005358; Empresa de Energía de Bogotá, E-2015-005359; Papeles y Cartones, E-2015-005362; Cristaleria Peldar, E-2015-005363; Crystal, E-2015-005364; Organización Carvajal, E-2015-005366; Productora de Cables Procables, E-2015-005368; Andesco, E-2015-005373 y E-2016-000195; C.I. Sociedad Industrial De Grasas Vegetales, E-2015-005376; Postobón, E-2015-005378; Asoenergia, E-2015-005379; Corona Industrial, E-2015-005381; Alfagres, E-2015-005382; Cerro Matoso, E-2015-005383; Gyptec, E-2015-005384; Colsubsidio, E-2015-005386; Empresas Publicas de Medellin, E-2015-005391; Carvajal Pulpa y Papel, E-2015-005392; Interconexión Eléctrica , E-2015-005394, E-2015-005396, E-2015-005397 y E-2015-005864; Consejo Nacional de Operación, E-2015-005395;; Isagen, E-2015-005400; Emma y Cia, E-2015-005402; XM Compañía de Expertos en Mercados, E-2015-005233, E-2015-005421, E-2015-006453 y E-2015-011908; Seatech International, E-2015-005435; Aluminio Nacional Alumina, E-2015-005483; Goodyear de Colombia, E-2015-005604 y Cementos Tequendama, E-2015-005915.
Tanto los comentarios a las bases regulatorias como a los propósitos y lineamientos para la remuneración de la actividad de transmisión recibidos en la CREG fueron considerados para la expedición de la resolución que se pone en consulta.
Mediante las circulares CREG 053 y 064 del año 2015 se publicaron los estudios realizados por la Comisión sobre calidad del servicio y en la Circular CREG 052 de 2015 sobre.
Mediante la Resolución CREG 095 de 2015 se definió la metodología general para el cálculo de la tasa de descuento a utilizar en la actividad de transmisión de energía eléctrica.
RESUELVE:
Artículo 1. Objeto. Mediante esta resolución se adopta la metodología, fórmulas tarifarias y otras disposiciones para la remuneración de la actividad de transmisión de energía eléctrica en el sistema interconectado nacional, STN.
Artículo 2. Ámbito de Aplicación. Esta resolución aplica a todos los agentes económicos que prestan el servicio de transmisión de energía eléctrica en el SIN y a los usuarios que utilizan el servicio.
Artículo 3. Definiciones. Para la interpretación y aplicación de esta resolución se tendrán en cuenta, además de las definiciones establecidas en las leyes 142 y 143 de 1994 y en las resoluciones vigentes de la CREG, las siguientes:
Activo de conexión al STN: es el que se requiere para que un generador o un usuario no regulado, UNR, se conecte físicamente al STN. Un activo de conexión al STN se remunerará a través de contratos entre el propietario y el usuario respectivo del activo de conexión.
Activo de uso del STN: es aquel activo de transporte de electricidad que opera a tensiones iguales o superiores a 220 kV, es remunerado mediante cargos por uso del STN y puede estar constituido por una o varias UC.
Las bahías de transformador con tensión mayor o igual a 220 kV que utiliza un OR para conectarse a subestaciones del STN, con configuración de anillo o de interruptor y medio, se remunerarán a través de cargos por uso de la actividad de transmisión. Los demás activos que usa un OR para conectarse al STN se remunerarán a través de cargos por uso de la actividad de distribución.
Activo en operación: es aquel activo eléctrico que forma parte de un sistema utilizado de forma permanente en la actividad de transmisión de energía eléctrica.
Activo no eléctrico: es aquel activo que no hace parte de la infraestructura de transporte de energía eléctrica de los transmisores nacionales, TN, pero que es requerido para cumplir con su objeto social. Hacen parte de estos activos, entre otros, los siguientes: edificios (sedes administrativas, bodegas, talleres, etc.) maquinaria y equipos (grúas, vehículos, herramientas, etc.) equipos de cómputo y equipos de comunicaciones.
Activo no operativo: activo que estando disponible no se puede operar debido a la indisponibilidad de otro activo diferente a los que conforman su grupo de activos.
Administrador del sistema de intercambios comerciales, ASIC: dependencia del Centro Nacional de Despacho de que tratan las leyes 142 y 143 de 1994, encargada del registro de fronteras comerciales, de los contratos de energía a largo plazo; de la liquidación, facturación, cobro y pago del valor de los actos, contratos, transacciones y en general de todas las obligaciones que resulten por el intercambio de energía en la bolsa, para generadores y comercializadores; de las subastas de obligaciones de energía firme; del mantenimiento de los sistemas de información y programas de computación requeridos; y del cumplimiento de las demás tareas que sean necesarias para el funcionamiento adecuado del sistema de intercambios comerciales, SIC.
AOM: valor de los gastos de administración, operación y mantenimiento correspondientes a la actividad de transmisión de energía eléctrica en el sistema interconectado nacional.
Bahía: conjunto conformado por los equipos que se utilizan para conectar una línea de transmisión, o equipo de compensación, o un transformador, o un autotransformador al barraje de una subestación, y los equipos que se utilizan para seccionar o acoplar barrajes, o para transferir la carga de un barraje a otro.
Base regulatoria de activos, BRA: corresponde al valor de los activos utilizados para la prestación del servicio por parte del TN; está compuesta por activos eléctricos, activos no eléctricos y terrenos, este valor sirve de referencia para la remuneración de los ingresos asociados con las inversiones del TN para la prestación del servicio.
Capacidad disponible del activo: es la parte de un activo que queda en operación en caso de un evento.
Capacidad nominal de activos de uso del STN: para los activos de uso del STN la capacidad nominal será igual a la capacidad que se encuentre declarada ante el CND al momento de entrar en vigencia la presente resolución. Para activos de uso del STN que con posterioridad a esta fecha resulten de ampliaciones o de procesos de libre concurrencia, esta capacidad deberá ser declarada por el transmisor al CND con anterioridad a la entrada en operación comercial de los mismos y deberá ser mayor o igual a la establecida por la UPME.
Cargo por uso monomio: cargo monomio por unidad de energía, expresado en $/kWh.
Cargo por uso monomio horario: cargo por uso, por unidad de energía, expresado en $/kWh y diferenciado para cada uno de los períodos de carga.
Centro de supervisión y maniobra: centro a través del cual se supervisa la operación y las maniobras en las redes y subestaciones de propiedad del transmisor nacional, con sujeción a las instrucciones impartidas por el CND y teniendo como objetivo una operación segura y confiable del SIN, con sujeción a la reglamentación vigente y los acuerdos del Consejo Nacional de Operación, CNO.
Centro nacional de despacho, CND: entidad encargada de la planeación, supervisión y control de la operación integrada de los recursos de generación, interconexión y transmisión del sistema interconectado nacional, SIN, teniendo como objetivo una operación segura, confiable y económica, con sujeción a la reglamentación vigente y a los acuerdos del CNO.
Compensación: es el valor en el que se reduce el ingreso regulado de cada TN por variaciones que excedan o superen los límites establecidos para las características de calidad a las que está asociado dicho ingreso.
Compensación por energía no suministrada, CNE: compensación por ocasionar energía no suministrada o por dejar no operativos otros activos.
Conexión profunda: activos de uso del STN cuya construcción se requiere para responder positivamente a una solicitud de conexión de un generador o de un usuario no regulado.
Conexión y acceso a redes: es el derecho que tiene todo usuario a utilizar las redes del sistema de transmisión nacional, de un sistema de transmisión regional o un sistema de distribución local, previo el cumplimiento de las normas que rijan el servicio, el pago de las retribuciones que correspondan y el principio de eficiencia consignado en la Ley.
Consignación: es el procedimiento mediante el cual un transmisor solicita, y el CND estudia y autoriza la intervención de un equipo, de una instalación o de parte de ella.
Consignación de emergencia: es el procedimiento mediante el cual se autoriza, previa declaración del agente responsable, la realización de un mantenimiento y/o desconexión de un equipo o activo del STN, de una instalación o de parte de ella, cuando su estado ponga en peligro la seguridad de personas, de equipos o de instalaciones de tal forma que no es posible cumplir con el procedimiento de programación del mantenimiento respectivo.
Disponibilidad: se define como el tiempo total sobre un período dado, durante el cual un activo de uso estuvo en servicio, o disponible para el servicio. La disponibilidad siempre estará asociada con la capacidad nominal del activo, en condiciones normales de operación.
Elementos técnicos: son los equipos o materiales que conforman las unidades constructivas.
Energía no suministrada: estimación de la cantidad de energía que no puede ser entregada cuando se presentan eventos en el sistema. La estimación de la energía no suministrada se realiza con base en las disposiciones que para tal fin se establecen en la regulación.
Evento: situación que causa la indisponibilidad parcial o total de un activo de uso y que ocurre de manera programada o no programada.
Fecha de corte: es el 31 de diciembre del año inmediatamente anterior al de la fecha de presentación de la solicitud de aprobación de la base de activos y del ingreso.
Grupo de activos: grupo conformado por activos cuyas funcionalidades se encuentran interrelacionadas entre sí.
Indisponibilidad: se define como el tiempo sobre un período dado, durante el cual un activo de uso del STN no estuvo en servicio o disponible para el servicio, con toda o parte de su capacidad nominal. Un activo estará indisponible cuando no esté disponible para el servicio, independientemente de que su función esté siendo suplida por otro activo del SIN.
Liquidador y Administrador de Cuentas, LAC: entidad encargada de la liquidación y administración de cuentas de los cargos por uso de las redes del sistema interconectado nacional que le sean asignadas y de calcular el ingreso regulado de los transportadores, de acuerdo con las disposiciones contenidas en la regulación vigente.
Mantenimiento mayor: mantenimiento de activos de uso que requiere un tiempo mayor a las máximas horas anuales de indisponibilidad fijadas para el grupo de activos al que pertenece ese activo.
Mercado de comercialización: conjunto de usuarios regulados y no regulados conectados a un mismo sistema de transmisión regional o de distribución local, servido por un mismo OR. También hacen parte del mercado de comercialización los usuarios conectados directamente al STN del área de influencia del respectivo OR.
Mes, mes calendario o mes completo: para los efectos de esta resolución, se entiende por mes, mes calendario o mes completo cada uno de los doce meses del año, con su totalidad de días. La remuneración de la actividad de transmisión se liquidará por mes completo y no por fracción de mes.
Operador de red de STR y SDL, OR: persona encargada de la planeación de la expansión, las inversiones, la operación y el mantenimiento de todo o parte de un STR o SDL, incluidas sus conexiones al STN. Los activos pueden ser de su propiedad o de terceros. Para todos los propósitos son las empresas que tienen cargos por uso de los STR o SDL aprobados por la CREG. El OR siempre debe ser una empresa de servicios públicos domiciliarios. La unidad mínima de un SDL para que un OR pueda solicitar a la CREG aprobación de costos corresponde a las redes que atiendan la totalidad de los usuarios de un municipio.
Pérdidas eficientes de energía: corresponden a la energía que se pierde en el STN a causa del transporte y la transformación de la energía eléctrica.
Período de carga máxima: corresponde a las horas comprendidas entre las 9:00 y las 12:00 horas y entre las 18:00 y las 21:00 horas del día.
Período de carga media: corresponde a las horas comprendidas entre las 4:00 y las 9:00 horas, entre las 12:00 y las 18:00 horas, y entre las 21:00 y las 23:00 horas del día.
Período de carga mínima: corresponde a las horas comprendidas entre las 00:00 y las 4:00 horas y las 23:00 y las 24:00 horas.
Sistema de distribución local, SDL: sistema de transporte de energía eléctrica compuesto por el conjunto de líneas y subestaciones, con sus equipos asociados, que operan en los niveles de tensión 1, 2 y 3 y son utilizados para la prestación del servicio en un mercado de comercialización.
Sistema de transmisión nacional, STN: es el sistema interconectado de transmisión de energía eléctrica compuesto por el conjunto de líneas, equipos de compensación y subestaciones que operan a tensiones iguales o superiores a 220 kV, los transformadores con este nivel de tensión en el lado de baja y los correspondientes módulos de conexión.
Sistema de transmisión regional, STR: sistema de transporte de energía eléctrica compuesto por los activos de conexión del OR al STN y el conjunto de líneas, equipos y subestaciones, con sus equipos asociados, que operan en el nivel de tensión 4. Los STR pueden estar conformados por los activos de uno o más operadores de red.
Sistema interconectado nacional, SIN: es el sistema compuesto por los siguientes elementos conectados entre sí: las plantas y equipos de generación, la red de interconexión, las redes regionales e interregionales de transmisión, las redes de distribución, y las cargas eléctricas de los usuarios.
Tasa de retorno: tasa calculada para la actividad de transmisión de energía eléctrica.
Trabajos debidos a la ejecución del plan de inversiones: son las actividades necesarias para la entrada en operación comercial de un generador, de los activos que componen los proyectos de expansión y demás que hagan parte del plan de inversiones que la CREG le haya aprobado al TN.
Transmisión de energía eléctrica: es la actividad consistente en el transporte de energía eléctrica por sistemas de transmisión y la operación, mantenimiento y expansión del sistema de transmisión nacional.
Transmisor nacional, TN: persona jurídica que realiza la actividad de transmisión de energía eléctrica en el STN o que ha constituido una empresa cuyo objeto es el desarrollo de dichas actividades. El TN siempre debe ser una empresa de servicios públicos domiciliarios.
Unidad constructiva especial: es aquella que por sus características técnicas no se puede asimilar a las UC definidas en la presente resolución.
Unidad constructiva, UC: conjunto de elementos que conforman una unidad típica de un sistema eléctrico, orientada a la conexión de otros elementos de una red, al transporte o a la transformación de la energía eléctrica, o a la supervisión o al control de la operación de activos del STN.
Usuario conectado directamente al STN: es el usuario final del servicio de energía eléctrica conectado al STN mediante equipos destinados en un 100% a su uso exclusivo. También lo es el usuario que a la fecha de entrada en vigencia de la Resolución CREG 097 de 2008 estaba reconocido como usuario conectado directamente al STN.
Un usuario conectado directamente al STN pertenece al mercado de comercialización del OR que atiende la mayor cantidad de usuarios en el municipio donde se encuentre ubicado. Cuando el usuario conectado directamente al STN está ubicado en un municipio donde no existan usuarios conectados a ningún OR del SIN, pertenecerá al mercado de comercialización del OR que atienda la mayor cantidad de usuarios en el departamento donde se encuentre ubicado.
Usuario del STR o SDL: es el usuario final del servicio de energía eléctrica, OR, generador, cogenerador o autogenerador conectado a un STR o a un SDL.
Usuario del STN: es el usuario no regulado, UNR, el OR, generador, cogenerador o autogenerador conectado al STN.
Usuario no regulado, UNR: es el usuario final que cumple con las condiciones para acordar libremente sus precios de compra de energía eléctrica, establecidas en las resoluciones CREG 131 de 1998 y 183 de 2009 o aquella que las modifiquen o sustituyan.
Usuario: persona natural o jurídica que se beneficia con la prestación de un servicio público, bien como propietario del inmueble en donde éste se presta, o como receptor directo del servicio. A este último usuario se le denomina también consumidor. Para los efectos de esta resolución se denominará usuario final.
Artículo 4. Criterios generales. La metodología que se aplicará para el cálculo de los ingresos de los TN y del cargo por uso del STN tendrá en cuenta los siguientes criterios generales:
a. Los ingresos dependen de la ejecución de los planes de inversión del TN, representados principalmente en reposición de activos.
b. La base regulatoria de activos del STN se determinará a partir del costo de reposición de los activos que hacen parte de la base de activos aprobada y la asimilación de los nuevos activos mediante las UC que se presentan en esta resolución. Los TN podrán presentar UC especiales para lo cual deberán suministrar la información correspondiente dentro de la respectiva actuación administrativa.
c. El cargo por uso resultante de aplicar la metodología contenida en esta resolución remunerará el uso de la infraestructura y los gastos de AOM asociados al sistema de transmisión nacional. Este cargo por uso no incluye los costos de conexión del usuario al respectivo sistema.
d. En virtud del principio de integralidad de la tarifa establecido en la Ley, el ingreso del TN y el cargo del STN variarán según los índices de calidad del servicio prestado.
e. Para compartir las mejoras de productividad de la red con los usuarios, el cargo por uso se disminuirá teniendo en cuenta los ingresos recibidos por el TN por la prestación de servicios distintos al de transmisión de electricidad.
f. Un TN será remunerado mediante cargos por uso por la totalidad de los activos de uso que representa, independientemente de que sea o no propietario de los mismos y sin perjuicio de la remuneración que deberá pagar al propietario por su inversión, con excepción de los bienes o derechos que no deban incluirse en el cálculo de las tarifas en los términos del artículo 87, numeral 87.9, de la Ley 142 de 1994, modificado por el artículo 99 de la Ley 1450 de 2011. Es obligación de los TN reportar estos activos que no deben incluirse en la tarifa.
g. El cargo por uso del STN será facturado por el LAC a los comercializadores, con base en su demanda y distribuido entre los TN que representan activos en ese sistema, así hayan sido activos ejecutados directamente por los TN o como resultado de un proceso de selección.
h. El comercializador cobrará el cargo por uso del STN a los usuarios que atiende.
i. La elaboración del plan de inversiones y la identificación, priorización y ejecución de las inversiones que lo conforman es de entera responsabilidad del TN.
Artículo 5. Metodología de remuneración. La actividad de transmisión de energía eléctrica en el STN se remunerará con la metodología de ingreso máximo, conforme a lo establecido en esta resolución. Los activos de uso del STN existentes a la fecha de entrada en vigencia de esta resolución que no hayan sido construidos por inversionistas seleccionados a través de los procesos de libre concurrencia regulados por la CREG, y los activos correspondientes a las ampliaciones que se construyan en cumplimiento de lo establecido en el artículo 6 de la Resolución CREG 022 de 2001 y aquellas que la modifiquen o sustituyan, se remunerarán de acuerdo con lo establecido en la presente resolución.
Parágrafo. La CREG incluirá los ajustes o modificaciones a la metodología de remuneración establecida en esta resolución que por la entrada en vigencia de un nuevo esquema de intercambios internacionales de energía eléctrica se requieran para que la formación de precios sea en condiciones de eficiencia frente a la demanda nacional.
Artículo 6. Base de activos e ingreso anual. La CREG aprobará mediante resolución particular la base de activos a remunerar a cada uno de los TN. El ingreso anual de cada TN, IAT, correspondiente a estos activos se calculará de acuerdo con lo establecido en el capítulo 2 del anexo.
La CREG podrá modificar la base de activos de un TN, y a su vez el ingreso aprobado, cuando la autoridad competente determine que alguno de sus activos limita la operación adecuada del sistema o incumple con la regulación. También se podrán hacer modificaciones cuando el TN incluya en su plan de inversiones los nuevos proyectos en el STN identificados por la UPME para ser ejecutados como ampliaciones, de acuerdo con lo señalado en la Resolución CREG 022 de 2001 o aquella que la modifique, adicione o sustituya.
Una vez se haya finalizado el periodo de pagos de los activos que se hayan ejecutado mediante procesos de selección y cuando se cumplan las condiciones establecidas en la regulación el TN deberá solicitar a la CREG la inclusión de estos activos en su base de activos reconocida. También deberá incluir los activos que deban ser remunerados mediante cargos por uso de la actividad de transmisión, de acuerdo con la regulación vigente.
Parágrafo 1. El valor a remunerar a cada TN por conceptos de servidumbre de nuevas líneas y de costos relacionados con permisos y licencias ambientales será el valor anual que éste demuestre con la información entregada al momento del reporte del inventario de sus activos.
Parágrafo 2. Para la remuneración de los terrenos que hacen parte de nuevas unidades constructivas de subestaciones se tendrá en cuenta el valor catastral del metro cuadrado (m2) del terreno donde está ubicada cada subestación.
Artículo 7. Remuneración de nuevos activos de uso que sustituyan otros. Para la remuneración de un nuevo activo de uso que sustituya a otro que se estaba remunerando con una unidad constructiva diferente, se debe cumplir lo siguiente:
a. Que el TN que represente dicho activo presente a la UPME la evaluación técnica y económica que justifica la ampliación o su sustitución.
b. Que la UPME, una vez aplicados los criterios establecidos en la normativa vigente, recomiende la ampliación o sustitución de dicho activo en el plan de expansión que se adopte.
c. Que el TN incluya este activo dentro de su plan de inversiones que reporte a la CREG.
Parágrafo: La reposición de los activos es responsabilidad de los TN que los representan. Con este propósito, además de la entrega a la CREG del plan de inversiones en reposición, el TN deberá presentar a la UPME, dentro de los tres meses siguientes a la entrada en vigencia de esta resolución, un plan de reposición acorde con un diagnóstico técnico del estado de sus activos, que cubra un periodo de cinco años. En ningún caso el incumplimiento de las normas técnicas establecidas por la autoridad competente o las limitaciones técnicas de equipos o elementos de una unidad constructiva podrán limitar la operación adecuada del sistema y le corresponderá al TN ajustar dicho activo y solicitar a la CREG la reclasificación de la unidad constructiva, si fuere el caso.
Artículo 8. Representación ante el LAC. Cada activo de uso deberá estar representado ante el LAC por un TN. En el caso de que exista multipropiedad del activo entre varios TN, éstos podrán optar por encargar a uno de ellos la operación y representación del activo ante el LAC o informar los porcentajes de participación en dicho activo, los cuales también se aplicarán al ingreso correspondiente al activo.
En todo caso, el responsable de la operación del activo, así no la efectúe directamente, será el TN que representa el activo ante el LAC.
La modificación de la representación de los activos ante el LAC, parcial o total, debe ser solicitada a la CREG para su aprobación.
Parágrafo 1. Un TN que represente un activo de uso mantendrá esta condición hasta que haya sido aprobada la resolución de la CREG donde se modifique tal representación.
Parágrafo 2. Si en el STN hay activos que están siendo utilizados en la prestación del servicio de trasmisión y no están representados ante el LAC, deberán ser reportados a la CREG dentro del mes siguiente a la entrada en vigencia de esta resolución, para que su remuneración se incluya dentro de los cargos por uso y se recauden los respectivos ingresos que posteriormente serán entregados a quien asuma su representación.
Artículo 9. Gastos de administración, operación y mantenimiento. El reconocimiento de AOM se hará de acuerdo con lo establecido en el capítulo 3 del anexo, con base en la información que reporte cada TN.
Artículo 10. Cargo por uso del STN. El cargo por uso del STN será calculado por el LAC de acuerdo con lo establecido en el capítulo 1 del anexo.
La publicación del cargo estimado para que los comercializadores lo utilicen en el cálculo del costo unitario de prestación del servicio, la facturación de la actividad de transmisión y el recaudo los hará el LAC de acuerdo con la regulación vigente.
Artículo 11. Procedimiento en caso de una conexión profunda. De acuerdo con el procedimiento para la asignación de puntos de conexión de generadores al STN, establecido en la Resolución CREG 106 de 2006 o la que la modifique, adicione o sustituya, y del establecido por la UPME para asignar puntos de conexión a un UNR, cuando sea necesario ejecutar proyectos de expansión de activos remunerados a través de cargos por uso del STN y la UPME encuentre que, según los criterios establecidos en la normativa vigente, los beneficios del proyecto de expansión son inferiores a los costos, podrá recomendar la ejecución del proyecto asociado con los activos de uso del STN. Dando cumplimiento a la regulación vigente, el proyecto se ejecutará como ampliación o mediante proceso de selección.
En estos casos, el agente solicitante debe asumir el porcentaje del costo del proyecto que permite que la relación beneficio/costo sea igual a uno (1) y cumplir con los requisitos de garantías y demás que se establezcan en la regulación.
Artículo 12. Responsabilidad por la calidad de la potencia en el STN. El CND será el responsable de mantener la calidad del suministro de electricidad en términos de la frecuencia a nivel del SIN y de la tensión a nivel del STN, conservando estas variables dentro de los límites definidos en el código de redes adoptado mediante la Resolución CREG 025 de 1995, y aquellas que la adicionen, modifiquen, adicionen o sustituyan.
Los TN y los usuarios del STN serán los responsables de mantener la calidad de la forma de onda y el balance de las tensiones de fase, de acuerdo con las normas establecidas en el numeral 7 del código de conexión que hace parte del código de redes, contenidos en la Resolución CREG 025 de 1995, y aquellas que la modifiquen o sustituyan.
Identificado el equipo o equipos causantes de una deficiencia en la forma de onda, o de un desbalance en las tensiones de fase, el CND deberá establecer conjuntamente con el TN y los involucrados, un plazo máximo, razonable de acuerdo con las buenas prácticas de ingeniería, para la corrección de la deficiencia identificada. El CND deberá informar al Consejo Nacional de Operación, CNO, el plazo acordado. Si transcurrido el plazo fijado no se ha efectuado la corrección pertinente, el TN deberá proceder a la desconexión del equipo causante de la deficiencia o, si no es posible identificar este equipo, de la carga del respectivo usuario del STN.
El TN debe garantizar que las deficiencias en la calidad de la potencia que se presenten en los activos que opera, durante el plazo previsto para su corrección, no generen riesgos para la seguridad de las personas, la vida animal y vegetal o la preservación del medio ambiente. De concluirse la inminencia de un peligro, a partir de razones objetivas claramente identificadas, el TN deberá proceder inmediatamente a la desconexión del equipo causante de la deficiencia o, si no es posible identificar este equipo, la desconexión de la carga del respectivo usuario del STN.
En todo caso, los plazos mencionados no exonerarán al TN de su responsabilidad por los perjuicios que se causen por las deficiencias en la calidad de potencia suministrada a través de los activos que opera.
Para efectos de determinar la fuente de las distorsiones o fluctuaciones, el CND podrá solicitar al TN y este al usuario del STN la instalación de los equipos que consideren necesarios en la red o en las fronteras o equipos de medición del usuario, para registrar variables de corrientes y tensiones, y podrán exigir el diseño de medidas remediales que técnicamente sigan las normas y buenas prácticas de ingeniería.
Parágrafo. Lo establecido en este artículo se mantendrá vigente hasta que la CREG defina una nueva regulación para la calidad de la potencia en resolución aparte.
Artículo 13. Calidad del servicio en el STN. Será responsabilidad de los TN prestar el servicio de transmisión de energía eléctrica dentro de los niveles de calidad y con las características establecidas en el capítulo 4 del anexo. Las variaciones que superen los límites allí definidos darán lugar a las compensaciones que se calcularán conforme a lo dispuesto en dicho capítulo. Lo anterior, sin perjuicio de la responsabilidad que pueda tener el TN por los daños y perjuicios causados a usuarios o terceros.
La compensación se aplicará disminuyendo el ingreso que le corresponde a cada TN en un valor igual al que resulte de aplicar lo dispuesto en el capítulo 4 del anexo general. Para tal efecto, el LAC calculará las compensaciones aplicables a cada TN que represente los activos.
El componente T de la fórmula tarifaria general del costo de prestación del servicio, que aplican los comercializadores a los usuarios, tendrá en cuenta el cargo por uso del STN al cual se le han aplicado las respectivas compensaciones.
Parágrafo 1. Los propietarios de los proyectos de expansión ejecutados como resultado de procesos de selección regulados por la CREG, al momento de declarar su entrada en operación comercial deberán reportar al LAC el inventario de las unidades constructivas que componen dicho proyecto. De no existir la correspondiente unidad constructiva se asociará con aquella más parecida. Las compensaciones serán calculadas con base en los valores de las unidades constructivas definidos en el capítulo 4 del anexo y se descontarán del ingreso mensual del TN.
Parágrafo 2. Cuando la Superintendencia de Servicios Públicos Domiciliarios, SSPD, tome posesión de un TN no se aplicarán, durante los doce (12) meses siguientes a la toma, las compensaciones por calidad del servicio reguladas en esta resolución. Una vez vencido este plazo, se continuarán aplicando las reducciones del ingreso o compensaciones aquí dispuestas.
Artículo 14. Obligación de reportar eventos. Los agentes que presten servicios de transmisión de energía eléctrica en el STN deberán informar al CND la ocurrencia de cualquier evento, dentro de los quince (15) minutos siguientes a la ocurrencia del mismo, y la finalización de la ejecución de maniobras dentro de los cinco (5) minutos siguientes.
Artículo 15. Información base para la aprobación de la base de activos y del ingreso anual. Para la aprobación se tendrá en cuenta, principalmente, la siguiente información:
a. Inventarios de activos de uso representados por el TN que deban ser remunerados mediante cargos por uso.
b. Reporte de activos de enlaces internacionales con nivel de tensión inferior a 220 kV que deben ser remunerados mediante cargos por uso de la actividad de transmisión.
c. Identificación de las UC representadas por el TN cuyo valor no debe incluirse en el cálculo de los cargos en los términos del artículo 87 numeral 87.9 de la Ley 142 de 1994, modificado por el artículo 99 de la Ley 1450 de 2011.
d. Áreas de los terrenos donde están ubicadas las subestaciones junto con su valor catastral.
e. Información contable reportada al SUI.
f. Ingresos por la explotación de la infraestructura remunerada a través de cargos por uso por concepto de otras actividades diferentes a la de transmisión de energía eléctrica, durante los siete años que finalizan en la fecha de corte.
g. Información de planes de inversión.
Parágrafo. Para las empresas resultantes de fusiones o desintegraciones la información base, según la antigüedad con que sea requerida en esta resolución, comprenderá la de las empresas que dieron lugar a la fusión o a la desintegración.
Artículo 16. Solicitud de aprobación de ingresos. Dentro de los noventa (90) días calendario siguientes a la fecha de entrada en vigencia de la presente resolución los TN deberán someter a aprobación de la CREG, lo siguiente:
a. Inventario de las unidades constructivas que componen su base de activos.
b. Cálculo de ingresos anuales por el uso de los activos, los cuales, deberán calcularse de conformidad con la metodología descrita en el capítulo 2 del anexo.
c. Memorias de cálculo con la totalidad de las variables utilizadas para la solicitud de aprobación ingresos, en los formatos definidos por la Comisión.
d. Planes de inversión.
Los TN deberán suministrar el diagrama unifilar de las redes y subestaciones, incluyendo toda la información necesaria para la aprobación de ingresos y que sea de su responsabilidad en los términos de esta resolución.
Artículo 17. Decisión sobre aprobación de los ingresos de cada TN. Una vez presentada la información por los TN, y llevado a cabo la correspondiente actuación administrativa que garantice el derecho al debido proceso de los interesados, de conformidad con los procedimientos establecidos en la Ley, la Comisión procederá a aprobar los ingresos de que trata la presente resolución.
Parágrafo. Cuando el TN no someta a aprobación de la CREG la solicitud de ingresos en el plazo previsto, la Comisión fijará los ingresos anuales con la información disponible, sin perjuicio de las sanciones y demás medidas a que haya lugar. Estos ingresos estarán vigentes hasta que el TN formule la respectiva solicitud de actualización y los nuevos le sean aprobados.
Artículo 18. Tratamiento de activos de conexión y activos de uso. Los activos que sean declarados para ser remunerados mediante cargos por uso por parte del TN mantendrán este tipo de remuneración durante todo el período tarifario. Los activos de conexión mantendrán tal condición durante todo el período tarifario.
Parágrafo. Durante el período tarifario, los TN no podrán exigir remuneración adicional por activos que hayan sido reportados para ser remunerados mediante cargos por uso.
Artículo 19. Vigencia de los ingresos. Los ingresos de los TN que defina la Comisión estarán vigentes desde la fecha en que quede en firme la resolución que los apruebe y hasta cuando se cumplan cinco años contados desde la entrada en vigencia de la presente resolución, sin perjuicio de las actualizaciones a que haya lugar.
Parágrafo. Vencido el período de vigencia de los ingresos aprobados, continuarán rigiendo hasta que la Comisión apruebe los nuevos.
Artículo 20. Derogatorias. La presente resolución deroga los artículos 4 y 5 de la Resolución CREG 039 de 1999, la Resolución CREG 011 de 2009, la Resolución CREG 093 de 2012 excepto el capítulo 3 del anexo general de esa resolución, y las demás disposiciones que le sean contrarias.
PUBLÍQUESE Y CÚMPLASE
Firmas del proyecto,
TOMÁS GONZÁLEZ ESTRADA | JORGE PINTO NOLLA |
Ministro de Minas y Energía | Director Ejecutivo |
Presidente |  |
CAPÍTULO 1. CÁLCULO DEL CARGO POR USO DEL STN 23
CAPÍTULO 2. CÁLCULO DE LOS INGRESOS ANUALES 27
2.1 Ingreso anual por inversión en activos 27
2.1.1 Base regulatoria de activos 28
2.1.2 Recuperación de capital reconocida 34
2.1.3 Base regulatoria de terrenos 37
2.2 Ingreso anual por AOM 38
CAPÍTULO 3. GASTOS DE ADMINISTRACIÓN, OPERACIÓN Y MANTENIMIENTO 39
3.1 AOM base a reconocer 39
3.1.1 AOM demostrado 40
3.1.2 AOM remunerado 40
3.1.3 Valor de AOM para nuevas inversiones 41
3.2 Verificación del valor anual de AOM 41
CAPÍTULO 4. INGRESO ANUAL POR INCENTIVOS 42
4.1 Incentivos por eficiencia en inversiones 42
4.1.1 Inversiones aprobadas 42
4.1.2 Inversiones de referencia 43
4.1.3 Incentivo por eficiencia en inversiones alcanzado 43
4.2 Incentivos por eficiencia en AOM 45
4.2.1 Gastos de AOM de referencia 45
4.2.2 Incentivo por eficiencia de AOM alcanzado 46
CAPÍTULO 5. CALIDAD DEL SERVICIO 48
5.1 Características de calidad a la que está asociado el ingreso 48
5.2 Activos sujetos al esquema de calidad 48
5.3 Bases de datos 49
5.4 Reglamento para el reporte de eventos 49
5.4.1 Responsabilidad del reporte de información 49
5.4.2 Activos del STN a reportar 50
5.4.3 Información del reporte de eventos 50
5.4.4 Validación de la información 51
5.4.5 Plazos 52
5.5 Máximas horas anuales de indisponibilidad 52
5.6 Ajuste de máximas horas de indisponibilidad 53
5.7 Indisponibilidad de los activos de uso del STN 54
5.8 Estimación de la capacidad disponible 55
5.9 Eventos excluidos 55
5.10 Procedimiento para los mantenimientos mayores 57
5.11 Activos que entran en operación comercial 58
5.12 Valor de referencia para compensación 58
5.13 Remuneración en algunos casos de indisponibilidad 59
5.14 Compensaciones 59
5.14.1 Compensaciones por incumplimiento de las metas 59
5.14.2 Compensaciones por dejar no operativos otros activos o por energía no suministrada 61
5.14.3 Valor total a compensar 63
5.15 Informe sobre ENS 63
5.16 Zona excluida de CNE 64
5.16.1 Lista de zonas excluidas de CNE 64
5.16.2 Procedimiento para establecer zonas excluidas de CNE 65
5.17 Límite de los valores a compensar 65
CAPÍTULO 6. PLANES DE INVERSIÓN 67
6.1 Criterios de generales 67
6.2 Presentación de los planes de inversión 68
6.3 Contenido de los planes de inversión 69
6.3.1 Diagnóstico 69
6.3.2 Proyectos de inversión motivados en la atención de demanda 69
6.3.3 Proyectos de inversión no motivados en la atención de demanda 70
6.4 Aprobación de los planes de inversión 73
6.5 Seguimiento de los planes de inversión 73
6.6 Ajuste de los planes de inversión 75
6.7 Publicidad y difusión de los planes de inversión 75
CAPÍTULO 7. UNIDADES CONSTRUCTIVAS 76
7.1 UC asociadas a subestaciones 76
7.2 UC asociadas a líneas 81
7.3 UC asociadas a sistemas de control 83
7.4 Áreas reconocidas 84
7.5 Categorías de unidades constructivas 85
CAPÍTULO 8. VALORACIÓN DE ACTIVOS EXISTENTES 86
CAPÍTULO 9. CARGOS HORARIOS 93
ANEXO GENERAL
CAPÍTULO 1. CÁLCULO DEL CARGO POR USO DEL STN
El cargo por uso del STN se calculará de acuerdo con lo establecido a continuación.
1.1 Cargo por uso
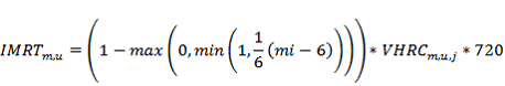
El cargo por uso monomio del STN se calculará aplicando la siguiente expresión:
Donde:
Tm: Cargo por uso del STN para el mes m. ($/kWh)
IMTj,m : Ingreso mensual del TN j, para el mes m, calculado de acuerdo con lo dispuesto en el numeral 1.2. ($)
IMNRi,m : Ingreso mensual del activo de uso i, que no está representado ante el LAC, para el mes m, calculado de acuerdo con lo dispuesto en el numeral 1.3. ($)
PCPg,m-1: Pago por concepto de conexión profunda que realiza el agente g, en el mes m-1. ($)
VTGp,m-1: Valor total garantizado por la póliza o garantía p, que se hace efectiva en el mes m-1. ($)
DTCm: Demanda total registrada por los comercializadores del SIN en el mes m, en cada una de sus fronteras comerciales, referida al STN. (kWh)
n: Número de TN en el STN.
nnr: Número de unidades constructivas utilizadas en el STN que no cuentan con representación ante el LAC.
ncp: Número de agentes que realizan pagos por concepto de conexión profunda.
npe: Número de pólizas o garantías que se hacen efectivas de acuerdo con los eventos de incumplimiento establecidos en la Resolución CREG 022 de 2001 y aquellas que la modifiquen, complementen o sustituyan.
Si para algún mes m, el valor de los saldos por las garantías ejecutadas supera la diferencia entre el ingreso mensual y los pagos por concepto de conexiones profundas, solo se tomará del saldo de garantías un valor que no disminuya el numerador más allá del 50% del valor calculado para el mismo numerador en el mes m-1. Los saldos pendientes de las garantías ejecutadas, junto con los ingresos y gastos financieros, se tendrán en cuenta para incluirlos en el cálculo del cargo por uso de los meses siguientes.
1.2 Ingreso mensual de los TN
Para la liquidación del ingreso mensual de cada TN se tendrá en cuenta:
a. El ingreso mensual causado por unidades constructivas no construidas en desarrollo de los procesos de selección regulados por la CREG, el cual se calculará a partir del ingreso anual definido en el capítulo 2.
b. El ingreso mensual causado por unidades constructivas asociadas con proyectos ejecutados como resultado de los procesos de selección de que tratan las resoluciones CREG 022 de 2001 y 092 de 2002, o aquellas que las modifiquen o sustituyan.
c. Las compensaciones por variaciones en las características de calidad del servicio que excedan o superen los límites, en la forma definida en esta resolución.
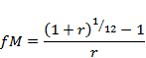
El ingreso mensual de cada TN se calcula con:
Donde:
IMTj,m: Ingreso mensual del TN j, para el mes m. ($)
fM: Factor para convertir valores anuales en mensuales que se obtiene con la siguiente fórmula:
r: Tasa de retorno reconocida para la actividad de transmisión de energía eléctrica.
IATj,t: Ingreso anual del TN j, en el año t, calculado de acuerdo con lo previsto en el capítulo 2. ($)
INCj,t-1: Ingreso anual por incentivos alcanzado por el TN j en el año t-1., calculado de acuerdo con lo previsto en el capítulo 4. ($)
IEj,m: Ingreso esperado de las convocatorias adjudicadas al TN j, para el mes m, calculado de acuerdo con lo establecido en las resoluciones CREG 022 de 2001 y 092 de 2002, o aquellas que las modifiquen o sustituyan. ($)
VMCj,m: Valor mensual a compensar por el TN j, calculado de acuerdo con lo previsto en el numeral 5.14.3. ($)
IPPm-1: Índice de precios del productor para el mes m-1.
IPPFC: Índice de precios del productor de la fecha de corte.
1.3 Ingreso mensual de activos sin representación
Se consideran activos sin representación ante el LAC los activos no construidos mediante procesos de convocatoria que, al momento de entrada en vigencia de esta resolución, están siendo utilizados en el STN y no están siendo remunerados parcial o totalmente ya que no hacen parte de ninguna de las bases de activos aprobadas a los TN.
Mientras se cuenta con un TN que represente estos activos, el LAC liquidará y recaudará los ingresos de estos activos con base en la siguiente fórmula:
Donde:
IMNRi,m : Ingreso mensual del activo de uso i, que no está representado ante el LAC, para el mes m. ($)
CRi : Costo unitario de la unidad constructiva i, de acuerdo con los valores del capítulo 8
CRAl,vu : Factor de capital remanente de acuerdo con el rango l y la vida útil vu del activo, de acuerdo con los valores del numeral 2.1.1.1.4.
vrm : Vida útil remanente expresada en meses; para los activos que pertenecen al rango 1 este valor es 348 y para los del rango 2, 456.
nmi : Contador del número de meses trascurridos, que inicia con 1 en el primer mes para el que se calculen cargos con la metodología prevista en esta resolución.
r: Tasa de retorno reconocida para la actividad de transmisión de energía eléctrica.
IPPm-1: Índice de precios del productor para el mes m-1.
IPP08: Índice de precios del productor de diciembre de 2008.
Los ingresos recaudados con base en lo previsto en este numeral serán consignados por el LAC en una cuenta de una institución financiera con el fin de obtener rendimientos sobre los valores consignados. Esta cuenta deberá tener como único propósito el manejo de estos recursos.
Los recursos de esta cuenta serán entregados a quien asuma como representante del activo. El LAC definirá y entregará a la CREG un procedimiento sobre la forma de asignar los respectivos rendimientos y gastos financieros y la forma de distribuir los recursos al momento de entregarlos al TN representante del activo.
CAPÍTULO 2. CÁLCULO DE LOS INGRESOS ANUALES
Los ingresos anuales de los TN se determinan con base en la siguiente expresión:
Donde:
IATj,t: Ingreso anual del TN j, en el año t.
IAAj,t: Ingreso anual por inversión en activos, del TN j, en el año t, según lo establecido en el numeral 2.1.
IAAOMj,t: Ingreso anual por gastos de AOM del TN j, en el año t, según lo establecido en el numeral 2.2.
OIj: Otros Ingresos por la explotación de los activos remunerados mediante cargos por uso en actividades distintas a la de transmisión de energía eléctrica. Este valor corresponde al 50% del valor de los ingresos por este concepto durante el año que finaliza en la fecha de corte.
Sólo para el primer año de aplicación de la metodología que se aprueba en esta resolución, al valor IATj,1 se adicionará un valor equivalente al valor de las servidumbres de los activos existentes, el cual se calcula así:
SERVj,1: Valor reconocido por el costo de las servidumbres de los activos existentes a la fecha de corte. Este valor solo se calcula una vez y se adiciona a la variable IATj,1.
CAESj: Valor del costo anual equivalente de servidumbres reconocido al TN j. Este valor corresponde a la variable con el mismo nombre aprobada a cada TN en aplicación de la metodología establecida en la Resolución CREG 011 de 2009.
IPPFC: Índice de precios del productor a la fecha de corte.
IPP08: Índice de precios del productor a diciembre de 2008.
2.1 Ingreso anual por inversión en activos
El ingreso anual para cada TN se determina de conformidad con la siguiente expresión:
Donde:
IAAj,t: Ingreso anual por inversión del TN j, en el año t.
BRAj,t: Base regulatoria de activos del TN j, en el año t.
r: Tasa de retorno reconocida para la actividad de transmisión de energía eléctrica.
RCj,t: Recuperación reconocida de capital para los activos remunerados en la base regulatoria del TN j, en el año t, calculada según lo definido en el numeral 2.1.1.2.
BRTj,t: Base regulatoria de terrenos del TN j, en el año t, calculada según lo establecido en el numeral 2.1.3
2.1.1 Base regulatoria de activos
La base regulatoria de activos de los TN se determina con base en la siguiente expresión:
Donde:
BRAj,t: Base regulatoria de activos del TN j, en el año t.
BRAEj,t: Base regulatoria de activos eléctricos del TN j, en el año t, según lo establecido en el numeral 2.1.1.1.
BRANEj,t: Base regulatoria de activos no eléctricos del TN j, en el año t, según lo establecido en el numeral 2.1.1.2.
2.1.1.1 Base regulatoria de activos eléctricos
La base regulatoria de activos eléctricos de los TN se determina con base en la siguiente expresión:
Donde:
BRAEj,t: Base regulatoria de activos eléctricos del TN j, en el año t.
RCj,t: Recuperación reconocida de capital para los activos remunerados en la base regulatoria del TN j, en el año t, según lo establecido en el numeral 2.1.2.
BRAENj,t: Base regulatoria de activos eléctricos nuevos del TN j, en el año t, según lo establecido en el numeral 2.1.1.1.5.
BRAFOj,t: Base regulatoria de activos eléctricos fuera de operación del TN j, en el año t, según lo establecido en el numeral 2.1.1.1.9.
Para el primer año del periodo tarifario, la variable BRAEj,t-1 se calcula de acuerdo con lo establecido en los numerales 2.1.1.1.1.
2.1.1.1.1 Base regulatoria de activos eléctricos al inicio del periodo tarifario
La base regulatoria de activos eléctricos al inicio del periodo tarifario, t-1 = 0, se determina de la siguiente forma:
Donde:
BRAEj,0: Base regulatoria de activos eléctricos del TN j para el año t-1= 0.
CREj,k,l: Costo de reposición de la inversión, aprobado al TN j en aplicación de la metodología de la Resolución CREG 011 de 2009, para el rango de activos l y la categoría de activos k, de acuerdo con lo establecido en el numeral 2.1.1.1.3.
CRAl,vu: Capital remanente de los activos del TN j, para el rango de activos l con vida útil vu, de acuerdo con lo establecido en el numeral 2.1.1.1.4.
K: Cantidad de categorías de activos.
L: Cantidad de rangos de activos.
IPPFC: Índice de precios del productor a la fecha de corte.
IPP08: Índice de precios del productor a diciembre de 2008.
2.1.1.1.2 Clasificación de activos en rangos y categorías
Para determinar el costo de reposición por grupo de activos, las unidades constructivas aprobadas en aplicación de la Resolución CREG 011 de 2009 se deben clasificar en las categorías establecidas en el capítulo 8 y en los siguientes rangos:
Tabla 1 Rangos de activos
RANGO l | Entrada en operación | Antigüedad de referencia (años) |
1 | Entrada en operación >=16 años | 16 |
2 | 16 años > Entrada en operación >= 7 años | 7 |
3 | Entrada en operación < 7 años | 0 |
2.1.1.1.3 Costo de reposición por grupo de activos
El costo de reposición para cada grupo de activos que pertenecen al mismo rango y a la misma categoría se calcula con:
CREj,k,l: Costo de reposición de la inversión, aprobado al TN j en aplicación de la metodología de la Resolución CREG 011 de 2009, para el rango de activos l y la categoría de activos k, descontando el costo de los activos que no deben incluirse en el cálculo de la tarifa de acuerdo con lo dispuesto en el numeral 87.9 de la Ley 142 de 1994, modificado por el artículo 99 de la Ley 1450 de 2011.
NRj,k,l: Número de UC reconocidas, en aplicación de la metodología de la Resolución CREG 011 de 2009, al TN j, pertenecientes al rango de activos l y a la categoría k.
CRi: Valor de la UC i definido en el capítulo 8.
PUj,i: Fracción del costo de la UC i que es remunerada vía cargos por uso al TN j.
2.1.1.1.4 Capital remanente de la base inicial
En la Tabla 2 se presenta el valor de la variable capital remanente de los activos, CRAl,vu, según el rango y la vida útil de referencia.
Tabla 2 Capital remanente
Vida útil referencia (vu) | Capital remanente, rango 1 CRA1,vu | Capital remanente, rango 2 CRA2,vu | Capital remanente, rango 3 CRA3,vu |
40 | 0,92 | 0,98 | 1,00 |
30 | 0,76 | 0,94 | 1,00 |
10 | 0,00 | 0,29 | 1,00 |
2.1.1.1.5 Base regulatoria de activos eléctricos nuevos
La base regulatoria de activos nuevos se calcula de la siguiente manera:
Donde:
BRAENj,t: Base regulatoria de activos eléctricos nuevos del TN j para el año t.
IAPAj,t: Índice de ajuste por ejecución del plan de inversiones del TN j para el año t, calculado con base en lo previsto en el numeral 2.1.1.1.7
K: Cantidad de categorías de activos.
INVAj,k,t: Inversión aprobada en el plan de inversiones del TN j, en la categoría de activos k para el año t. Corresponde al valor de los activos incluidos en el plan de inversiones aprobado y valorados con las UC definidas en el capítulo 7.
INVRj,k,t: Inversiones en activos puestos en operación en el sistema del TN j, en la categoría de activos k durante el año t. Corresponde al valor de los activos puestos en operación y valorados con las UC definidas en el capítulo 7. Esta variable no puede ser superior a 1,03 veces INVAj,k,t.
2.1.1.1.5.1 Inversiones para empresas con plan de inversiones aprobado
Las inversiones aprobadas en el plan de inversiones se calculan de la siguiente forma:
Donde:
INVAj,k,t: Inversión aprobada en el plan de inversiones del TN j, en la categoría de activos k para el año t. Corresponde al valor de los activos incluidos en el plan de inversiones aprobado y valorados con las UC definidas en el capítulo 7.
UCPj,k,t: UC incluidas en el plan de inversiones aprobado al TN j, en la categoría de activos k para el año t. No se incluyen las UC que fueron trasladadas y siguen en operación.
CRi: Valor de la UC i, definido en el capítulo 7.
PUi,j: Fracción del costo de la UC i que es reconocida mediante cargos por uso al TN j.
RPPi: Fracción que no se debe incluir en el cálculo de la tarifa de acuerdo con lo dispuesto en el numeral 87.9 de la Ley 142 de 1994, modificado por el artículo 99 de la Ley 1450 de 2011.
2.1.1.1.5.2 Inversiones para empresas sin plan de inversiones aprobado
Las inversiones aprobadas para las empresas a las que no se les aprueba el plan de inversiones o que no lo presenten en la fecha indicada se calculan de la siguiente manera:
Donde:
INVAj,k,t: Inversión aprobada en el plan de inversiones del TN j, en la categoría de activos k para el año t.
BRAEj,k,0: Base regulatoria inicial de activos eléctricos del TN j.
PIHj: Porcentaje de inversiones de referencia del TN j. Corresponde al 1%
2.1.1.1.6 Inversiones en activos puestos en operación
Las inversiones en activos puestos en operación se calculan de la siguiente manera:
INVRj,k,t: Inversiones en activos puestos en operación en el sistema del TN j, en la categoría de activos k durante el año t. Corresponde al valor de los activos puestos en operación y valorados con las UC definidas en el capítulo 7. Esta variable no puede ser superior a 1,03 veces INVAj,k,t.
UCOj,k,t: Número de UC nuevas puestas en operación en el sistema del TN j, en la categoría de activos k durante el año t. No se incluyen las UC que fueron trasladadas y siguen en operación.
CRi: Valor de la UC i, definido en el capítulo 7.
PUi,j: Fracción del costo de la UC i que es reconocida mediante cargos por uso al TN j.
RPPi: Fracción que no se debe incluir en el cálculo de la tarifa de acuerdo con lo dispuesto en el numeral 87.9 de la Ley 142 de 1994, el cual a su vez fue modificado por el artículo 99 de la Ley 1450 de 2011.
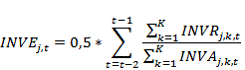
2.1.1.1.7 Índice de ajuste por ejecución del plan
Para los dos primeros años del periodo tarifario el valor de la variable IAPAj,t es igual a 1, a partir del tercer año del periodo tarifario el índice de ajuste por ejecución del plan de inversiones se obtiene de la siguiente manera:
IAPAj,t = 1, si INVEj, t es mayor o igual que 0,8.
IAPAj,t = INVEj,t, si INVEj,t es menor que 0,8.
La ejecución promedio del plan de inversiones, INVEj,t, se calcula de la siguiente manera:
Donde:
INVEj,t: Ejecución promedio del plan de inversiones del TN j para el año t.
INVRj,k,t: Inversiones en activos puestos en operación en el sistema del TN j, en la categoría de activos k durante el año t. Corresponde al valor de los activos puestos en operación y valorados con las UC definidas en el capítulo 7. Calculado según lo establecido en el numeral 2.1.1.1.6.
INVAj,k,t: Inversión aprobada en el plan de inversiones del TN j, en la categoría de activos k para el año t. Corresponde al valor de los activos incluidos en el plan de inversiones aprobado y valorados con las UC definidas en el capítulo 7. Calculado según lo establecido en los numerales 2.1.1.1.5.1 y 2.1.1.1.5.2.
K: Cantidad de categorías de activos.
2.1.1.1.8 Ajuste de la BRAEN al final del periodo tarifario
Al final del periodo tarifario debe calcularse la diferencia entre la BRAEN total reconocida y las inversiones puestas en operación durante el periodo tarifario, este valor se debe utilizar para ajustar la remuneración de las inversiones al inicio del siguiente periodo tarifario.
2.1.1.1.9 Activos fuera de operación
En concordancia con los planes de reposición de activos, los TN deberán presentar la relación de activos incluidos en la base regulatoria inicial de activos que quedarán fuera de operación durante cada año del periodo tarifario.
El valor de la variable BRAFOj,t se calcula con base en la siguiente expresión:
Donde:
BRAFOj,t: Base regulatoria de activos eléctricos fuera de operación del TN j para el año t. Para el primer año del periodo tarifario esta variable es igual a cero.
NFOj,t-1: Número de UC incluidas en la base regulatoria de activos del TN j que salen de operación en el año t-1.
BRARi,j,t-1: Valor de referencia de la UC i del TN j en el año t-1
La variable BRARi,j,t se calcula de la siguiente manera:
Donde:
BRARi,j,t: Valor de referencia de la UC i del TN j en el año t.
CRi: Valor de la UC i, que sale de operación en el año t, definido en el capítulo 8.
PUi: Fracción del costo de la UC i, que sale de operación en el año t, y que es reconocida mediante cargos por uso.
RPPi,: Fracción de la UC i que sale de operación en el año t que no se incluyó en el cálculo de la tarifa de acuerdo con lo dispuesto en el numeral 87.9 de la Ley 142 de 1994, modificado por el artículo 99 de la Ley 1450 de 2011.
CRAi: Factor de capital remanente de la UC i, que sale de operación en el año t, calculada de acuerdo con lo establecido en el numeral 2.1.1.1.4.
VURNi,k: Vida útil regulatoria de la unidad constructiva i perteneciente a la categoría de activos k, que sale de operación en el año t, según lo establecido en el numeral 8.3.
ARi,l: Antigüedad de referencia de la unidad constructiva i perteneciente al rango de activos l que sale de operación en el año t, según lo establecido en la Tabla 1.
2.1.1.2 Base regulatoria de activos no eléctricos
La base regulatoria de activos no eléctricos reconocida al TN se calcula de acuerdo con la siguiente expresión:
Donde:
BRANEj,t: Base regulatoria de activos no eléctricos del TN j, en el año t.
NE: Fracción de la base regulatoria de activos eléctricos, que se reconoce como activos no eléctricos, es igual a 0,02.
BRAEj,t: Base regulatoria de activos eléctricos del TN j, en el año t.
BRAENj,t: Base regulatoria de activos eléctricos nuevos del TN j, en el año t.
2.1.2 Recuperación de capital reconocida
La recuperación de capital reconocida para los activos remunerados en la base regulatoria de activos se calcula de la siguiente manera:
Donde:
RCj,t: Recuperación de capital reconocida para los activos remunerados en la base regulatoria del TN j, en el año t.
RCBIAj,t: Recuperación de capital reconocida para los activos incluidos en la base regulatoria inicial de activos del TN j, en el año t.
RCNAj,t: Recuperación de capital reconocida para los activos del TN j que entraron en operación a partir de la fecha de corte, en el año t.
RCAj,t: Recuperación de capital adicional para los activos que fueron aprobados al TN j pero no entraron en operación en el año t.
2.1.2.1 Recuperación de capital de activos de la BRA inicial
La variable RCBIAj,t se calcula de la siguiente manera:
Donde:
RCBIAj,t: Recuperación de capital reconocida para los activos incluidos en la base regulatoria inicial de activos del TN j, en el año t.
CREj,k,l: Costo de reposición de la inversión, aprobado al TN j en aplicación de la metodología de la Resolución CREG 011 de 2009, para el rango de activos l y la categoría de activos k, de acuerdo con lo establecido en el numeral 2.1.1.1.3.
CRAl,vu: Capital remanente de los activos del TN j, para el rango de activos l con vida útil vu, de acuerdo con lo establecido en el numeral 2.1.1.1.4.
NE: Fracción de la base regulatoria de activos eléctricos, que se reconoce como activos no eléctricos, es igual a 0,02.
VURk: Vida útil regulatoria de la unidad constructiva i perteneciente a la categoría de activos k, según lo establecido en el numeral 7.5.
ARl: Antigüedad de referencia del rango de activos l, según lo establecido en la Tabla 1.
K: Cantidad de categorías de activos.
L: Cantidad de rangos de activos.
IPPFC: Índice de precios del productor correspondiente a la fecha de corte.
IPP08: Índice de precios del productor correspondiente a diciembre de 2008.
2.1.2.2 Recuperación de capital de activos nuevos
La variable RCNAj,t se calcula de la siguiente manera:
Donde:
RCNAj,t: Recuperación de capital reconocida para los activos del TN j que entraron en operación a partir de la fecha de corte, en el año t.
T: Años de aplicación de la metodología definida en esta resolución.
K: Cantidad de categorías de activos.
RCNAj,k,t: Base regulatoria de activos eléctricos nuevos del TN j, para la categoría de activos k en el año t.
La variable RCNAj,k,t se cálcula de la siguiente manera:
IAPAj,t: Índice de ajuste por ejecución del plan de inversiones del TN j para el año t, calculado con base en lo previsto en el numeral 2.1.1.1.7
INVAj,k,t: Inversión aprobada en el plan de inversiones del TN j, en la categoría de activos k para el año t. Corresponde al valor de los activos incluidos en el plan de inversiones aprobado y valorados con las UC definidas en el capítulo 7. Calculado según lo establecido en los numerales 2.1.1.1.5.1 y 2.1.1.1.5.2.
INVRj,k,t: Inversiones en activos puestos en operación en el sistema del TN j, en la categoría de activos k durante el año t. Corresponde al valor de los activos puestos en operación y valorados con las UC definidas en el capítulo 7. Calculado según lo establecido en el numeral 2.1.1.1.6.
NE: Fracción de la base regulatoria de activos eléctricos, que se reconoce como activos no eléctricos, es igual a 0,02.
VURk: Vida útil regulatoria de la unidad constructiva i perteneciente a la categoría de activos k, según lo establecido en el numeral 7.5.
2.1.2.3 Recuperación de capital adicional
La variable RCAj,t se calcula como sigue:
Donde:
RCAj,t: Recuperación de capital adicional para los activos que fueron aprobados al TN j pero no entraron en operación en el año t.
INVAj,k,t: Inversión aprobada en el plan de inversiones del TN j, en la categoría de activos k para el año t. Corresponde al valor de los activos incluidos en el plan de inversiones aprobado y valorados con las UC definidas en el capítulo 7. Calculado según lo establecido en los numerales 2.1.1.1.5.1 y 2.1.1.1.5.2.
INVRj,k,t: Inversiones en activos puestos en operación en el sistema del TN j, en la categoría de activos k durante el año t. Corresponde al valor de los activos puestos en operación y valorados con las UC definidas en el capítulo 7. Calculado según lo establecido en el numeral 2.1.1.1.6.
VURk: Vida útil regulatoria de la unidad constructiva i perteneciente a la categoría de activos k, según lo establecido en el numeral 7.5.
2.1.2.4 Ajuste de la variable recuperación de capital al final del periodo tarifario
Al final del periodo tarifario debe calcularse la diferencia entre la recuperación de capital total reconocida y la recuperación de capital asociada con las inversiones puestas en operación durante el periodo tarifario. Este valor se debe utilizar para ajustar la remuneración de las inversiones al inicio del siguiente periodo tarifario.
2.1.3 Base regulatoria de terrenos
Donde:
BRTj,t: Base regulatoria de terrenos del TN j, en el año t.
R: Porcentaje anual reconocido sobre del valor de los terrenos, es igual a 6,9%.
NSj,t: Número total de UC de subestaciones del TN j, para el año t, sobre las cuales se reconocen áreas de terrenos.
ATi: Área típica reconocida a la UC i en m2, según lo establecido en el capítulo 7.
PUj,i: Porcentaje del costo total de la UC i que es remunerado vía cargos por uso al TN j.
RPPi: Fracción que no se debe incluir en el cálculo de la tarifa de acuerdo con lo dispuesto en el numeral 87.9 de la Ley 142 de 1994.
VCTi: Valor catastral del terreno correspondiente a la subestación en la cual se encuentra la UC i, en $/m2 de la fecha de corte.
2.2 Ingreso anual por AOM
El valor del ingreso anual de referencia por gastos AOM para cada TN será:
IAAOMj,t: Ingreso anual por concepto de AOM del TN j, para el año t, expresado en pesos de la fecha de corte.
AOMbasej,t: Valor del AOM base del TN j, para el año t, calculado de acuerdo con lo previsto en el numeral 3.1, expresado en pesos de la fecha de corte.
AOMNIj,t: Valor del AOM para nuevas inversiones, diferentes a reposición, del TN j, para el año t, calculado de acuerdo con lo previsto en el numeral 3.1.3, expresado en pesos de la fecha de corte.
CAPÍTULO 3. GASTOS DE ADMINISTRACIÓN, OPERACIÓN Y MANTENIMIENTO
En este capítulo se establece la metodología para definir el valor de gastos de AOM a reconocer a cada TN durante cada uno de los años del periodo regulatorio.
Dentro de los costos y gastos AOM a reconocer en la actividad de distribución de energía eléctrica no deben incluirse valores que correspondan con los siguientes conceptos, sin perjuicio que la CREG defina otros en resolución aparte:
a. asociados con otras actividades de la cadena de prestación del servicio;
b. asociados con los servicios prestados a otros agentes;
c. asociados a activos de conexión de usuarios del STN;
d. asociados a activos ejecutados mediante convocatorias públicas;
e. asociados con servicios prestados a terceros;
f. asociados con las inversiones requeridas para la reposición de activos;
g. asociados al costo de la prima por lucro cesante por efecto de indisponibilidad ocasionada por fuerza mayor;
h. asociados con beneficios extralegales pagados a los empleados.
3.1 AOM base a reconocer
Para el cálculo del valor anual de AOM, se obtendrá uno a partir de los valores de AOM remunerado y de AOM demostrado de cada transmisor nacional, durante los años 2009 a 2014. Dichos valores se calcularán como se muestra a continuación.
El valor de AOM base a reconocer por los activos existentes a la fecha de corte se determina con las siguientes fórmulas:
Donde:
AOMbasej,t: Valor del AOM base para el TN j, para el año i, expresado en pesos de la fecha de corte.
AOMDj,09-13: Valor del AOM demostrado por el TN j, calculado de acuerdo con lo previsto en el numeral 3.1.1.
AOMRj,09-13: Valor del AOM remunerado al TN j, calculado de acuerdo con lo previsto en el numeral 3.1.2.
CREj,2014: Valor de reposición de la inversión del TN j utilizada para calcular el PAOMDj,2014, de acuerdo con lo señalado en el numeral 10.3 del anexo general de la Resolución CREG 011 de 2009.
IPPFC: Índice de precios del productor en la fecha de corte.
IPP14: Índice de precios del productor de diciembre de 2014.
t: Variable que cuenta el número de años de aplicación de esta metodología. Es igual a 1 para el año en el que se inicia la aplicación de la metodología aprobada en esta resolución.
3.1.1 AOM demostrado
Para calcular el valor de AOM demostrado, AOMDj,09-14, a cada TN se obtiene:
a. El valor de AOM demostrado para cada año desde 2009 a 2014, calculado conforme a lo establecido en la Resolución CREG 011 de 2009, actualizado con la variación del IPP desde diciembre del respectivo año hasta diciembre de 2014.
b. A partir de los valores actualizados se obtiene un promedio aritmético de ellos que corresponderá al AOM demostrado, AOMDj,09-14.
3.1.2 AOM remunerado
Para calcular el valor de AOM remunerado, AOMRj,09-14, a cada TN se obtiene:
a. El porcentaje de AOM a reconocer para el año 2009, establecido en la resolución particular de cada TN de acuerdo con la Resolución CREG 011 de 2009.
b. El porcentaje de AOM a reconocer para cada uno de los años desde 2010 a 2014, calculado conforme a lo establecido en la Resolución CREG 011 de 2009. El TN deberá anexar en su solicitud la evidencia de que este porcentaje fue comunicado a la Superintendencia de Servicios Públicos Domiciliarios con la oportunidad establecida en la regulación.
Si hubo más de un porcentaje de AOM a reconocer entre una y otra actualización anual de AOM, se tomará el promedio de ellos. Sin embargo, si el cambio, diferente al de la actualización anual, se originó por una corrección detectada por el TN o por la Superintendencia de Servicios Públicos Domiciliarios, SSPD, se tomará el mínimo porcentaje utilizado en ese año.
c. El valor del CREj aprobado a cada TN en su respectiva resolución particular.
d. El valor del CREj utilizado por cada TN para calcular el porcentaje de AOM demostrado para cada uno de los años desde 2009 a 2013, actualizado con la variación del IPP hasta diciembre del año para el que se calcula el AOM demostrado.
e. Para el año 2009 se calcula el AOM remunerado multiplicando el porcentaje de AOM a reconocer, señalado en el literal a de este aparte, por el valor del CREj del año 2008, señalado en el literal c de este aparte. En forma análoga, para los años de 2010 a 2014 se calcula el AOM remunerado multiplicando el respectivo porcentaje de AOM a reconocer, señalado en el literal b de este aparte, por el valor del CREj, señalado en el literal d de este aparte.
f. Los valores remunerados, calculados en el literal anterior, se actualizan con la variación del IPP desde diciembre del respectivo año hasta diciembre de 2014. El promedio aritmético de estos valores actualizados corresponde al AOM remunerado, AOMRj,09-14.
3.1.3 Valor de AOM para nuevas inversiones
Para las nuevas inversiones, diferentes a reposición, se reconoce un valor anual de AOM así:
AOMNIj,t: Valor del AOM para las nuevas inversiones del TN j, expresado en pesos de la fecha de corte.
VACNIj,t: Valor acumulado hasta el año t de las nuevas inversiones, diferentes a reposición, para el TN j, expresado en pesos de la fecha de corte. Se calcula de la siguiente forma:
BRAENj,t-1: Base regulatoria de activos eléctricos nuevos del TN j, en el año t-1, según lo establecido en los numerales 2.1.1.1.5.
INVTRj,TI,k,t-1: Valor de la inversión puesta en operación en el sistema del TN j, en la categoría de activos k para el año t-1. Calculada de acuerdo con lo previsto en el numeral 6.5, para los tipos de inversión TI = I y TI = III
K: Cantidad de categorías de activos.
3.2 Verificación del valor anual de AOM
Con el propósito de verificar la información de AOM, los TN deberán reportarla cada año adjuntado un concepto por parte de una firma verificadora.
El informe que entregue el verificador sobre la revisión de la información de AOM debe incluir, entre otros, el formulario debidamente diligenciado y su concepto de visto bueno o de salvedad sobre la información entregada por el TN.
Los TN deben entregar a la SSPD la información de AOM del año anterior junto con el informe del verificador contratado. La información a entregar, los plazos y los demás requisitos de los informes serán dados a conocer por la CREG en forma separada.
CAPÍTULO 4. INGRESO ANUAL POR INCENTIVOS
Los ingresos obtenidos por incentivos a la eficiencia en inversiones y gastos se calculan con base en la siguiente expresión:
Donde:
INCj,t: Ingreso anual por incentivos alcanzado por el TN j en el año t.
INCIj,t: Ingreso anual por incentivos asociados con la eficiencia en las inversiones del TN j, en el año t, según lo establecido en el numeral 4.1.
INCGj,t: Ingreso anual por incentivos asociados con la eficiencia en AOM del TN j, en el año t, según lo establecido en el numeral 4.2.
4.1 Incentivos por eficiencia en inversiones
El incentivo asociado con la eficiencia en la ejecución del plan de inversiones se calcula de la siguiente manera:
Donde:
INCIj,t: Ingreso anual por incentivos asociados con la eficiencia en las inversiones del TN j, en el año t.
INVRj,t: Inversiones de referencia del TN j, para el año t. Según lo establecido en el numeral 4.1.2.
INVAj,t: Inversiones aprobadas en el plan de inversiones del TN j durante el año t. Según lo establecido en el numeral 4.1.1.
INCAI j,t: Incentivo por eficiencia alcanzado en inversiones por el TN j en el año t. Según lo establecido en el numeral 4.1.3.
4.1.1 Inversiones aprobadas
Las inversiones aprobadas en el plan de inversiones, INVAj,t se calculan de la siguiente manera:
Donde:
INVAj,t: Inversiones en activos aprobados en el plan de inversiones del TN j durante el año t.
INVAj,k,t: Inversiones aprobadas en el plan de inversiones del TN j en la categoría de activos k durante el año t, calculado según lo establecido en el numeral 2.1.1.1.5.
K: Cantidad de categorías de activos.
4.1.2 Inversiones de referencia
Las inversiones de referencia para el incentivo, INVRj,t se calculan de la siguiente manera:
Donde:
INVRj,t: Inversiones en activos puestos en operación en el sistema del TN j durante el año t.
INVRj,k,t: Inversiones en activos puestos en operación en el sistema del TN j en la categoría de activos k durante el año t, calculado según lo establecido en el numeral 2.1.1.1.6
K: Cantidad de categorías de activos.
4.1.3 Incentivo por eficiencia en inversiones alcanzado
El incentivo por eficiencia alcanzado en inversiones, INCAIj,t, se calcula de la siguiente manera:
Donde:
INCAIj,t: Incentivo por eficiencia alcanzado en inversiones por el TN j en el año t.
NIEj,t: Nivel de inversiones ejecutadas por el TN j durante el año t, calculado según el numeral 4.1.3.1
NITNj,t: Nivel de inversiones declarado por el TN j para el año t, calculado según el numeral 4.1.3.2.
IAIj,t: Incentivo de información que, de acuerdo con el nivel de inversiones declarado y el nivel de inversiones ejecutado, toma los siguientes valores:
Si NITNj,t y NIEj,t <= 100, entonces IAI es 0,85
Si NITNj,t >100 y NIEj,t <= 100, entonces IAI es 0,425
Si NIEj,t > 100, entonces IAI es 0
Para el primer año del periodo tarifario el incentivo por eficiencia en inversiones es igual a cero.
4.1.3.1 Nivel de inversiones ejecutadas
El nivel de inversiones ejecutadas, NIEj,t, por el TN durante el año t se calcula de la siguiente manera:
Donde:
NIEj,t: Nivel de inversiones ejecutadas por el TN j durante el año t. El valor máximo de esta variable es 110 y el valor mínimo es 90.
INVEj,t: Inversiones en activos puestos en operación en el sistema del TN j, durante el año t, valoradas con los costos del TN.
INVRj,t: Inversiones en activos puestos en operación en el sistema del TN j durante el año t, calculadas según el numeral 4.1.2.
Las inversiones ejecutadas se calculan de la siguiente manera:
Donde:
INVEj,t: Inversiones ejecutadas por el TN j, durante el año t, valor en pesos de la fecha de corte.
K: Cantidad de categorías de activos.
UCOj,k,t: Número de UC nuevas puestas en operación en el sistema del TN j durante el año t. No se incluyen las UC que fueron trasladadas y siguen en operación.
CRTNi: Valor de la UC i según la ejecución del TN. En este valor se deben incluir los mismos elementos de las UC definidas en el capítulo 7, así como las mismas actividades para su instalación.
PUi: Fracción del costo de la UC i, que es remunerada vía cargos por uso.
RPPi: Fracción del costo de la UC i, que no se debe incluir en el cálculo de la tarifa de acuerdo con lo dispuesto en el numeral 87.9 de la Ley 142 de 1994, modificado por el artículo 99 de la Ley 1450 de 2011.
Como soporte de las inversiones ejecutadas, el TN deberá presentar anualmente un informe en el cual se relacione la totalidad de UC puestas en operación durante el año, el valor ejecutado para cada uno de los proyectos del plan de inversiones aprobado, las desviaciones de las UC puestas en operación respecto a las aprobadas en el plan de inversiones.
De igual manera el TN deberá reportar el costo de las UC puestas en operación considerando los mismos elementos de las UC definidas en el capítulo 7, así como las mismas actividades requeridas para su instalación.
El valor total de las inversiones ejecutadas debe ser consistente con los valores reportados en la contabilidad de la empresa. En el informe se deben incluir los soportes de ejecución y la relación de las cuentas de la empresa en las cuales se incluyen estas inversiones.
4.1.3.2 Nivel declarado de inversiones del TN
Valor que representa la relación entre el costo del plan de inversiones estimado por el TN y el costo del plan de inversiones valorado con las UC definidas en el capítulo 7.
La variable NITNj,t es una valor que se encuentra entre 90 y 110.
Este valor debe ser reportado por el TN en la solicitud tarifaria y puede ser ajustado si se presentan modificaciones en el plan de inversiones de acuerdo con lo establecido en el numeral 6.5.
4.2 Incentivos por eficiencia en AOM
El incentivo asociado con la eficiencia en los gastos de administración, operación y mantenimiento se calcula de la siguiente manera:
Donde:
INCGj,t: Ingreso anual por incentivos asociados con la eficiencia en los gastos de administración, operación y mantenimiento del TN j en el año t.
AOMRj,t: Gastos de AOM de referencia del TN j para el año t.
INCAGj,t: Incentivo alcanzado por eficiencia en gastos de AOM del TN j en el año t.
4.2.1 Gastos de AOM de referencia
Los gastos de AOM de referencia, AOMRj,t se calculan de la siguiente manera:
Donde:
IAAOMj,t: Ingreso anual por concepto de AOM del TN j, para el año t expresado en pesos de la fecha de corte, según lo establecido en el capítulo 3.
4.2.2 Incentivo por eficiencia de AOM alcanzado
El incentivo por eficiencia en gastos alcanzado, INCAGj,t se calcula con la siguiente expresión:
Donde:
INCAGj,t: Incentivo alcanzado por eficiencia en gastos de AOM del TN j en el año t.
NGEj,t: Nivel de gastos ejecutados por el TN j durante el año t, calculado según el numeral 4.2.2.1
NGTNj,t: Nivel de gastos declarado por el TN j para el año t, calculado según el numeral 4.2.2.2.
IAIj,t: Incentivo de información que, de acuerdo con el nivel de gastos declarado y el nivel de gastos ejecutado, toma los siguientes valores:
Si NGTNj,t-1 y NGEj,t-1 <= 100, entonces IAI es 0,85
Si NGTNj,t-1>100 y NGEj,t-1<=100, entonces IAI es 0,425
Si NGEj,t-1 > 100, entonces IAI es 0
Para el primer año del periodo tarifario el incentivo por eficiencia en gastos es igual a cero.
4.2.2.1 Nivel de gastos ejecutados
El nivel de gastos ejecutados, NGEj,t, por el TN durante el año t se calcula de la siguiente manera:
Donde:
NGEj,t: Nivel de gastos ejecutados por el TN j durante el año t. El valor máximo de esta variable es 110 y el valor mínimo es 90
AOMEj,t: Gastos de AOM ejecutados por el TN j durante el año t.
AOMRj,t: Gastos de AOM de referencia del TN j, para el año t, calculado según lo establecido en 4.2.1.
Los gastos ejecutados corresponden a los gastos reales de la empresa asociados con las actividades y cuentas reconocidas.
Como soporte de los gastos ejecutados, el TN deberá presentar anualmente un informe en el cual se relacione el valor de gastos de AOM ejecutado que incluya los soportes de ejecución y la relación de las cuentas de la contabilidad de la empresa en las cuales se incluyen los gastos reconocidos. Igualmente se deben relacionar las cuentas de la contabilidad de la empresa en los cuales se incluyen los gastos no reconocidos.
4.2.2.2 Nivel declarado de gastos del TN
Valor que representa la relación entre los gastos de AOM estimados por el TN y los gastos de AOM de referencia.
La variable NGTNj,t es una valor que se encuentra entre 90 y 110.
Este valor debe ser reportado por el TN en la solicitud tarifaria y puede ser ajustado si se presentan modificaciones en el plan de inversiones de acuerdo con lo establecido en el numeral 6.6.
CAPÍTULO 5. CALIDAD DEL SERVICIO
En este capítulo se establecen las características que se deben cumplir en cuanto a la calidad en la prestación del servicio de transmisión de energía eléctrica en el STN y las reducciones en el ingreso o compensaciones aplicables por variaciones en dichas características.
5.1 Características de calidad a la que está asociado el ingreso
El ingreso de cada TN, calculado de acuerdo con lo previsto en esta resolución, estará asociado a una calidad con las siguientes características:
a. La duración de las indisponibilidades de los activos utilizados en la prestación del servicio de transmisión de energía eléctrica en el STN no superará las máximas horas anuales de indisponibilidad ajustadas.
b. Las indisponibilidades máximas permitidas de un activo, originadas en catástrofes naturales tales como erosión (volcánica, fluvial o glacial), terremotos, maremotos, huracanes, ciclones y/o tornados, y las debidas a actos de terrorismo, no superarán los seis meses, contados desde la fecha de ocurrencia de la catástrofe.
c. La estimación de la energía no suministrada por la indisponibilidad de un activo no deberá superar el porcentaje límite definido para tal fin.
d. A partir del momento en que las horas de indisponibilidad acumulada de un activo sean mayores que las máximas horas anuales de indisponibilidad ajustadas, no se permitirá que la indisponibilidad de este activo deje no operativos otros activos.
La variación en estas características de calidad del servicio de transporte de energía eléctrica en el STN que exceda o supere los límites señalados en cualquiera de estos cuatro literales, generará una reducción o compensación en el ingreso del TN que se calculará y aplicará en la forma prevista en este capítulo.
5.2 Activos sujetos al esquema de calidad
Las disposiciones sobre calidad en el STN aplicarán a los agentes que realizan la actividad de transmisión en este sistema, y a todos aquellos agentes responsables de la información necesaria para la aplicación del esquema de calidad del servicio en el STN, establecido esta resolución.
Los activos del STN sobre los que aplica el esquema de calidad del servicio son los que: i) hacen parte de la base de activos reconocida a cada transmisor nacional, TN, ii) están en operación comercial y podrán hacer parte de este inventario, o iii) son construidos como resultado de procesos de libre concurrencia.
Para el caso de los proyectos adjudicados mediante procesos de libre concurrencia, la clasificación de los activos deberá actualizarse cada vez que entre en vigencia la resolución que defina las UC para remunerar la actividad de transmisión.
5.3 Bases de datos
El CND será el responsable de centralizar, almacenar y procesar la información de eventos, que permita calcular los indicadores de indisponibilidad de los grupos de activos definidos en el numeral 5.4.2.
La información de eventos deberá mantenerse actualizada en la base de datos creada por el CND para su reporte. Esta información será utilizada, entre otros, para calcular las variables relacionadas con la calidad del servicio, las compensaciones, las remuneraciones de los activos y también será insumo para la determinación de la ENS.
El CND deberá mantener almacenada la información de eventos, en medio digital o de última tecnología, por un periodo no inferior a cinco años y deberá elaborar un resumen mensual de los eventos registrados en la base de datos, identificando el activo con el código asignado por el CND, el grupo de activos al que pertenece, la duración del evento, la causa y la fecha y hora de ocurrencia.
Tanto la información reportada como el resumen deberán estar disponibles para consulta de la Unidad de Planeación Minero Energética, UPME, la Superintendencia de Servicios Públicos Domiciliarios, SSPD, y la CREG. Si el CND cambia la forma de identificar los activos, deberá preverse la forma de recuperar la información histórica de cada uno de los activos.
5.4 Reglamento para el reporte de eventos
El reporte de eventos debe realizarse teniendo en cuenta las disposiciones que a continuación se establecen.
5.4.1 Responsabilidad del reporte de información
Los agentes deberán realizar el reporte de eventos de acuerdo con lo establecido en el artículo 14. En caso de que un agente no notifique la ocurrencia de cualquier evento, o la finalización de la ejecución de maniobras en los plazos señalados en el mencionado artículo se ajustará el número máximo de horas anuales de indisponibilidad del activo correspondiente, de acuerdo con lo establecido en este capítulo.
Los TN son los responsables de la recolección y el reporte de la información de eventos. Cuando el TN no opere los activos directamente, la información será reportada por quien los opera, y en el respectivo contrato de operación podrán precisarse los mecanismos para que el TN conozca la información reportada al CND. En todo caso, el responsable de la calidad y la oportunidad de la información reportada, a través del sistema dispuesto por el CND para este fin, es el TN a quien se le están remunerando los activos.
Para activos nuevos, el TN, o quien los opere, deberá reportar los eventos en la forma dispuesta en la presente resolución, a partir de su fecha de entrada en operación comercial.
5.4.2 Activos del STN a reportar
Para el STN se deberán reportar los eventos sobre los activos que conforman los siguientes grupos de activos:
a. Transformadores: constituido por el autotransformador que por lo menos tiene dos devanados operando en niveles de tensión de STN, junto con sus respectivas bahías.
b. Bahías de transformadores de conexión al STN: constituido por las bahías de transformador con configuración anillo e interruptor y medio, operando en niveles de tensión del STN y que son utilizadas por los OR.
c. Equipos de compensación: constituido por el respectivo equipo de compensación, reactiva o capacitiva, y las bahías que lo conectan al STN,
d. Líneas: constituido por el circuito que conecta dos subestaciones del STN (o más de dos subestaciones si hay conexiones en T). Incluye las bahías de línea con las que se opera su conexión al STN. Si una línea está conformada por más de un circuito, deberán reportarse por separado los eventos de cada uno de los circuitos.
e. Barraje: constituido por el módulo de barraje y las bahías de acople, transferencia o seccionamiento, en caso de que cuente con estas.
f. SVC: constituido por el equipo SVC y sus respectivas bahías.
g. STATCOM: constituido por el equipo STATCOM y sus respectivas bahías.
h. Comunicaciones: constituido por el SCADA, el sistema de comunicaciones y el enlace ICCP.
5.4.3 Información del reporte de eventos
El reporte de eventos deberá contener como mínimo lo siguiente:
a. activo sobre el cual se presenta el evento,
b. fecha y hora de ocurrencia del evento,
c. duración del evento teniendo en cuenta los tiempos de ejecución de maniobras establecidos por la regulación y los procedimientos que el CNO defina para tal fin,
d. la capacidad disponible del activo durante el evento, con base en la estimación de la capacidad disponible de que trata el numeral 5.8
e. causa que origina el evento, precisando si corresponde a alguna de las excluidas,
f. cuando el activo quede indisponible por causa de otro del STN, informar el activo causante y precisar si pertenece al mismo grupo de activos,
g. señalar si el evento obedece a la operación de un esquema suplementario, identificando el respectivo esquema,
h. diferenciación entre eventos programados y no programados,
i. demanda no atendida identificada
j. número de consignación, cuando aplique,
k. clasificación según las causas detalladas, acordadas y publicadas por el Consejo Nacional de Operación, CNO,
l. descripción del evento.
El CNO deberá mantener publicada y actualizada la lista de causas detalladas, necesarias para que los agentes entreguen la información solicitada en el literal k. Si bien el reporte de eventos debe hacerse en el plazo que para tal fin se establece, la causa detallada podrá ser modificada dentro del plazo que establezca el CND, ya que corresponde a un dato informativo que no se utiliza en el cálculo de las compensaciones ni de los indicadores de calidad establecidos en este capítulo.
El CND deberá mantener publicada en su página web la lista con los esquemas suplementarios existentes en el SIN, identificando los activos que operarían por la actuación del mismo.
El CND deberá mantener publicados en su página web los formatos e instrucciones para el reporte de eventos que tengan en cuenta las disposiciones establecidas en este capítulo. Cuando el CND requiera modificar los formatos e instrucciones para el reporte de eventos deberá enviarlos previamente para conocimiento de la CREG.
5.4.4 Validación de la información
El CND confrontará la información de eventos que se ingresa a la base de datos con la información que le haya sido reportada por los operadores de los activos, así como con la información disponible en los registros de señales digitales y análogas ante la ocurrencia de eventos, los registros de las lecturas de energía y potencia en tiempo real para las barras de las subestaciones del STN, los registros de consignaciones y el reporte de fallas en transformadores de medida, entre otros. El CND definirá las fuentes que utilizará y la información que verificará.
La confrontación mencionada se realizará de la siguiente manera:
a. Si el CND identifica discrepancias en el reporte de un evento en cuanto a su duración, para el cálculo de los indicadores definidos en este capítulo deberá asumirse el evento de mayor duración.
b. Si el agente no reporta información sobre el activo involucrado en el evento, o se constatan discrepancias sobre la identidad del activo reportado, deberá asumirse que la ocurrencia del evento se presentó en todos los activos involucrados, cuya responsabilidad de operación y mantenimiento sea del TN que no reportó correctamente la información.
En el proceso de validación, si el CND encuentra que la indisponibilidad de un activo dejó como activo no operativo a otros diferentes a los que conforman su grupo de activos, ingresará los reportes correspondientes sobre estos activos e informará al agente causante de la no operatividad.
Después de finalizado el proceso de validación, en el sistema de consulta que habilite el CND, los agentes podrán revisar la información validada y el listado de las inconsistencias encontradas. En caso de ser necesario, el agente podrá solicitar ajustes a la información publicada y el CND responderá a los agentes las solicitudes presentadas, de acuerdo con los procedimientos que establezca para tal fin.
La información validada por el CND y, de ser el caso, ajustada según los comentarios de los agentes, será la que deberá quedar registrada en la base de datos de reporte de eventos de que trata este capítulo.
5.4.5 Plazos
Para realizar los procedimientos descritos en el presente capítulo, se tendrán en cuenta los siguientes plazos, cada uno contado a partir de las 24:00 horas del día de operación:
Actividad | Responsable | Plazo (h) |
| Ingreso de reporte de eventos | Agente | 12 |
| Validación y publicación de listado de inconsistencias | CND | 36 |
| Solicitud de modificación de información | Agente | 60 |
| Respuesta a solicitudes de modificación | CND | 72 |
El CND precisará, en su página web, mayores plazos para el “Ingreso de reporte de eventos” de aquellos ocasionados por catástrofes naturales o por actos de terrorismo y para los que causen desatención de la demanda de energía cuya magnitud sea superior al 10% de la demanda del SIN.
5.5 Máximas horas anuales de indisponibilidad
Los siguientes grupos de activos utilizados en la actividad de transmisión no deberán superar, en una ventana móvil de doce meses, el número de máximas horas anuales de indisponibilidad, MHAI, que se definen para los grupos de activos identificados en la siguiente tabla:
Grupos de Activos | MHAI |
| Transformadores | 55 |
| Bahías de transformadores de conexión al STN | 15 |
| Equipo de compensación | 18 |
| Línea | 34 |
| Barraje | 30 |
| SVC | 35 |
| STATCOM | 75 |
| Comunicaciones | 10 |
Para los grupos de activos “transformadores”, “equipo de compensación”, “línea”, “SVC” y “STATCOM” se consideran incluidas las respectivas bahías
El máximo permitido se debe comparar con la suma de las indisponibilidades de los activos que hacen parte del grupo de activos. En subestaciones con configuración de interruptor y medio hacen parte del grupo de activos tanto el interruptor del lado del barraje como el corte central. En subestaciones con configuración en anillo hacen parte del grupo de activos los dos interruptores relacionados con el respectivo activo. Para las subestaciones con estas dos configuraciones se requiere que los activos estén siendo remunerados en la actividad de transmisión.
Para comparar la suma de las horas de indisponibilidad de los activos que conforman un grupo de activos respecto a las MHAI, no se tendrán en cuenta las horas de indisponibilidad causadas a cada uno de los activos por los demás activos que conforman su grupo de activos.
5.6 Ajuste de máximas horas de indisponibilidad
Para cada grupo de activos, las máximas horas anuales de indisponibilidad se reducirán en 0,5 horas cada vez que se presente alguna de estas situaciones: i) consignación de emergencia solicitada, ii) modificación al programa trimestral de consignaciones o mantenimientos, iii) retraso en reporte de eventos de cualquiera de los activos que conforman el grupo. El CND calculará mensualmente la meta ajustada, de acuerdo con la siguiente fórmula:

Donde:
MHAIAm,gu: Máximas horas anuales de indisponibilidad ajustadas del grupo de activos gu, calculadas para el mes m.
MHAIgu: Máximas horas anuales de indisponibilidad del grupo de activos gu.
SCEm,u: Número acumulado de solicitudes de consignaciones de emergencia, exceptuando las excluidas, para cada uno de los activos u que conforman el grupo de activos gu durante una ventana móvil de doce meses que termina en el mes m. (número entero)
CPSMm,u: Número acumulado de cambios al programa trimestral de mantenimientos, exceptuando los excluidos para cada uno de los activos u que conforman el grupo de activos gu durante una ventana móvil de doce meses que termina en el mes m. (número entero)
ENRm,u: Número acumulado de eventos o finalización de maniobras no reportados en los plazos establecidos en esta resolución, para cada uno de los activos u que conforman el grupo de activos gu durante una ventana móvil de doce meses que termina en el mes m. (número entero)
NGU: Número de activos que conforman el grupo de activos gu.
5.7 Indisponibilidad de los activos de uso del STN
La duración de las indisponibilidades de los activos del STN se medirá en horas, aproximadas al segundo decimal y se agruparán por mes calendario. Un evento cuya duración pase de un mes calendario al siguiente se deberá dividir en dos eventos: uno que finaliza a las veinticuatro (24:00) horas del último día del mes calendario y otro evento que inicia a las cero (0:00) horas del primer día del nuevo mes.
Las horas de indisponibilidad de cada uno de los activos que hacen parte de los grupos de activos establecidos en este capítulo, la calcula mensualmente el CND mediante la siguiente expresión:

Donde:
HIDm,u: Horas de Indisponibilidad del activo u, durante el mes m.
i: Identificador de la indisponibilidad.
n: Número total de indisponibilidades del activo u, durante el mes m.
Hi,u: Duración de la indisponibilidad i, para el activo u.
CAPDi,u : Capacidad disponible del activo u expresada en porcentaje de la capacidad nominal, durante la indisponibilidad i.
Para la aplicación de esta metodología, se tendrá en cuenta la historia de las indisponibilidades del activo u, presentadas con anterioridad a la entrada en vigencia de esta resolución.
Las horas programadas para el mantenimiento de un activo, incluidas en la programación semanal de mantenimientos considerada por el CND para elaborar los programas de despacho, que no sean utilizadas para dicha actividad, se contarán como horas de indisponibilidad del activo. Para las horas no utilizadas, en las que el CND no haya programado generaciones de seguridad, se tomará como indisponibilidad el 50% de ellas.
El CND llevará un registro de las horas efectivamente utilizadas en el mantenimiento de cada activo y de las horas adicionales contabilizadas como indisponibilidad de acuerdo con lo previsto en el párrafo anterior.
Un mantenimiento puede ser cancelado hasta las 08:00 horas del día anterior de la operación, para que esta información pueda ser tenida en cuenta en el despacho.
5.8 Estimación de la capacidad disponible
La capacidad disponible de un activo se estima teniendo en cuenta las siguientes condiciones para cada tipo de activo:
a. módulo de barraje: si la unidad constructiva queda parcialmente disponible se considera que la capacidad disponible es el 50% de la capacidad nominal,
b. líneas, transformadores, unidades de compensación, SVC y STATCOM: la capacidad disponible es la capacidad real disponible del activo, medida en las mismas unidades de la capacidad nominal. Para los casos de líneas con conexiones en T, la capacidad disponible de la línea equivale a la proporción que representa la longitud que queda en servicio frente a la longitud total de la línea, multiplicada por la capacidad nominal de la línea.
c. bahías de interruptor y medio: la capacidad disponible de las bahías del diámetro se determina así: i) ante la indisponibilidad de uno de los interruptores diferentes al corte central del diámetro, la capacidad disponible de la bahía respectiva es el 33% de la capacidad nominal; ii) ante la indisponibilidad del corte central, la capacidad disponible de cada una de las dos bahías asociadas al diámetro es el 67% de la capacidad nominal; iii) ante la indisponibilidad del corte central y de uno de los interruptores del diámetro, la respectiva bahía se considera completamente indisponible, iv) ante la indisponibilidad simultánea de los dos interruptores diferentes al corte central, que forman parte de un mismo diámetro, se considera que las dos bahías asociadas a ese diámetro se encuentran completamente indisponibles,
d. Para los demás activos se considera que la capacidad disponible es el 0% o el 100% de la capacidad nominal, dependiendo de si el equipo está en falla o está en funcionamiento normal.
5.9 Eventos excluidos
No se incluirán en el cálculo de las horas de indisponibilidad, HIDm,u, del activo ni de la variable CNEm,u, los eventos que hayan sido causados por alguna de las situaciones que se enumeran a continuación, siempre y cuando se cumplan las reglas que se establecen en este numeral.
a. Eventos programados por trabajos debidos a la ejecución del plan de inversiones, tal como se definen en el artículo 3 de esta resolución. Para que estos sean excluidos del cálculo se requiere que se cumplan las siguientes reglas:
i. El TN informa por escrito al CND acerca de la conexión de los nuevos activos con una anticipación mínima de 90 días calendario.
ii. Junto con la solicitud, el agente informa al CND sobre los activos requeridos para la incorporación o conexión del nuevo proyecto al SIN, coordinando con los responsables de los equipos que se requiera desconectar para que éstos soliciten las consignaciones necesarias al CND, si se requiere. Para dichas consignaciones se debe cumplir con los plazos y procedimientos previstos en la regulación vigente para la coordinación de consignaciones en el SIN, y declarar como causa la incorporación de nuevos activos al SIN, e indicando el proyecto respectivo.
iii. El tiempo máximo reconocido sin afectar la disponibilidad de los activos relacionados, diferentes a los asociados con el proyecto que se incorpora, será igual a los tiempos asociados a las maniobras de conexión del activo al SIN más el tiempo durante el cual el proyecto se encuentre en pruebas antes de su entrada en operación comercial.
b. Indisponibilidades de activos solicitadas por el CND, por razones operativas o consideraciones de calidad o confiabilidad del SIN.
c. Esquemas suplementarios de protección, siempre que para su instalación se haya dado cumplimiento a lo previsto en la regulación.
d. Indisponibilidades por demoras entre el momento en que el agente declara que tiene disponible su activo y la puesta en operación del mismo ordenada por el CND, cuando se requiera dicha orden.
e. Indisponibilidades originadas en catástrofes naturales tales como erosión (volcánica, fluvial o glacial), terremotos, maremotos, huracanes, ciclones y/o tornados y las debidas a actos de terrorismo, siempre que se cumplan las siguientes reglas:
f. Las solicitudes de consignaciones de emergencia, las modificaciones al programa trimestral de consignaciones o los incumplimientos en los tiempos de ejecución de maniobras, originados en los eventos definidos en el literal anterior.
g. Las indisponibilidades debidas a mantenimientos mayores que se hayan efectuado con sujeción al procedimiento establecido para tal fin.
h. Las indisponibilidades necesarias para enfrentar las situaciones acontecidas de riesgo de la vida humana. Para su exclusión el TN deberá elaborar un informe en el que documente y soporte esta situación.
i. La indisponibilidades originadas en exigencias de traslados y adecuaciones de la infraestructura eléctrica por parte de entidades distritales, municipales, departamentales, organismos estatales competentes en temas de infraestructura y medio ambiente, o demás autoridades, o por proyectos de desarrollo en concordancia con planes de ordenamiento territorial; siempre que se cumplan las siguientes reglas:
Las comunicaciones mencionadas en este numeral deberán presentarse dentro del plazo que para tales fines determine el CND. En todo caso, el CND deberá contar con la información en forma oportuna para que el LAC calcule las compensaciones correspondientes al mes a facturar.
Cuando los eventos de que trata este numeral ocurran en el mismo periodo horario con eventos ocasionados por indisponibilidades no excluidas y se determine que hubo ENS, se deberá seguir el procedimiento descrito para tal fin en la Resolución CREG 093 de 2012, o la que la modifique o sustituya.
5.10 Procedimiento para los mantenimientos mayores
El mantenimiento mayor de un activo es el que se realiza por una vez cada seis años y requiere un tiempo mayor a las máximas horas anuales de indisponibilidad fijadas para el grupo de activos al que pertenece ese activo.
Los mantenimientos mayores deberán ser reportados en el programa trimestral de mantenimientos y ajustarse a los procedimientos aquí establecidos.
El tiempo máximo permitido para el mantenimiento mayor de un activo es de 96 horas cada 6 años y este periodo se cuenta a partir del 1 de enero de 2012. Se exceptúan los activos asociados a UC tipo encapsuladas cuyo mantenimiento mayor contará con un tiempo máximo reconocido de 288 horas que podrán utilizarse una vez cada 18 años o fraccionarse y utilizarse una vez cada 6 años, contados a partir del 1 de enero de 2012. La cantidad de horas que sobrepase las definidas para el mantenimiento mayor no se considerará indisponibilidad excluida.
El número permitido de horas se puede distribuir a solicitud del TN. La distribución debe hacerse de tal forma que, desde el día de inicio hasta el último día del mantenimiento, no se sobrepase un total de 30 días calendario. La duración mínima de indisponibilidad solicitada por esta causa debe ser de 32 horas.
Para cada día de trabajo, la duración mínima de cada indisponibilidad solicitada deberá ser de ocho horas de trabajo; tratándose del último día de los programados para el mantenimiento mayor, esta duración puede ser menor. Sin embargo, si por las condiciones de seguridad del SIN se requiere la disminución de este número de horas para un día determinado, el CND lo podrá solicitar al operador del activo, ante lo cual este último evaluará y tomará la decisión de disminuir la duración o mantener la inicialmente programada. Lo anterior sin perjuicio de la responsabilidad del operador del activo por la gestión del mantenimiento mayor.
Para el caso de un banco de transformadores, el tiempo máximo permitido por mantenimiento mayor puede dividirse de tal forma que el mantenimiento de cada unidad se pueda programar en fechas diferentes. En este caso, sólo una de las tres indisponibilidades solicitadas podrá ser inferior a 32 horas, y cada una de las tres puede ser inferior a las máximas horas anuales de indisponibilidad establecidas para el grupo de activos denominado “transformadores”.
Sin perjuicio de lo anterior, un mantenimiento mayor podrá suspenderse por orden del CND si encuentra que las condiciones de seguridad del SIN lo requieren o por orden de una autoridad competente.
5.11 Activos que entran en operación comercial
A partir de la fecha de entrada en operación comercial de activos del STN y hasta que se inicie su remuneración al respectivo agente a través de cargos por uso, este agente será el responsable por la ocurrencia de eventos en estos activos que ocasionen ENS.
En consecuencia, a partir de la fecha de entrada en operación comercial de los activos se deberán reportar los eventos en la forma dispuesta en la presente resolución. Cuando se presente ENS, se estimará su magnitud en la forma descrita en la Resolución CREG 093 de 2012, o aquella que la modifique o sustituya, y se aplicará la respectiva compensación.
El LAC incluirá esta compensación dentro del cálculo de la variable CNEm,u, descrita en el numeral 5.14.2, a aplicarse para el mes m siguiente al mes de publicación del informe de ENS.
En todo caso, cuando los activos estén incluidos en la remuneración del STN a través de cargos por uso, el agente que recibe la remuneración será responsable por el cumplimiento de todos los indicadores de calidad establecidos en este capítulo. Para el cálculo de las horas de indisponibilidad del activo, sólo se tendrán en cuenta las reportadas desde el primer mes de remuneración.
5.12 Valor de referencia para compensación
Para calcular el valor de las compensaciones, en caso de requerirse, se utilizará la siguiente referencia:

VHRCm,u,j: Valor horario de referencia para el cálculo de la compensación del activo u, del TN j, durante el mes m.
r: Tasa de retorno para la actividad de transmisión.
CRu: Costo establecido para el activo u, de acuerdo con las unidades constructivas utilizadas para la valoración de activos de la BRA inicial.
PUu,j: Porcentaje de uso del activo u que se reconoce al TN j.
IPPm-1: Índice de precios del productor total nacional correspondiente al mes m-1.
IPPFC: Índice de precios del productor total nacional correspondiente a la fecha de corte.
5.13 Remuneración en algunos casos de indisponibilidad
Para los casos de indisponibilidades originadas en catástrofes naturales tales como erosión (volcánica, fluvial o glacial), terremotos, maremotos, huracanes, ciclones y/o tornados y las debidas a actos de terrorismo, la remuneración del activo u en el mes m, para cada mes mi que este se encuentre indisponible será:

IMRTm,u: Ingreso mensual temporal para el activo u, en el mes m, mientras el activo u esté indisponible por las causas citadas en este numeral.
mi: Número de meses calendario completos transcurridos a partir de la ocurrencia del evento, incluido el mes m, durante los cuales el activo u ha estado indisponible.
VHRCm,u,j: Valor horario de referencia para el cálculo de la compensación del activo u, del TN j, durante el mes m.
5.14 Compensaciones
5.14.1 Compensaciones por incumplimiento de las metas
Las compensaciones que deberán ser asumidas por el TN o los TN responsables de los activos que conforman los grupos de activos con horas de indisponibilidad acumuladas, HIDA, que superen las máximas horas anuales de indisponibilidad ajustadas, MHAIA, se calcularán con base en la información obtenida por el CND y conforme a las siguientes fórmulas:
Si para el grupo de activos gu en el mes m se obtiene que HIDAm,gu ≤ MHAIAm,gu entonces las horas a compensar, HCm,gu, serán iguales a cero.
Por el contrario, si para el grupo de activos gu en el mes m se obtiene que HIDAm,gu > MHAIAm,gu entonces las horas a compensar se calcularán como se muestra a continuación:

La compensación para cada activo u por incumplimiento de los máximos permitidos de indisponibilidad se calculará con:
Donde:
HIDAm,gu: Horas de indisponibilidad acumulada del grupo de activos gu, en un periodo de doce meses que termina en el mes m.
HIDm,u: Horas de indisponibilidad de cada uno de los activos u que conforman el grupo de activos gu, durante el mes m.
ma: Mes o meses anteriores al mes m.
NGU: Número de activos que conforman el grupo de activos gu.
HCm,gu: Horas a compensar por el grupo de activos gu al cual pertenece el activo u, para el mes m.
MHAIAm,gu: Meta de indisponibilidad anual ajustada del grupo de activos gu, calculada para el mes m.
THCm-1,gu: Total de horas compensadas por el grupo de activos gu, en un periodo de once meses que termina en el mes m-1.
CIMm,u: Compensación por incumplimiento de metas, para cada uno de los activos u que conforman el grupo de activos gu, en el mes m.
VHRCm,u,j: Valor horario de referencia para el cálculo de la compensación del activo u, del TN j, durante el mes m.
Las compensaciones se calculan para los activos enunciados en el numeral 5.2.
5.14.2 Compensaciones por dejar no operativos otros activos o por energía no suministrada
El evento en un activo puede generar energía no suministrada, ENS, o puede dejar otros no operativos, diferentes a los que conforman su grupo de acuerdo con lo previsto en el numeral 5.4.2, cuando, a pesar de estar disponibles, dichos activos no puedan operar debido a la indisponibilidad del primero.
La compensación CNE del activo u, para cada mes m, que deberá ser asumida por el TN responsable de la operación y mantenimiento de los activos cuya indisponibilidad ocasione que otros activos queden no operativos o que se presente ENS se calcula con:

Donde:
CNEm,u: Compensación del activo u, en el mes m, por energía no suministrada y/o por dejar no operativos otros activos.
CNEi,m,u: Compensación del activo u, por la indisponibilidad i, en el mes m, por energía no suministrada o por dejar no operativos otros activos.
Para determinar el valor de la compensación CNEi,m,u se utilizará una de las siguientes tres condiciones:
a. Si para el grupo de activos gu al que pertenece el activo u, en el mes m, las horas de indisponibilidad acumulada son menores o iguales que las máximas horas anuales de indisponibilidad ajustadas (HIDAm,gu ≤ MHAIAm,gu) y el porcentaje de energía no suministrada, PENSj,h, es inferior al porcentaje definido en el numeral 3.4 de la Resolución CREG 093 de 2012, el valor de la compensación CNE para la indisponibilidad i, es igual a cero.
b. Si para el grupo de activos gu al que pertenece el activo u, en el mes m, las horas de indisponibilidad acumulada son mayores que las máximas horas anuales de indisponibilidad ajustadas (HIDAm,gu > MHAIAm,gu) y el porcentaje de energía no suministrada, PENSj,h, es inferior al porcentaje definido en el numeral 3.4 de la Resolución CREG 093 de 2012, el valor de la compensación CNE se obtiene de la siguiente forma:

c. Si durante la indisponibilidad i, del activo u, para alguna de las horas de duración de la indisponibilidad el porcentaje de energía no suministrada, PENSj,h, es mayor que el porcentaje definido en el numeral 3.4 de la Resolución CREG 093 de 2012, el valor de la compensación CNE se obtiene de la siguiente forma:
Donde:
PENSj,h: Porcentaje de la energía no suministrada, calculado de acuerdo con lo previsto en el numeral 3.4 de la Resolución CREG 093 de 2012.
VHRCm,r,j: Valor horario de referencia del activo r que quedó no operativo por la indisponibilidad del activo u del TN j, durante el mes m, calculado con base en lo establecido en el numeral 5.12.
Hi,r: Número de horas de no operatividad del activo r causadas por la indisponibilidad i del activo u.
ENSi: Valor de la energía no suministrada de la indisponibilidad i, corresponde a la variable ENSh calculada de acuerdo con lo previsto en el numeral 3.4 de la Resolución CREG 093 de 2012.
CRO: Costo incremental operativo de racionamiento de energía definido y calculado por la UPME, correspondiente al escalón donde se encuentre el porcentaje de ENS, PENSj,h, que rija para el mes m en el que se aplique la variable CNEm,u.
El CND calculará la ENS de cada uno de los eventos que se presentan en los activos del STN y lo informará al LAC para que este calcule el valor de la CNE correspondiente y la incluya en la liquidación de cargos del mes siguiente al de recibo de esta información. El cálculo de la ENS será hecho con base en las disposiciones que para tal fin se encuentran contenidas en la Resolución CREG 093 de 2012, o la que la modifique o sustituya.
Si por la ocurrencia de un evento el valor del PENSj,h supera el porcentaje definido en el numeral 3.4 de la Resolución CREG 093 de 2012, pero no se presenta demanda no atendida, el TN podrá informarlo al LAC y en este caso el valor de ENS que deberá utilizarse para el cálculo de la compensación será igual a cero. El LAC definirá la forma en que el TN le reportará que no se presentó demanda no atendida y el plazo para este reporte será de quince días calendario contados a partir de la fecha de ocurrencia del evento.
La Superintendencia de Servicios Públicos Domiciliarios, en el desarrollo de sus funciones, podrá verificar la información entregada por el TN al LAC, para lo cual el TN deberá mantener disponible la información y soportes con los cuales concluyó que no se presentó demanda no atendida por la ocurrencia del evento.
5.14.3 Valor total a compensar
El LAC calculará mensualmente el valor total de compensaciones que se descontará del ingreso mensual de cada TN j, tal como se muestra a continuación:


Donde:
VMCj,m : Valor mensual a compensar por el TN j, en el mes m, por incumplimiento de lo establecido en este capítulo.
CIMm,u : Compensación por incumplimiento de metas, del activo u, en el mes m.
PUj,u: Fracción del activo u que es remunerada vía cargos por uso al TN j.
VHRCm,u,j: Valor horario de referencia para el cálculo de la compensación del activo u, del TN j, durante el mes m.
IMRTm,u: Ingreso Mensual Temporal para el activo u, en el mes m, mientras el activo u esté indisponible por las causas citadas en el numeral 5.13.
CNEm,u: Compensación del activo u, en el mes m, por energía no suministrada o por dejar no operativos otros activos.
VMCPm-1: Valor de las compensaciones que quedó pendiente por descontar en el mes m-1.
aj: Número de activos del TN j., que se encuentra en cada una de las situaciones descritas.
5.15 Informe sobre ENS
Cuando la variable PENSj,h, supere el porcentaje definido en el numeral 3.4 de la Resolución CREG 093 de 2012 el CND deberá publicar en su página web y enviar a la Superintendencia de Servicios Públicos Domiciliarios, SSPD, un informe donde se haga el análisis detallado del evento ocurrido y contenga como mínimo lo siguiente:
a. número y descripción de eventos registrados y los activos causantes de los eventos,
b. valores y memoria de cálculo de todas las variables descritas en este capítulo,
c. curva de potencia activa en el SIN, para el periodo horario del evento, los 12 periodos anteriores y los 12 siguientes a la ocurrencia del mismo, y
d. el informe final del evento previsto en los acuerdos del CNO.
El informe será elaborado por el CND, teniendo en cuenta los plazos establecidos en los acuerdos del CNO para la presentación de los informes de análisis del evento, y suministrado como herramienta de análisis a la SSPD para lo de su competencia.
5.16 Zona excluida de CNE
Una zona excluida de CNE es la zona del STN que, en condiciones normales de operación, es alimentada sólo por un circuito o sólo por un transformador, de los que conforman el STN. También podrán ser zonas excluidas de CNE, de manera temporal, aquellas zonas que se alimenten sólo por un circuito o sólo por un transformador, de los que conforman el STN, cuando los demás activos que alimentan la zona se encuentren indisponibles por los eventos excluidos de que trata el numeral 5.9. La zona dejará de ser zona excluida de CNE en el momento en que otro activo del STN alimente dicha zona.
Las zonas del STN que cumplan con las condiciones establecidas en este numeral se denominarán zonas excluidas de CNE y para ellas no habrá lugar al cálculo de compensaciones por dejar no operativos otros activos o por ENS, ante eventos ocasionados por los activos que las conforman.
5.16.1 Lista de zonas excluidas de CNE
Para que una zona sea considerada como zona excluida de CNE, el CND verificará que cumple con la definición y los requisitos previstos en el siguiente numeral. El CND deberá publicar en su página web la lista de zonas excluidas de CNE y el conjunto de activos del STN que hacen parte de cada una de ellas. Si varios TN identifican activos que dependen eléctricamente de un mismo activo, el CND los agrupará y conformará una sola zona excluida de CNE.
El CND actualizará la lista cuando se identifique una nueva zona excluida de CNE que cumpla con los requisitos. También actualizará la lista cuando elimine una zona excluida de CNE por la entrada en operación comercial de un proyecto que cambia alguna condición que sirvió para que la zona excluida de CNE fuera identificada previamente como tal.
La lista actualizada de zonas excluidas de CNE será tenida en cuenta por el LAC en la estimación de las compensaciones, a partir del primer día calendario del mes siguiente a cuando el CND la haya publicado en su página de Internet.
Para el caso de las zonas excluidas de CNE de manera temporal, el CND determinará un listado de aquellas zonas que en el mes anterior se ajustaron a la condición que para tal fin se establece en el numeral 5.16, de acuerdo con la información de eventos registrada en sus bases de datos. Este listado se publicará mensualmente en la página web del CND y será tenido en cuenta por el LAC en la estimación de las compensaciones, a partir de la fecha de su publicación.
5.16.2 Procedimiento para establecer zonas excluidas de CNE
El TN identificará la zona excluida de CNE de acuerdo con lo señalado en el numeral 5.16 y, para que sea considerada como tal, deberá cumplir con lo siguiente:
a. enviar al CND y a la UPME el diagrama unifilar de la zona excluida de CNE,
b. identificar e informar al LAC los activos del STN que hacen parte de la zona excluida de CNE.
Las zonas excluidas de CNE que hayan sido identificadas con anterioridad a la entrada en vigencia de esta resolución no requerirán cumplir de nuevo estos requisitos y se mantendrán en el listado hasta que otro activo del STN alimente dicha zona.
5.17 Límite de los valores a compensar
El LAC deberá tener en cuenta que el valor total a descontar en el mes m, al TN j, por concepto de compensaciones no podrá superar el 60% de la suma de los ingresos antes de compensaciones. Si el valor a descontar fuere mayor a dicho porcentaje, el saldo pendiente se deducirá durante los siguientes meses verificando que no se supere el tope del 60%.
Además, la suma del valor de las compensaciones para cada TN j, en un año calendario, estarán limitadas a un valor equivalente al 30% del ingreso del TN en ese año, estimado actualizando la variable IATj,t, definida en el capítulo 2, con el IPP de diciembre del año anterior.
Con el objeto de verificar este límite, el LAC calculará mensualmente para cada TN la siguiente variable:

Donde:
AVMCj,m: Valor acumulado de las compensaciones durante los meses transcurridos del año calendario hasta el mes m.
VMCj,i : Valor mensual a compensar por el TN j, en el mes i, por incumplimiento de lo establecido en este capítulo.
Si para un mes m se obtiene que el valor acumulado supera el 30% del ingreso del TN para ese año, el LAC liquidará al TN j, para ese mes, un valor
tal que el AVMCj,m no supere el 30% del ingreso anual y, de acuerdo con lo dispuesto en el artículo 59 de la Ley 142 de 1994, la Superintendencia de Servicios Públicos Domiciliarios lo podrá considerar como causal de toma de posesión por no prestar el servicio con la calidad debida.
CAPÍTULO 6. PLANES DE INVERSIÓN
Los transmisores nacionales deben presentar el plan de inversión para el periodo tarifario considerando los siguientes tipos de proyectos:
a. Tipo I: proyectos de inversión motivados en la atención de demanda que ocasionan el remplazo de activos existentes para obtener una mayor capacidad del sistema.
b. Tipo II: proyectos de inversión motivados en la atención de demanda que ocasionan la instalación de nuevos activos sin reemplazo de activos de existentes.
c. Tipo III: proyectos de inversión no motivados en la atención de demanda que remplazan activos existentes sin obtener una mayor capacidad del sistema.
d. Tipo IV: proyectos de inversión no motivados en la atención de demanda que ocasionan la instalación de nuevos activos.
El TN debe asignar cada uno de los proyectos de inversión a los tipos señalados anteriormente, teniendo en cuenta que para algunos de ellos en la regulación hay establecidos mecanismos para su ejecución y remuneración.
6.1 Criterios de generales
Los criterios generales que el TN debe aplicar para la formulación y presentación del plan de inversión son los siguientes:
a. La identificación, evaluación de alternativas, valoración, priorización y ejecución de los proyectos de inversión es responsabilidad del TN.
b. En el plan de inversión se debe analizar, cuantificar y valorar las necesidades de los usuarios y del mercado de comercialización atendido por el TN. Así como las diferentes alternativas consideradas para la solución de las necesidades identificadas.
c. El horizonte de planeación del plan de inversión es de largo plazo (diez años) y los proyectos de inversión incluidos en la solicitud de remuneración deben corresponder a aquellos en un horizonte de ejecución de mediano plazo (cinco años).
d. Todos los proyectos incluidos en el plan deben permitir el cumplimiento de las metas propuestas por los TN en los horizontes de planeación señalados.
e. Las metas definidas por los TN para la expansión, reposición y calidad del servicio deben ser alcanzables en el horizonte de tiempo del plan y deben corresponder con la situación actual y futura del STN.
f. Los planes deben ser flexibles y adaptables a la evolución del mercado, además deben considerar los riesgos potenciales y las acciones para mitigarlos.
g. El plan de inversión debe identificar y valorar los beneficios esperados y los costos asociados.
h. Los proyectos deben contar con una relación beneficio / costo superior a uno, con base en los criterios y metodología definidos por el TN para la evaluación de sus proyectos.
i. El plan de inversión debe ser económicamente eficiente y conducir a garantizar la prestación del servicio al menor costo económico en el mediano y largo plazo.
j. El TN debe cumplir los requisitos para los planes de expansión establecidos en la Resolución CREG 025 de 1995 o aquella que la adicione, modifique o sustituya.
k. El plan debe ser viable ambientalmente y considerar el impacto por la aplicación de la Ley 1715 de 2014.
l. Las inversiones deben incluir únicamente activos de uso.
m. El plan de inversiones no debe incluir activos empleados exclusivamente para la prestación del servicio de alumbrado público.
n. El TN podrá incluir en el plan de inversión unidades constructivas especiales para lo cual debe dar aplicación a lo señalado en el capítulo 7.
o. El plan debe identificar, cuantificar y excluir de la valoración los proyectos, bienes o derechos que no deban incluirse en el cálculo de las tarifas en los términos del artículo 87 numeral 87.9 de la Ley 142 de 1994, en los términos que haya sido modificado por el artículo 99 de la Ley 1450 de 2011 o por aquella que lo modifique, adicione o sustituya.
p. El TN debe incluir en el plan de inversión los activos necesarios para la implementación y certificación de un sistema de gestión de activos acorde con la norma ISO 55001 en un plazo de cinco (5) años contados a partir de la entrada en vigencia de la presente resolución.
6.2 Presentación de los planes de inversión
En la solicitud de aprobación de cargos para el siguiente periodo tarifario las empresas pueden optar por uno de los siguientes mecanismos:
a. Presentación de un plan de inversiones, con un horizonte de cinco (5) años, con la solicitud de aprobación de cargos enviada a la Comisión.
b. Presentación de un plan de inversiones, con un horizonte de cuatro (4) años, dentro de los 6 a 9 meses siguientes a la expedición de esta resolución.
El TN en su solicitud de cargos debe indicar a que mecanismo se acoge.
6.3 Contenido de los planes de inversión
Los TN deben presentar un plan de inversiones para el periodo tarifario indicando para cada año los proyectos de inversión que se acometerán. Los proyectos deben agruparse en los tipos de inversión indicados en este capítulo.
El costo total de cada tipo de inversión debe ser expresado como un porcentaje de la base regulatoria de activos inicial.
El plan debe incluir como mínimo la información y los análisis solicitados en los numerales 6.3.1, 6.3.2 y 6.3.3.
El TN debe presentar un cronograma general de las inversiones a realizar y su ubicación geográfica.
En circular aparte la Comisión publicará la guía con los requisitos detallados y los formatos para la presentación del plan.
6.3.1 Diagnóstico
El diagnóstico del STN debe incluir como mínimo los siguientes aspectos:
a. Estadísticas descriptivas.
b. Evolución de la demanda.
c. Cargabilidad de los elementos del sistema.
d. Capacidad de corto circuito.
e. Posibilidades de ampliación y reconfiguración de subestaciones.
f. Perfil de antigüedad de los activos.
g. Nivel de obsolescencia de los equipos.
h. Nivel de calidad del servicio.
i. Sistemas de información y control.
6.3.2 Proyectos de inversión motivados en la atención de demanda
Los criterios y lineamientos que deben cumplir los TN para la definición, identificación de alternativas y priorización de las inversiones Tipo I y II incluidas en el plan de inversión son los siguientes:
a. Los proyectos de inversión deben estar acordes con los requerimientos de política pública y el Plan de Referencia de Generación – Transmisión.
b. Se deben asociar a los proyectos de inversión del plan a los escenarios de crecimiento de la demanda e identificar cuales proyectos pueden ser pospuestos o adelantados si las proyecciones de demanda son reajustadas.
c. Las inversiones incluidas en el plan deben responder a las necesidades de crecimiento de la demanda como principal criterio de identificación y priorización y ser coherente con las proyecciones de demanda y potencia de la UPME para el horizonte de análisis.
d. La identificación particular de las alternativas de inversión se debe realizar a partir de modelos de ingeniera de los STN y análisis técnico – económicos.
e. Los proyectos incluidos en el plan de inversión deben corresponder a aquellos identificados en el Plan de Expansión de Referencia Generación – Transmisión más reciente y para los cuales la UPME recomiende su ejecución. Adicionalmente, si se trata de una ampliación el TN debe haber manifestado su intención de realizarlos de acuerdo con lo señalado en la Resolución CREG 022 de 2001 o sus modificaciones.
f. El TN debe considerar la probabilidad de atrasos en la ejecución de los proyectos por factores externos.
g. El TN debe presentar un resumen de la metodología empleada para la determinación de las inversiones, el cual debe incluir: la metodología, requerimientos de información, información utilizada, supuestos, criterios de identificación de alternativas y principales variables empleadas.
6.3.3 Proyectos de inversión no motivados en la atención de demanda
Los criterios y lineamientos que debe cumplir el TN para la definición, identificación de alternativas y priorización de las inversiones incluidas en el plan de inversión son los siguientes.
6.3.3.1 Inversiones Tipo III
El TN debe presentar los proyectos en reposición de activos dentro del plan de inversión de acuerdo con los siguientes lineamientos:
a. Los proyectos deben estar orientados a la reposición eficiente de activos con el objetivo de asegurar la confiabilidad y seguridad en la prestación del servicio.
b. En el plan se deben identificar los activos que por su estado, nivel de riesgo y antigüedad requieren ser reemplazados durante el periodo tarifario.
c. El TN debe clasificar los activos de las subestaciones en activos que requieran ser reemplazados en un periodo menor a dos años, entre dos y cuatro años y más de cuatro años.
d. En el caso de las activos de líneas el TN debe clasificar los circuitos que requieren reposición en conductores, apoyos o elementos en un periodo menor a dos años, entre dos y cuatro años y más de cuatro años.
e. En el caso de elementos de control del sistema el TN debe presentar un plan de reposición de acuerdo con el estado tecnológico de sus equipos.
f. Las empresas deben priorizar los proyectos de reposición de activos considerando la antigüedad de los activos, la carga asociada al activo o conjunto de activos, la vulnerabilidad del sistema ante fallas de los activos, los ahorros en costos de operación y mantenimiento, entre otros.
g. El TN debe realizar un análisis de riesgos para los activos agrupados en las categorías definidas en el numeral 7.5. Adicionalmente, el TN debe establecer el perfil de antigüedad de los activos en las mismas categorías.
h. Como resultado de este análisis de priorización se deben obtener los proyectos con mayor impacto y beneficio para la prestación del servicio de acuerdo con los objetivos definidos por el TN.
i. El TN debe considerar la probabilidad de atrasos en la ejecución de los proyectos por factores externos.
j. Se deben presentar análisis de beneficios asociados con la reposición, los beneficios pueden estar asociados con mejoras en la operación, mayor confiabilidad, disminución de interrupciones, reducción de riesgos de falla, etc. Los beneficios pueden obtenerse de la aplicación de análisis de riesgos.
6.3.3.2 Inversiones Tipo IV
El TN debe presentar dentro del plan de inversión los proyectos para el mejoramiento en la calidad del servicio, renovación tecnológica de los activos de uso del sistema y otras áreas que identifique acuerdo con los siguientes criterios y lineamientos:
a. Los proyectos de inversión deben estar orientados al mejoramiento en la calidad del servicio a partir de inversiones eficientes en activos que permitan asegurar la continuidad y confiabilidad en la prestación del servicio.
b. Los TN deben presentar los proyectos de inversión para mejorar la calidad del servicio, estos planes deben contener las inversiones requeridas y las metas de mejoramiento de la calidad, medida con base en los indicadores definidos.
c. Los TN deben incluir las metas anuales de calidad según las inversiones incluidas en los planes de mejoramiento.
6.3.3.3 Valoración del plan de inversiones
El valor total del plan de inversión solicitado por el TN se calcula de la siguiente forma:

Donde:
INVPj,t: Valor total del plan de inversión solicitado por el TN j para el año t.
INVTj,TI,k,t: Valor de la inversión del plan del TN j, en el tipo de inversión TI, en la categoría de activos k para el año t. Corresponde al valor de los activos valorados con las UC definidas en el capítulo 7.
K: Cantidad de categorías de activos.
El valor de la variable INVTj,TI,k,t se calcula de la siguiente forma:

INVTj,TI,k,t: Valor de la inversión del plan del TN j, en el tipo de inversión TI, en la categoría de activos k para el año t. Corresponde al valor de los activos valorados con las UC definidas en el capítulo 7.
UCPj,TI,k,t: UC incluidas en el plan de inversiones solicitado por el TN j, en el tipo de inversión TI, en la categoría de activos k para el año t. No se incluyen las UC que fueron trasladadas y siguen en operación.
CRi: Valor de la UC i, definido en el capítulo 7.
PUi: Fracción del costo de la UC i que es reconocida mediante cargos por uso.
RPPi: Fracción que no se debe incluir en el cálculo de la tarifa de acuerdo con lo dispuesto en el numeral 87.9 de la Ley 142 de 1994, modificado por el artículo 99 de la Ley 1450 de 2011.
TI: Tipo de inversión, como se define en este capítulo, toma los valores de 1, 2, 3 y 4.
6.3.3.4 Sistema de gestión de activos
El TN debe incluir en el plan de inversión los activos necesarios para la implementación y certificación de un sistema de gestión de activos acorde con la norma ISO 55001 en un plazo de cinco años contados a partir de la entrada en vigencia de la presente resolución.
En la implementación del sistema de gestión de activos, el TN debe durante el primer año, realizar un diagnóstico de las brechas frente al cumplimiento de la norma y el plan de trabajo para los próximos 4 años para obtener la certificación.
Anualmente, el TN debe informar el avance en el cierre de brechas y cuáles son las inversiones que se identificaron y se han realizado en la implementación del sistema.
6.4 Aprobación de los planes de inversión
Para la aprobación de los planes de inversión se realizarán como mínimo los siguientes pasos:
a. Revisión de la información suministrada por los TN en los formatos establecidos por la Comisión. Esta información deberá demostrar el cumplimento de los criterios y lineamientos establecidos en el numeral 6.3.
b. Revisión del costo total del plan de inversión y su comparación con el valor máximo permitido. El valor total de las inversiones anuales incluidas en el plan de inversión, INVPj,t, no podrán superar el cuatro por ciento (4%) de la BRA inicial.
c. El TN deberá realizar una presentación a la Comisión del plan de inversiones y la justificación y razonabilidad del mismo, en caso que esta lo considere necesario.
d. La Comisión podrá contratar firmas especializadas para dar concepto sobre los razonabilidad de los planes de inversión presentados.
e. Los demás necesarios para dar cumplimiento a lo establecido en esta resolución.
El plan de inversión presentado por el TN no será aprobado cuando no se suministre toda la información necesaria para demostrar el cumplimiento de los requisitos, criterios y lineamientos definidos por la Comisión. Tampoco será aprobado cuando se supere el límite indicado en el literal b de este numeral.
Cuando el plan de inversiones no sea aprobado, la Comisión solicitará al TN la revisión del mismo y el TN debe presentar su plan ajustado en los términos establecidos en el literal b del numeral 6.2.
En el caso que el plan de inversiones no sea aprobado, la variable BRAENj,t se calculará de acuerdo con lo establecido en el numeral 2.1.1.1.5.2 para el primer año del periodo tarifario.
6.5 Seguimiento de los planes de inversión
El seguimiento de la ejecución del plan de inversión se realizará considerando como mínimo los siguientes lineamientos:
a. Anualmente el TN deberá presentar un informe sobre la ejecución del plan de inversión en el cual se presente el avance de cada uno de los proyectos y los ajustes menores realizados. El formato y contenido mínimo del informe serán definidos por la Comisión en circular aparte.
b. Los ajustes menores a los proyectos incluidos en el plan de inversión aprobado deben responder a la planeación de corto plazo adelantada por la empresa de acuerdo con lo establecido en la Resolución CREG 025 de 1995 o aquella que la modifique, complemente o sustituya. En todo caso el valor total de los proyectos de inversión puestos en operación no debe superar el 4% anual de la BRA inicial.
c. El informe debe ser enviado a la Comisión y a la SSPD, antes del último día hábil del mes de marzo de cada año. El informe también debe ser publicado en la página web del TN.
d. De igual forma, anualmente se verificarán los indicadores de ejecución de los planes de inversión con base en la información presentada por los TN al SUI y a la CREG.
e. Cada dos años los TN deberán contratar la ejecución de una verificación de la ejecución del plan de inversión. Las verificaciones emplearán los reportes anuales y visitas en campo para corroborar la ejecución de los proyectos reportados e incluidos en el plan de inversión.
f. Las firmas serán seleccionadas de una lista que la Comisión establezca para tal fin y contratadas por el TN empleando un mecanismo de libre concurrencia. Las reglas para la realización de la verificación serán establecidas en resolución posterior.
g. El costo de las verificaciones se reconocerá en los gastos de administración, operación y mantenimiento de los TN.
h. Cuando de las verificaciones se concluya que los proyectos de inversión no se han ejecutado de acuerdo con lo reportado, lo cargos se ajustarán independientemente de las acciones que adelante la SSPD dentro de sus competencias.
i. La Comisión podrá solicitar la realización de verificaciones extraordinarias o contratar las que considere necesarias.
El TN debe presentar el valor de las inversiones puestas en operación clasificado en los tipos de activos de la siguiente manera:
El valor de la variable INVTRj,TI,k,t se calcula de la siguiente forma:

INVTRj,TI,k,t: Valor de la inversión puesta en operación en el sistema del TN j, en el tipo de inversión TI, en la categoría de activos k para el año t. Corresponde al valor de los activos valorados con las UC definidas en el capítulo 7.
UCPj,TI,k,t: UC puestas en operación en el sistema del TN j, en el tipo de inversión TI, en la categoría de activos k para el año t. No se incluyen las UC que fueron trasladadas y siguen en operación.
CRi: Valor de la UC i, definido en el capítulo 7.
PUi: Fracción del costo de la UC i que es reconocida mediante cargos por uso.
RPPi: Fracción que no se debe incluir en el cálculo de la tarifa de acuerdo con lo dispuesto en el numeral 87.9 de la Ley 142 de 1994, modificado por el artículo 99 de la Ley 1450 de 2011.
TI: Tipo de inversión, como se define en este capítulo, toma los valores de 1, 2, 3 y 4.
6.6 Ajuste de los planes de inversión
Los planes de inversión pueden ser ajustados máximo dos veces durante el periodo tarifario. Los lineamientos para la realización de los ajustes al plan de inversión son los siguientes:
a. La solicitud para ajuste del plan deberá presentarse a la CREG a más tardar cuatro meses antes que finalice el segundo y el cuarto año de aplicación del plan.
b. La empresa podrá solicitar el ajuste del plan de inversión siempre y cuando la modificación no conduzca a superar el 4% del valor de la BRA inicial.
c. Para la revisión de la solicitud de modificación del plan de inversiones la Comisión seguirá los pasos establecidos en el numeral 6.4.
6.7 Publicidad y difusión de los planes de inversión
El TN debe adelantar una estrategia de comunicación para difundir entre los usuarios el plan de inversión, la metas de expansión, reposición y calidad. La estrategia como mínimo deberá incluir:
a. Elaboración de un informe anual, en lenguaje sencillo, con las metas, inversiones e indicadores de ejecución del plan de inversión para los usuarios. El informe deberá ser publicado en la página web del TN antes del último día hábil del mes de marzo de cada año.
b. Desarrollo y mantenimiento de un sitio web con la información asociada a la ejecución del plan de inversión.
c. Publicación anual en un diario de amplia circulación de un resumen con las metas propuestas y el avance en la ejecución de los proyectos de inversión.
La Comisión, en circular aparte, establecerá el contenido mínimo del informe anual a los usuarios, así como la información que debe ser publicada en el sitio web y la publicación en el diario.
CAPÍTULO 7. UNIDADES CONSTRUCTIVAS
En este capítulo se definen las unidades constructivas, UC, del STN a utilizar en el cálculo de la remuneración de la actividad de transmisión y las áreas típicas asociadas a las UC de subestaciones. Las UC definidas para el nivel de tensión de 230 kV aplican igualmente para el nivel de tensión de 220 kV. Los valores de las UC están en miles de pesos de diciembre de 2012.
Las UC contienen los equipos y accesorios necesarios para la prestación del servicio con los niveles de calidad exigidos por la CREG, cumpliendo con la normativa vigente en materia de seguridad.
Los costos ambientales y de servidumbres serán reportados y reconocidos anualmente según su ejecución.
Cuando existan activos con características técnicas distintas a las de las UC establecidas, los TN podrán solicitar a la Comisión la creación de UC especiales. La solicitud debe estar acompañada de las consideraciones técnicas que justifican la creación de la UC especial, el costo detallado de cada equipo que la compone y los costos de instalación asociados. Para adquisiciones directas se debe adjuntar tres cotizaciones de suministro e instalación de los equipos que la conforman y para adquisiciones a través de concursos abiertos o licitaciones se deben enviar los documentos que acreditan su realización incluyendo los pliegos de solicitudes, términos de referencia, etc.
7.1 UC asociadas a subestaciones
a. Para las UC de transformadores de potencia se define un componente de costo fijo de instalación y un componente de costo variable por MVA. El TN debe reportar el tipo de transformador con su capacidad asociada en MVA.
b. El módulo común es el conjunto de equipos y obras comunes que sirven a la subestación y está compuesto por servicios auxiliares, malla de puesta a tierra y obras civiles no asociadas a una UC en particular.
c. Los elementos de protección de barras, sistemas de control y comunicaciones se reconocen como UC de centros de control.
d. El edificio de control se reconoce como una UC denominada casa de control.
e. La UC de módulo común se define por bahía y, por tanto, para calcular el valor del módulo común primero se debe ubicar el tipo de módulo común al que pertenece una subestación y, luego, multiplicar el número de bahías existentes en la subestación por el valor de la UC correspondiente.
f. Para 500 kV se definen dos tipos de UC de módulos comunes dependiendo del número de bahías, así: tipo 1 para S/E de 1 a 6 bahías y tipo 2 para S/E de más de 6 bahías.
g. Para 230 kV se definen cuatro tipos de UC de módulos comunes, así: tipo 1 para S/E de 1 a 4 bahías, tipo 2 para S/E de 5 a 8 bahías, tipo 3 para S/E de de 9 a 12 bahías, y tipo 4 para S/E de más de 12 bahías.
h. Las UC de módulo de barraje se asocian con el número de bahías cada nivel de tensión existente en la subestación, 500 kV o 230 kV así: tipo 1 para S/E de 1 a 4 bahías; tipo 2 para S/E de 5 a 8 bahías; tipo 3 para S/E de 9 a 12 bahías y tipo 4 para S/E con más de 12 bahías.
i. El costo de la casa de control de la subestación se define en función del área resultante de la cantidad de bahías existentes en la subestación más las áreas generales de acuerdo con las áreas reconocidas conforme a la siguiente expresión:
Donde:
CECs: Costo del edificio de control de la subestación s.
AGs: Área general de la subestación s .
ABh: Área reconocida para cualquier bahía de transformador o de línea.
Bhs: Número de bahías de transformador y de línea existentes en la subestación s
CC: Costo por metro cuadrado del edificio de control de la subestación igual a $ 2.300.000/m2 ($ de la fecha de corte)
j. El TN deberá reportar el área obtenida de la aplicación de la anterior fórmula para cada subestación que cuente con casa de control.
k. Cuando se encuentre que la asimilación de activos a UC efectuadas por los TN no se ajusta a los elementos técnicos y cantidades establecidas para la UC, porque los elementos existentes representan menos del 70 % del valor de la UC asimilada, la Comisión podrá valorar de manera independiente estos elementos.
Tabla 3. Configuraciones de Subestaciones

Tabla 4 UC de subestación de 500 kV
UC | DESCRIPCIÓN | VALOR INSTALADO
[$ dic 2015] | VIDA ÚTIL |
| N6S1 | Bahía de Línea Configuración DBT | 3.236.534.000 | 45 |
| N6S2 | Bahía de Transformador Configuración DBT | 3.247.430.000 | 45 |
| N6S3 | Bahía de Línea Configuración IM | 2.950.139.000 | 45 |
| N6S4 | Bahía de Transformador Configuración IM | 2.950.139.000 | 45 |
| N6S5 | Corte Central Configuración IM | 2.044.227.000 | 45 |
| N6S6 | Bahía de Acople Configuración DBT | 2.056.768.000 | 45 |
| N6S7 | Módulo de Barraje - Tipo 1 Configuración DBT | 855.511.000 | 45 |
| N6S8 | Módulo de Barraje - Tipo 1 Configuración IM | 1.265.175.000 | 45 |
| N6S9 | Módulo de Barraje - Tipo 2 Configuración DBT | 1.565.376.000 | 45 |
| N6S10 | Módulo de Barraje - Tipo 2 Configuración IM | 845.670.000 | 45 |
| N6S11 | Módulo Común/Bahía - Tipo 1 Convencional Cualquier Configuración | 1.161.543.000 | 45 |
| N6S12 | Módulo Común/Bahía - Tipo 2 Convencional Cualquier Configuración | 1.161.629.000 | 45 |
| N6S13 | Bahía de Línea Configuración DB | 3.277.793.000 | 45 |
| N6S14 | Bahía de Transformador Configuración DB | 3.277.793.000 | 45 |
| N6S15 | Módulo de Barraje - Tipo 1 Configuración DB | 1.044.410.000 | 45 |
| N6S16 | Módulo de Barraje - Tipo 2 Configuración DB | 1.197.771.000 | 45 |
| N6S17 | Bahía de compensación paralela en línea fija - cualquier configuración - tipo convencional | 3.595.614.000 | 45 |
| N6S18 | Bahía de compensación paralela en línea maniobrable - cualquier configuración - tipo convencional | 4.762.044.000 | 45 |
Tabla 5 UC de subestación de 230 kV
UC | DESCRIPCIÓN | VALOR INSTALADO
[$ dic 2015] | VIDA ÚTIL |
| N5S1 | Bahía de línea - configuración barra sencilla - tipo convencional | 711.921.000 | 45 |
| N5S2 | Bahía de transformador - configuración barra sencilla - tipo convencional | 659.673.000 | 45 |
| N5S3 | Bahía de línea - configuración barra principal y transferencia - tipo convencional | 923.475.000 | 45 |
| N5S4 | Bahía de transformador - configuración barra principal y transferencia - tipo convencional | 923.028.000 | 45 |
| N5S5 | Bahía de línea - configuración barra doble - tipo convencional | 859.010.000 | 45 |
| N5S6 | Bahía de transformador - configuración barra doble - tipo convencional | 858.431.000 | 45 |
| N5S7 | Bahía de línea - configuración barra doble con seccionador de transferencia - tipo convencional | 1.115.733.000 | 45 |
| N5S8 | Bahía de transformador - configuración barra doble con seccionador de transferencia - tipo convencional | 1.115.286.000 | 45 |
| N5S9 | Bahía de línea - configuración barra doble con by pass - tipo convencional | 1.064.778.000 | 45 |
| N5S10 | Bahía de transformador - configuración barra doble con by pass - tipo convencional | 1.064.332.000 | 45 |
| N5S11 | Bahía de línea - configuración interruptor y medio - tipo convencional | 868.388.000 | 45 |
| N5S12 | Bahía de transformador - configuración interruptor y medio - tipo convencional | 868.140.000 | 45 |
| N5S13 | Bahía de línea - configuración en anillo - tipo convencional | 843.568.000 | 45 |
| N5S14 | Bahía de transformador - configuración en anillo - tipo convencional | 843.254.000 | 45 |
| N5S15 | Bahía de línea - configuración barra doble - tipo encapsulada (SF6) | 3.509.185.000 | 45 |
| N5S16 | Bahía de transformador - configuración barra doble - tipo encapsulada(SF6) | 3.497.310.000 | 45 |
| N5S17 | Bahía de línea - configuración doble barra con seccionador de transferencia - tipo encapsulada (SF6) | 3.739.804.000 | 45 |
| N5S18 | Bahía de transformador - configuración doble barra con seccionador de transferencia - tipo encapsulada(SF6) | 3.739.804.000 | 45 |
| N5S19 | Corte central configuración interruptor y medio - tipo convencional | 592.363.000 | 45 |
| N5S20 | Bahía de transferencia configuración barra principal y transferencia - tipo convencional | 515.311.000 | 45 |
| N5S21 | Bahía de acople configuraciones con doble barra | 670.177.000 | 45 |
| N5S22 | Bahía de seccionamiento configuraciones con doble barra | 462.697.000 | 45 |
| N5S23 | Módulo de barraje tipo 1 - configuración barra sencilla - tipo convencional | 264.460.000 | 45 |
| N5S24 | Módulo de barraje tipo 1 - configuración barra doble con seccionador de transferencia - tipo convencional | 314.949.000 | 45 |
| N5S25 | Módulo de barraje tipo 2 - configuración barra doble con seccionador de transferencia - tipo convencional | 458.654.000 | 45 |
| N5S26 | Módulo de barraje tipo 2 - configuración interruptor y medio - tipo convencional | 545.101.000 | 45 |
| N5S27 | Bahía de línea - configuración barra sencilla - tipo encapsulada (SF6) | 3.271.567.000 | 45 |
| N5S28 | Bahía de transformador - configuración barra sencilla - tipo encapsulada(SF6) | 3.219.750.000 | 45 |
| N5S29 | Bahía de seccionamiento configuraciones barra sencilla | 426.012.000 | 45 |
| N5S30 | Bahía de maniobra - tipo encapsulada (SF6) | 2.199.193.000 | 45 |
| N5S31 | Módulo de barraje tipo 2 - configuración barra sencilla - tipo convencional | 310.936.000 | 45 |
| N5S32 | Módulo de barraje tipo 3 - configuración barra sencilla - tipo convencional | 390.382.000 | 45 |
| N5S33 | Módulo de barraje tipo 4 - configuración barra sencilla - tipo convencional | 497.009.000 | 45 |
| N5S34 | Módulo de barraje tipo 1 - configuración barra doble - tipo convencional | 368.693.000 | 45 |
| N5S35 | Módulo de barraje tipo 2 - configuración barra doble - tipo convencional | 573.512.000 | 45 |
| N5S36 | Módulo de barraje tipo 3 - configuración barra doble - tipo convencional | 733.694.000 | 45 |
| N5S37 | Módulo de barraje tipo 4 - configuración barra doble - tipo convencional | 1.022.077.000 | 45 |
| N5S38 | Módulo de barraje tipo 1 - configuración barra doble con by pass - tipo convencional | 368.693.000 | 45 |
| N5S39 | Módulo de barraje tipo 2 - configuración barra doble con by pass - tipo convencional | 573.512.000 | 45 |
| N5S40 | Módulo de barraje tipo 3 - configuración barra doble con by pass - tipo convencional | 733.694.000 | 45 |
| N5S41 | Módulo de barraje tipo 4 - configuración barra doble con by pass - tipo convencional | 1.022.077.000 | 45 |
| N5S42 | Módulo de barraje tipo 3 - configuración barra doble con seccionador de transferencia - tipo convencional | 357.343.000 | 45 |
| N5S43 | Módulo de barraje tipo 4 - configuración barra doble con seccionador de transferencia - tipo convencional | 472.204.000 | 45 |
| N5S44 | Módulo de barraje tipo 1 - configuración barra principal y transferencia - tipo convencional | 368.693.000 | 45 |
| N5S45 | Módulo de barraje tipo 2 - configuración barra principal y transferencia - tipo convencional | 573.512.000 | 45 |
| N5S46 | Módulo de barraje tipo 3 - configuración barra principal y transferencia - tipo convencional | 733.694.000 | 45 |
| N5S47 | Módulo de barraje tipo 4 - configuración barra principal y transferencia - tipo convencional | 1.022.077.000 | 45 |
| N5S48 | Módulo de barraje tipo 3 - configuración interruptor y medio - tipo convencional | 721.446.000 | 45 |
| N5S49 | Módulo de barraje tipo 4 - configuración interruptor y medio - tipo convencional | 899.028.000 | 45 |
| N5S50 | Módulo común/bahía tipo 1 (1 a 4 bahías) - tipo convencional - cualquier configuración | 664.277.000 | 45 |
| N5S51 | Módulo común/bahía tipo 2 (5 a 8 bahías) - tipo convencional - cualquier configuración | 575.073.000 | 45 |
| N5S52 | Módulo común/bahía tipo 3 (9 a 12 bahías) - tipo convencional - cualquier configuración | 618.522.000 | 45 |
| N5S53 | Módulo común/bahía tipo 4 (más de 12 bahías) - tipo convencional - cualquier configuración | 520.088.000 | 45 |
| N5S54 | Módulo común/bahía tipo 1 (1 a 4 bahías) - tipo encapsulada - cualquier configuración | 305.433.000 | 45 |
| N5S55 | Módulo común/bahía tipo 2 (5 a 8 bahías) - tipo encapsulada - cualquier configuración | 233.214.000 | 45 |
| N5S56 | Módulo común/bahía tipo 3 (9 a 12 bahías) - tipo encapsulada - cualquier configuración | 209.586.000 | 45 |
| N5S57 | Módulo común/bahía tipo 4 (más de 12 bahías) - tipo encapsulada - cualquier configuración | 184.026.000 | 45 |
| N5S58 | Campo móvil encapsulado 230 kV | 2.662.734.000 | 45 |
| N5S59 | Bahía de maniobra - (seccionamiento de barras sin interruptor) - tipo convencional | 320.210.000 | 45 |
| N5S60 | Bahía de compensación paralela en línea fija - cualquier configuración - tipo convencional | 499.182.000 | 45 |
| N5S61 | Bahía de compensación paralela en línea maniobrable - cualquier configuración - tipo convencional | 695.350.000 | 45 |
| N5S62 | Bahía de compensación serie - tipo convencional | 948.935.000 | 45 |
| N5S63 | Bahía de compensación capacitiva paralela barra principal y transferencia | 992.505.000 | 45 |
| N5S64 | Bahía de compensación capacitiva paralela barra doble con seccionador de transferencia | 1.111.756.000 | 45 |
| N5S65 | Bahía de compensación capacitiva paralela interruptor y medio | 967.945.000 | 45 |
| N5S66 | Bahía de compensación capacitiva paralela anillo | 963.156.000 | 45 |
| N5S67 | Bahía de línea en barra - configuración barra sencilla - tipo convencional >=60 kA | 1.000.285.000 | 45 |
| N5S68 | Bahía de transformador - configuración barra sencilla - tipo convencional >=60 kA | 948.036.000 | 45 |
| N5S69 | Bahía de línea en barra - configuración barra principal y transferencia - tipo convencional >=60 kA | 1.211.839.000 | 45 |
| N5S70 | Bahía de transformador - configuración barra principal y transferencia - tipo convencional >=60 kA | 1.211.392.000 | 45 |
| N5S71 | Bahía de línea en barra - configuración barra doble - tipo convencional >=60 kA | 1.147.374.000 | 45 |
| N5S72 | Bahía de transformador - configuración barra doble - tipo convencional >=60 kA | 1.146.795.000 | 45 |
| N5S73 | Bahía de línea en barra - configuración barra doble con seccionador de transferencia - tipo convencional >=60 kA | 1.404.097.000 | 45 |
| N5S74 | Bahía de transformador - configuración barra doble con seccionador de transferencia - tipo convencional >=60 kA | 1.403.650.000 | 45 |
| N5S75 | Bahía de línea en barra - configuración barra doble con by pass - tipo convencional >=60 kA | 1.353.142.000 | 45 |
| N5S76 | Bahía de transformador - configuración barra doble con by pass - tipo convencional >=60 kA | 1.352.696.000 | 45 |
| N5S77 | Bahía de línea en barra - configuración interruptor y medio - tipo convencional >=60 kA | 1.156.752.000 | 45 |
| N5S78 | Bahía de transformador - configuración interruptor y medio - tipo convencional >=60 kA | 1.156.504.000 | 45 |
| N5S79 | Bahía de línea en barra - configuración en anillo - tipo convencional >=60 kA | 1.131.932.000 | 45 |
| N5S80 | Bahía de transformador - configuración en anillo - tipo convencional >=60 kA | 1.131.618.000 | 45 |
| N5S81 | Corte central configuración interruptor y medio - tipo convencional >=60 kA | 880.727.000 | 45 |
| N5S82 | Bahía de transferencia configuración barra principal y transferencia - tipo convencional >=60 kA | 903.386.000 | 45 |
| N5S83 | Bahía de acople configuraciones con doble barra >=60 kA | 570.466.000 | 45 |
| N5S84 | Bahía de seccionamiento configuraciones con doble barra >=60 kA | 850.772.000 | 45 |
| N5S85 | Bahía de seccionamiento configuraciones barra sencilla >=60 kA | 814.087.000 | 45 |
| N5S86 | Bahía de maniobra - (seccionamiento de barras sin interruptor) - tipo convencional >=60 kA | 220.498.000 | 45 |
| N5S87 | Bahía de compensación paralela en linea fija - cualquier configuración - tipo convencional >=60 kA | 399.471.000 | 45 |
| N5S88 | Bahía de compensación paralela en linea maniobrable - cualquier configuración - tipo convencional >=60 kA | 983.714.000 | 45 |
| N5S89 | Bahía de compensación serie - tipo convencional >=60 kA | 1.237.299.000 | 45 |
Tabla 6 UC de transformadores
UC | DESCRIPCIÓN | COSTO INSTALACIÓN
[$ dic 2015] | VALOR UNITARIO
[$/MVA
dic 2015 | VIDA ÚTIL |
| N6T1 | Autotransformador monofásico (OLTC) lado de alta en 500 kV capacidad final 50 MVA a 100 MVA | 745.834.000 | 21.501.000 | 45 |
| N6T2 | Autotransformador monofásico (OLTC) lado de alta en 500 kV capacidad final 100 MVA a 150 MVA | 972.513.000 | 20.795.000 | 45 |
| N6T3 | Autotransformador monofásico (OLTC) lado de alta en 500 kV capacidad final mayor o igual a 150 MVA | 1.190.453.000 | 19.962.000 | 45 |
Tabla 7 UC de compensaciones
UC | DESCRIPCIÓN | VALOR INSTALADO
[$ dic 2015] | VIDA ÚTIL |
| CP61 | Bahía de compensación estática reactiva | 6.088.201.000 | 45 |
| CP62 | Módulo de compensación estática reactiva | 126.172.976.000 | 45 |
| CP63 | Compensador sincrónico estático | 126.172.976.000 | 45 |
7.2 UC asociadas a líneas
a. Para líneas subterráneas el TN debe reportar solamente una UC de canalización y por separado las respectivas UC de conductores.
b. Para las UC de líneas aéreas se deben reportar las estructuras de suspensión o de retención, las cuales ya incluyen el montaje , obra civil e ingeniería, así como todos los accesorios, puesta a tierra y los elementos requeridos para su normal funcionamiento. Adicional a lo anterior, se deberá declarar el conductor correspondiente, dependiendo de si se trata de líneas aéreas, compactas o subterráneas.
c. Para las líneas se definen unidades constructivas para los apoyos y en forma separada para los conductores, cables de guarda y puesta a tierra. Por lo tanto cuando se reporte la información de los activos se debe anexar la georreferenciación de cada estructura o apoyo.
d. Para el valor de las servidumbres se reconocerá máximo un 3% del valor de la línea, calculado a partir de las respectivas UC. Sin embargo, en los casos en los que se cuente con una decisión judicial en firme, podrá reconocerse el valor determinado en el fallo.
Tabla 8 UC de líneas de 500kV
UC | DESCRIPCIÓN | VALOR INSTALADO
($ Dic 15) | VIDA ÚTIL |
| N6L1 | Torre metálica -Altura 500 msnm- 500 kV Circuito sencillo - suspensión | 117.316.000 | 45 |
| N6L2 | Torre metálica -Altura 500 msnm- 500 kV Circuito sencillo - retención | 148.656.000 | 45 |
| N6L3 | Torre metálica -Altura 500 a 2000 msnm- 500 kV Circuito sencillo - suspensión | 118.597.000 | 45 |
| N6L4 | Torre metálica -Altura 500 a 2000 msnm- 500 kV Circuito sencillo - retención | 149.402.000 | 45 |
| N6L5 | Torre metálica -Altura mayor a 2000 msnm- 500 kV Circuito sencillo - suspensión | 119.796.000 | 45 |
| N6L6 | Torre metálica -Altura mayor a 2000 msnm- 500 kV Circuito sencillo - retención | 151.130.000 | 45 |
| N6L7 | Poste metálico -Altura 500 msnm- 230/110 kV Circuito triple - suspensión | 230.973.000 | 45 |
| N6L8 | Poste metálico -Altura 500 msnm- 230/110 kV Circuito triple - retención | 295.149.000 | 45 |
| N6L9 | Poste metálico -Altura 500 msnm- 230/110 kV Circuito doble - suspensión | 170.682.000 | 45 |
| N6L10 | Poste metálico -Altura 500 msnm- 230/110 kV Circuito doble - retención | 240.795.000 | 45 |
| N6L11 | Poste metálico -Altura 500 a 2000 msnm- 230/110 kV Circuito triple - suspensión | 232.173.000 | 45 |
| N6L12 | Poste metálico -Altura 500 a 2000 msnm- 230/110 kV Circuito triple - retención | 298.605.000 | 45 |
| N6L13 | Poste metálico -Altura 500 a 2000 msnm- 230/110 kV Circuito doble - suspensión | 171.482.000 | 45 |
| N6L14 | Poste metálico -Altura 500 a 2000 msnm- 230/110 kV Circuito doble - retención | 243.099.000 | 45 |
| N6L15 | Poste metálico -Altura mayor a 2000 msnm- 230/110 kV Circuito triple - suspensión | 233.372.000 | 45 |
| N6L16 | Poste metálico -Altura mayor a 2000 msnm- 230/110 kV Circuito triple - retención | 302.061.000 | 45 |
| N6L17 | Poste metálico -Altura mayor a 2000 msnm- 230/110 kV Circuito doble - suspensión | 172.282.000 | 45 |
| N6L18 | Poste metálico -Altura mayor a 2000 msnm- 230/110 kV Circuito doble - retención | 245.403.000 | 45 |
| N6L19 | km de conductor AAAC 800 kcmil 500kV | 702.000 | 45 |
| N6L20 | km de conductor AAAC 1200 kcmil 500kV | 1.261.000 | 45 |
Tabla 9 UC de líneas de 230 kV
UC | DESCRIPCIÓN ESTRUCTURAS LÍNEAS AÉREAS DESNUDAS | VALOR INSTALADO
($ Dic 15) | VIDA ÚTIL |
| N5L1 | Torre metálica -Altura 500 msnm- 230 kV Circuito sencillo - suspensión | 83.036.000 | 45 |
| N5L2 | Torre metálica -Altura 500 msnm- 230 kV Circuito sencillo - retención | 113.856.000 | 45 |
| N5L3 | Poste metálico - -Altura 500 msnm-230kV Circuito sencillo - suspensión | 109.779.000 | 45 |
| N5L4 | Poste metálico - -Altura 500 msnm-230kV Circuito sencillo - retención | 165.615.000 | 45 |
| N5L5 | Poste concreto - -Altura 500 msnm-230kV Circuito sencillo - suspensión | 60.511.000 | 45 |
| N5L6 | Poste concreto - -Altura 500 msnm-230kV Circuito sencillo - retención | 76.123.000 | 45 |
| N5L7 | Torre metálica -Altura 500 msnm- 230 kV Circuito doble - suspensión | 117.523.000 | 45 |
| N5L8 | Torre metálica -Altura 500 msnm- 230 kV Circuito doble - retención | 158.409.000 | 45 |
| N5L9 | Poste metálico - Altura 500 msnm-230kV Circuito doble - suspensión | 170.682.000 | 45 |
| N5L10 | Poste metálico - Altura 500 msnm-230kV Circuito doble - retención | 240.795.000 | 45 |
| N5L11 | Poste metálico -Altura 500 msnm-230kV Cuatro circuitos - suspensión | 232.477.000 | 45 |
| N5L12 | Poste metálico -Altura 500 msnm-230kV Cuatro circuitos - retención | 319.927.000 | 45 |
| N5L13 | Torre metálica -Altura 500 a 2000 msnm- 230 kV Circuito sencillo - suspensión | 83.436.000 | 45 |
| N5L14 | Torre metálica -Altura 500 a 2000 msnm- 230 kV Circuito sencillo - retención | 120.767.000 | 45 |
| N5L15 | Poste metálico -Altura 500 a 2000 msnm-230kV Circuito sencillo - suspensión | 110.179.000 | 45 |
| N5L16 | Poste metálico -Altura 500 a 2000 msnm-230kV Circuito sencillo - retención | 166.767.000 | 45 |
| N5L17 | Poste concreto -Altura 500 a 2000 msnm-230kV Circuito sencillo - suspensión | 60.911.000 | 45 |
| N5L18 | Poste concreto -Altura 500 a 2000 msnm-230kV Circuito sencillo - retención | 77.368.000 | 45 |
| N5L19 | Torre metálica --Altura 500 a 2000 msnm- 230 kV Circuito doble - suspensión | 123.962.000 | 45 |
| N5L20 | Torre metálica --Altura 500 a 2000 msnm- 230 kV Circuito doble - retención | 147.062.000 | 45 |
| N5L21 | Poste metálico --Altura 500 a 2000 msnm-230kV Circuito doble - suspensión | 171.482.000 | 45 |
| N5L22 | Poste metálico --Altura 500 a 2000 msnm-230kV Circuito doble - retención | 243.099.000 | 45 |
| N5L23 | Poste metálico - -Altura 500 a 2000 msnm-230kV Cuatro circuitos - suspensión | 234.076.000 | 45 |
| N5L24 | Poste metálico - -Altura 500 a 2000 msnm-230kV Cuatro circuitos - retención | 324.535.000 | 45 |
| N5L25 | Torre metálica --Altura mayor a 2000 msnm- 230 kV Circuito sencillo - suspensión | 83.836.000 | 45 |
| N5L26 | Torre metálica --Altura mayor a 2000 msnm- 230 kV Circuito sencillo - retención | 116.160.000 | 45 |
| N5L27 | Poste metálico --Altura mayor a 2000 msnm-230kV Circuito sencillo - suspensión | 110.579.000 | 45 |
| N5L28 | Poste metálico --Altura mayor a 2000 msnm-230kV Circuito sencillo - retención | 168.522.000 | 45 |
| N5L29 | Poste concreto - -Altura mayor a 2000 msnm-230kV Circuito sencillo - suspensión | 61.311.000 | 45 |
| N5L30 | Poste concreto - -Altura mayor a 2000 msnm-230kV Circuito sencillo - retención | 78.520.000 | 45 |
| N5L31 | Torre metálica --Altura mayor a 2000 msnm- 230 kV Circuito doble - suspensión | 119.123.000 | 45 |
| N5L32 | Torre metálica --Altura mayor a 2000 msnm- 230 kV Circuito doble - retención | 163.017.000 | 45 |
| N5L33 | Poste metálico -Altura mayor a 2000 msnm- 230 kV Circuito doble - suspensión | 172.282.000 | 45 |
| N5L34 | Poste metálico -Altura mayor a 2000 msnm- 230 kV Circuito doble - retención | 245.403.000 | 45 |
| N5L35 | Poste metálico --Altura mayor a 2000 msnm- 230 kV Cuatro circuitos - suspensión | 235.676.000 | 45 |
| N5L36 | Poste metálico --Altura mayor a 2000 msnm- 230 kV Cuatro circuitos - retención | 329.143.000 | 45 |
| N5L37 | Banco de ductos - Circuito sencillo | 1.952.393.000 | 45 |
| N5L38 | Box-Culvert - Circuito sencillo | 2.071.321.000 | 45 |
| N5L39 | Banco de ductos - Circuito doble | 2.545.463.000 | 45 |
| N5L40 | Box-Culvert - Circuito doble | 2.840.821.000 | 45 |
| N5L41 | km de conductor ACSR 1113 kcmil | 28.990.000 | 45 |
| N5L42 | km de conductor AAAC 1600 kcmil | 53.671.000 | 45 |
| N5L43 | km de conductor ACSR Canary 900 kcmil | 24.814.000 | 45 |
| N5L44 | km de conductor ACSR Rail 954 kcmil | 23.296.000 | 45 |
| N5L45 | km de conductor ACSR Cardinal 954 kcmil | 26.107.000 | 45 |
| N5L46 | km de conductor ACSR Curlew 1033,5 kcmil | 28.067.000 | 45 |
| N5L47 | km de conductor ACSR Parrot 1510,5 kcmil | 40.927.000 | 45 |
| N5L48 | km de conductor ACSR Falcon 1590 kcmil | 43.300.000 | 45 |
| N5L49 | km de conductor ACSR Kiwi 2167 kcmil | 49.396.000 | 45 |
| N5L50 | km de conductor para línea subterránea - Sección transversal 1200 mm2 | 458.342.515 | 45 |
| N5L51 | km de conductor para línea subterránea - Sección transversal 1800 mm2 | 805.227.050 | 45 |
| N5L52 | Sistema de puesta a tierra diseño típico para torre | 1.644.000 | 45 |
| N5L53 | Sistema de puesta a tierra diseño típico para poste | 1.504.000 | 45 |
| N5L54 | km de cable de guarda STN | 4.048.000 | 45 |
| N5L55 | Cable de fibra óptica All-Dielectric Self-Supporting (ADSS) monomodo | 10.092.000 | 45 |
| N5L56 | Fibra óptica tipo adosada | 20.981.000 | 45 |
7.3 UC asociadas a sistemas de control
a. La parte correspondiente de control y protección asociada a las bahías de línea y de transformación hacen parte de la UC de control.
b. Se define el control de las subestaciones dependiendo del número de bahías que opera la subestación.
c. Se define el valor de la estación de control maestra, de acuerdo con sus funcionalidades.
Tabla 10 UC de control, comunicaciones y protecciones en subestaciones
UC | Descripción | VALOR INSTALADO
[$ dic 2015] | VIDA ÚTIL |
| N6P1 | Control y protección Bahía de Línea - 500 kV | 177.108.000 | 10 |
| N6P2 | Control y protección Bahía de Transformador - 500 kV | 167.417.000 | 10 |
| N6P3 | Control y protección Bahía de Acople o corte central - 500 kV | 119.562.000 | 10 |
| N6P4 | Protección diferencial de Barras Tipo 1 - 500 kV | 356.916.000 | 10 |
| N6P5 | Protección diferencial de Barras Tipo 2 - 500 kV | 441.378.000 | 10 |
| N6P6 | Control y Protección del Transformador - 500 kV | 120.407.000 | 10 |
| N5P1 | Control y protección Bahía de Línea -230 kV | 172.659.000 | 10 |
| N5P2 | Control y protección Bahía de Transformador - 230 kV | 163.527.000 | 10 |
| N5P3 | Control y protección Bahía de Transf, Acopl, Corte Central - 230 kV | 115.672.000 | 10 |
| N5P4 | Control y protección Bahía de Seccionamiento -230 kV | 69.175.000 | 10 |
| N5P5 | Protección diferencial de Barras Tipo 1 y 2 - 230 kV | 264.472.000 | 10 |
| N5P6 | Protección diferencial de Barras Tipo 3 y 4 - 230 kV | 345.366.000 | 10 |
| N5P7 | Control y Protección del Transformador - 230 kV | 101.558.000 | 10 |
Tabla 11 UC de control de subestaciones y estación maestra.
UC | Descripción | VALOR INSTALADO
[$ dic 2015] | VIDA ÚTIL |
| N0P1 | Control subestación Tipo 1 (1-2 Bahías) | 96.573.000 | 10 |
| N0P2 | Control subestación Tipo 2 (3-4 Bahías) | 166.508.000 | 10 |
| N0P3 | Control subestación Tipo 3 (5-8 Bahías) | 326.672.000 | 10 |
| N0P4 | Control subestación Tipo 4 (9-12 Bahías) | 476.150.000 | 10 |
| N0P5 | Control subestación Tipo 5 (Más de 13 Bahías) | 590.168.000 | 10 |
| N0P6 | Centro de control tipo 1 (SCADA) | 1.135.343.000 | 10 |
| N0P7 | Centro de control tipo 2 (SCADA+EMS Operativo) | 3.998.432.000 | 10 |
| N0P8 | Centro de control tipo 2 (SCADA+DMS Operativo) | 3.814.384.000 | 10 |
| N0P9 | Centro de control tipo 2 (SCADA+EMS + DMS Operativo) | 6.353.320.000 | 10 |
| N0P10 | Centro de control tipo 3 (SCADA + EMS completa) | 7.393.234.000 | 10 |
| N0P11 | Centro de control tipo 4 (SCADA+DMS Completo+OMS+CMS+GIS | 8.709.174.000 | 10 |
| N0P12 | Centro de control tipo 4 (SCADA+EMS-Completo+DMS Completo+OMS+CMS+GIS) | 11.559.333.000 | 10 |
| N0P13 | Casa de control cualquier nivel de tensión ($/m2) | 2.680.000 | 45 |
7.4 Áreas reconocidas
Tabla 12 Subestaciones convencionales 500 kV
CONFIGURACIÓN | BAHÍA DE LÍNEA
[m2] | BAHÍA TRANSFORMADOR [m2] | BAHÍA DE ACOPLE, SECCIONAMIENTO, TRANSFERENCIA O CORTE
[m2] | MÓDULO COMÚN TIPO 1
[m2] | MÓDULO COMÚN TIPO 2
[m2] |
| Doble Barra más Transferencia (DBT) | 3.724 | 3.948 | 1.820 | 33.260 | 50.116 |
| Interruptor y Medio (IM) | 3.500 | 2.800 | 980 | 33.260 | 50.116 |
| Doble Barra más By-Pass (DBB) | 3.724 | 3.948 | 1.820 | 33.260 | 50.116 |
Tabla 13 Subestaciones convencionales 230 kV
CONFIGURACIÓN | BAHÍA DE LÍNEA
[m2] | BAHÍA TRANSFORMADOR [m2] | BAHÍA DE ACOPLE, SECCIONAMIENTO, TRANSFERENCIA O CORTE
[m2] | MÓDULO COMÚN TIPO 1
[m2] | MÓDULO COMÚN TIPO 2
[m2] | MÓDULO COMÚN TIPO 3
[m2] | MÓDULO COMÚN TIPO 4
[m2] |
| Barra Sencilla (BS) | 613 | 749 |  | 1.432 | 1.672 | 1.912 | 2.392 |
| Barra Ppal Y Transferencia (BPT) | 877 | 989 | 880 | 4.215 | 5.958 | 7.700 | 11.185 |
| Doble Barra (DB) | 877 | 989 | 880 | 4.215 | 5.958 | 7.700 | 11.185 |
| Doble Barra más Transferencia (DBT) | 877 | 989 | 880 | 4.215 | 5.958 | 7.700 | 11.185 |
| Doble Barra más By-Pass (DBB) | 877 | 989 | 880 | 4.215 | 5.958 | 7.700 | 11.185 |
| Interruptor y Medio (IM) | 852 | 969 | 679 | 2.318 | 3.227 | 3.598 | 4.507 |
| Anillo (AN) | 640 | 840 |  | 2.270 | 3.342 | 3.550 | 4.622 |
Tabla 14 Subestaciones encapsuladas 230 kV
CONFIGURACIÓN | BAHÍA DE LÍNEA
[m2] | BAHÍA TRANSFORMADOR [m2] | BAHÍA DE ACOPLE, SECCIONAMIENTO, TRANSFERENCIA O CORTE
[m2] | MÓDULO COMÚN TIPO 1
[m2] |
| Barra Sencilla (BS) | 120 | 48 |  | 305 |
| Doble Barra (DB) | 160 | 80 | 80 | 900 |
| Doble Barra más Transferencia (DBT) | 160 | 80 | 80 | 900 |
Tabla 15 Componente para el edificio de control de las subestaciones
ÍTEM | AREA RECONOCIDA [m2] |
| Área general S/E | 75,00 |
| Bahía – Abh | 11,25 |
Tabla 16 Transformadores
ÍTEM | Área
[m2] |
| Bancos monofásicos | 160 |
Tabla 17 Centros de Control
ÍTEM | ÁREA RECONOCIDA
[m2] |
| Centro de control Tipo 1 | 500 |
| Centro de control Tipo 2 | 410 |
| Centro de control Tipo 3 | 220 |
| Centro de control Tipo 4 | 130 |
7.5 Categorías de unidades constructivas
Para la clasificación de las UC establecidas en este capítulo, se deben utilizar las siguientes categorías:
CATEGORÍA | DESCRIPCIÓN | VIDA ÚTIL |
1 | Transformadores de potencia | 45 |
3 | Bahías | 45 |
4 | Equipos de control y comunicaciones | 10 |
5 | Equipos de subestación | 45 |
6 | Otros activos subestación | 45 |
7 | Centro de control | 10 |
8 | Líneas aéreas | 45 |
9 | Líneas subterráneas | 45 |
CAPÍTULO 8. VALORACIÓN DE ACTIVOS EXISTENTES
Para la valoración de los activos construidos con anterioridad a la fecha de corte, que hacen parte de la BRA inicial, se utilizan las UC y los valores que se presentan en este capítulo.
8.1 Valor de las UC
8.1.1 Subestaciones
Para las subestaciones del STN se tienen en cuenta las siguientes configuraciones, cuyos códigos se utilizan en la definición de las unidades constructivas:
Tabla 18. Configuraciones de subestaciones

Adicionalmente, dependiendo del número de bahías del STN ubicadas en cada subestación, se clasifican en dos tipos:
Tabla 19. Tipos según el número de bahías

Tabla 20. UC de subestaciones de 230 kV

Tabla 21. UC de subestaciones de 500 kV

Tabla 22. Transformadores

8.1.2 UC de compensación
Tabla 23. UC de compensación para 230 kV

Tabla 24. UC de compensación para 500 kV

Tabla 25. Bancos de Reactores

Tabla 26. Control de Tensión y Reactivos

8.1.3 Centros de supervisión y maniobra
Los centros de supervisión y maniobra (CSM) se clasifican de acuerdo con el número de señales que manejan. Este número de señales se estimará a partir de los activos reportados por cada TN, teniendo en cuenta los valores mostrados en la Tabla 27.
Tabla 27. Señales por UC

A partir del número de señales estimadas, los CSM se clasifican en diferentes tipos como se muestra en la Tabla 28.
Tabla 28. Tipos de CSM

Tabla 29. UC de los centros de supervisión y maniobra

8.1.4 Líneas de transmisión
Las UC para Líneas de Transmisión están definidas en “km de línea” y se clasifican en tres niveles dependiendo de la altura sobre el nivel del mar donde están ubicadas, como se definen en la Tabla 30.
Tabla 30. Niveles para UC de líneas

Tabla 31. UC de líneas de 230 kV

Tabla 32. UC de líneas de 500 kV

8.2 Áreas típicas de las UC de subestaciones
Tabla 33. Subestaciones de 230 kV

Tabla 34. Subestaciones de 500 kV

Tabla 35. Compensación y transformación

8.3 Categorías de unidades constructivas
Para la clasificación de las UC establecidas en este capítulo, se deben utilizar las siguientes categorías:
CATEGORÍA | DESCRIPCIÓN | VIDA ÚTIL |
1 | Transformadores de potencia | 30 |
3 | Bahías | 30 |
4 | Equipos de control y comunicaciones | 10 |
5 | Equipos de subestación | 30 |
6 | Otros activos subestación | 30 |
7 | Centro de control | 10 |
8 | Líneas aéreas | 40 |
9 | Líneas subterráneas | 40 |
CAPÍTULO 9. CARGOS HORARIOS
Los cargos por uso monomios horarios del STN, con diferenciación horaria por período de carga, que serán facturados por el LAC a los comercializadores del SIN que atienden usuarios finales, los calculará mensualmente el LAC a partir del cargo por uso monomio del STN, utilizando las siguientes variables:
Hx: número de horas asociado al período de carga máxima
Hd: número de horas asociado al período de carga media
Hn: número de horas asociado al período de carga mínima.
Pi,m: potencia promedio para la hora i durante el mes m, correspondiente a los consumos horarios nacionales de todos los usuarios finales.
Px,m, Pd.m y Pn,m: potencias resultantes de promediar las potencias (Pi,m) asociadas a las horas asignadas a cada uno de los períodos de carga para el mes m.
Tm: Cargo por uso monomio del STN, para el mes m. ($/kWh).
Tx,m: Cargo por uso monomio horario para el período de carga máxima del STN, para el mes m. ($/kWh).
Td,m: Cargo por uso monomio horario para el período de carga media del STN, para el mes m. ($/kWh).
Tn,m: Cargo por uso monomio horario para el período de carga mínima del STN, para el mes m. ($/kWh).
Considerando que la magnitud de la energía de la hora i-ésima es igual a la magnitud de la potencia de la hora i-ésima (Pi,m) por tratarse de potencias promedios referidas a períodos de una hora, los cargos por uso monomios horarios para el mes m: Tx,m, Td,m y Tn,m se calculan resolviendo el siguiente sistema de tres ecuaciones con tres incógnitas:

y 