| Publicación Diario Oficial No.: | 47.354, el día:19/May/2009 |
| Publicada en la WEB CREG el: | 20/May/2009 |
| RESOLUCIÓN No. 048 ( 07 MAYO 2009 )
Por la cual se ordena hacer público un proyecto de resolución de carácter general, que pretende adoptar la CREG con la cual se modifican las Resoluciones CREG 091 de 2007 y 161 de 2008.
LA COMISIÓN DE REGULACIÓN DE ENERGÍA Y GAS
En ejercicio de sus atribuciones constitucionales y legales, en especial las conferidas por las Leyes 142 y 143 de 1994, y en desarrollo de los Decretos 1524 y 2253 de 1994.
CONSIDERANDO QUE:
Según el artículo 9 del Decreto 2696 de 2004, la Comisión debe hacer público en su página web todos los proyectos de resoluciones de carácter general que pretenda adoptar, con las excepciones que allí se señalan, con antelación no inferior a treinta (30) días a la fecha de su expedición.
La Comisión de Regulación de Energía y Gas decidió por unanimidad dar aplicación a lo dispuesto en el numeral 3 del artículo 2 de la Resolución CREG 097 de 2004 dado que la definición de esta regulación es necesaria para el proceso de invitación pública que pretende iniciar el Ministerio de Minas y Energía para el otorgamiento de áreas de servicio exclusivo de energía eléctrica en las Zonas No Interconectadas del país.
La Comisión de Regulación de Energía y Gas, en su Sesión No. 408 del día 07 de mayo de 2009, aprobó hacer público el proyecto de resolución anexo.
RESUELVE:
Artículo 1. Hágase público el proyecto de resolución “Por la cual se ordena hacer público un proyecto de resolución de carácter general, que pretende adoptar la CREG con la cual se modifican las Resoluciones CREG 091 de 2007 y 161 de 2008.”
Artículo 2. Se invita a los agentes, a los usuarios, a las Autoridades Locales Municipales y Departamentales competentes, a la Superintendencia de Servicios Públicos Domiciliarios y a los demás interesados, para que remitan sus observaciones o sugerencias sobre la propuesta en el término de 10 días hábiles siguientes a la fecha de publicación de la presente resolución en la página web de la CREG.
Artículo 3. Infórmese en la página web la identificación de la dependencia administrativa y de las personas a quienes se podrá solicitar información sobre el proyecto y hacer llegar las observaciones, reparos o sugerencias, y los demás aspectos previstos en el artículo 11 del Decreto 2696 de 2004.
Artículo 4. La presente Resolución no deroga ni modifica disposiciones vigentes por tratarse de un acto de trámite.
PUBLÍQUESE Y CÚMPLASE
Dada en Bogotá, D.C., 07 MAYO 2009
PROYECTO DE RESOLUCIÓN
Por la cual se modifican las Resoluciones CREG 091 de 2007 y 161 de 2008.
LA COMISIÓN DE REGULACIÓN DE ENERGÍA Y GAS
En ejercicio de las atribuciones legales, en especial las conferidas por las Leyes 142 de 1994 y 143 de 1994, y en desarrollo de los decretos 1524 y 2253 de 1994, 2696 de 2004 y
C O N S I D E R A N D O Q U E:
Según el Artículo 74.1 de la Ley 142 de 1994 la Comisión de Regulación de Energía y Gas es competente para regular el ejercicio de las actividades de los sectores de energía y gas combustible.
La Comisión de Regulación de Energía y Gas tiene la función de regular los monopolios en la prestación del servicio público domiciliario de energía eléctrica, cuando la competencia no sea, de hecho, posible; y en los demás casos, la de promover la competencia entre quienes presten servicios públicos, para que las operaciones de los monopolistas o de los competidores sean económicamente eficientes, no impliquen abuso de la posición dominante y produzcan servicios de calidad.
De conformidad con el Parágrafo 1° del Artículo 40 de la Ley 142 de 1994, la Comisión de Regulación de Energía y Gas debe definir, por vía general, cómo se verifica la existencia de los motivos que permiten la inclusión de áreas de servicio exclusivo en los contratos para la prestación del servicio público domiciliario de energía eléctrica, así como los lineamientos generales y las condiciones a las cuales deben someterse ellos; y, antes de que se abra una licitación que incluya estas cláusulas dentro de los contratos propuestos, verificará que ellas sean indispensables para asegurar la viabilidad financiera de la extensión de la cobertura a las personas de menores ingresos.
La CREG expidió la Resolución CREG 091 de 2007, por la cual definió, entre otros, las reglas para verificar la existencia de los motivos que permiten la inclusión de áreas de servicio exclusivo en los contratos para la prestación del servicio de energía eléctrica en las Zonas No Interconectadas, y los lineamientos generales y las condiciones a las cuales deben someterse.
El Artículo 65 de la Ley 1151 de 2007 estableció que “El Ministerio de Minas y Energía diseñará esquemas sostenibles de gestión para la prestación del servicio de energía eléctrica en las Zonas No Interconectadas. Para este propósito, podrá establecer áreas de servicio exclusivo para todas las actividades involucradas en el servicio de energía eléctrica”.
De conformidad con las disposiciones contenidas en la Ley 1151 de 2007, la Comisión de Regulación de Energía y Gas consideró necesario ajustar el Capítulo 2 de la Resolución CREG 091 de 2007, relacionado con el tema de las áreas de servicio exclusivo de las Zonas No Interconectadas por lo que expidió la Resolución CREG 161 de 2008.
Con posterioridad a la expedición de la citada Resolución CREG 161, el Ministerio de Minas y Energía envió a la Comisión de Regulación de Energía y Gas la comunicación radicada con el No. CREG E-2009-002362 del 18 de marzo de 2009, en la cual planteó la conveniencia de establecer un incentivo para promover un ahorro en los consumos de los combustibles de origen fósil destinados a la generación, como consecuencia de la sustitución del combustible fósil por recursos renovables u otro combustible fósil más económico, sin afectar los componentes de la fórmula tarifaria fijados en la Resolución CREG 161 de 2008 y cuyo valor sea ofertado en desarrollo de las convocatorias que realice el Ministerio de Minas y Energía.
La Comisión de Regulación de Energía y Gas analizó la solicitud del Ministerio de Minas y Energía, revisando nuevamente lo dispuesto en los numerales 1 y 4 del artículo 87 de la Ley 142 de 1994.
Del análisis anterior la Comisión de Regulación de Energía y Gas también determinó la necesidad de modificar la Resolución CREG 091 de 2007.
R E S U E L V E:
Artículo 1. La presente Resolución tiene como objeto modificar las Resoluciones CREG 091 de 2007 y 161 de 2008.
Artículo 2. Adición al artículo 2 de la Resolución CREG 091 de 2007. Adiciónese a las definiciones contenidas en el artículo 2 de la Resolución CREG 091 de 2007 las siguientes:
“Parque de Generación Inicial. Conjunto de unidades de generación que será ofertado por el adjudicatario de la Obligación de Prestación del Servicio, en la propuesta que presente en el Proceso Competitivo”
Articulo 3. Aclaración al artículo 5 de la Resolución CREG 091 de 2007 modificado por el artículo 4 de la Resolución CREG 161 de 2008. El artículo 5 de la Resolución CREG 091 de 2007, modificado por el artículo 4 de la Resolución CREG 161 de 2008, quedará así:
“Artículo 5. Criterios básicos para la expansión en las Áreas de Servicio Exclusivo. La expansión del Parque de Generación y del Sistema de Distribución en el Área de Servicio Exclusivo será responsabilidad de las empresas adjudicatarias de la Obligación de Prestación del Servicio de acuerdo con los compromisos asumidos con la Autoridad Contratante. El Adjudicatario de la Obligación de Prestación del Servicio debe presentar ante la Autoridad Contratante planes quinquenales con la inversión prevista y dará cuenta de dichos planes a la Superintendencia de Servicios Públicos Domiciliarios, para lo de su competencia. Estos planes deben ser publicados en la cartelera de las oficinas del prestador del servicio.
Los planes quinquenales de que trata el presente artículo únicamente pueden contener la inversión de expansión que el Adjudicatario de la Obligación de Prestación del Servicio incluyó en la oferta presentada ante la Autoridad Competente.
La inversión en expansión realizada por el Adjudicatario de la Obligación de Prestación del Servicio que no haya estado considerada en la oferta presentada ante la Autoridad Competente no modificará el ingreso máximo regulado ni el cargo máximo regulado.”
Artículo 4. Modificación del artículo 7 de la Resolución CREG 161 de 2008. El artículo 7 de la Resolución CREG 161 de 2008 quedará así:
“CAPITULO IX
FÓRMULA TARIFARIA PARA LAS ÁREAS DE SERVICIO EXCLUSIVO QUE SE CONFORMEN PARA CADA ACTIVIDAD DEL SERVICIO PÚBLICO DE ENERGÍA ELÉCTRICA EN LAS ZONAS NO INTERCONECTADAS
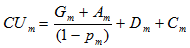
Artículo 48. Fórmula tarifaria general para usuarios regulados del servicio público de energía eléctrica para Procesos Competitivos para cada actividad. Cuando se realicen varios Procesos Competitivos para adjudicar Obligaciones de Prestación del Servicio por actividad, en una misma Área de Servicio Exclusivo, la Fórmula Tarifaria General aplicable a los usuarios regulados del servicio público domiciliario de energía eléctrica tendrá los siguientes componentes:

Donde:
CUm: Costo Unitario de Prestación del Servicio de Energía Eléctrica, para el mes m, expresado en pesos por kilovatio hora ($/kWh).
Gm: Cargo de generación, para el mes m, expresado en pesos por kilovatio hora ($/kWh).
Am: Ahorro en los costos de combustibles de origen fósil, en el mes m, expresado en pesos por kilovatio hora ($/kWh), calculado de la siguiente manera:

Etm-1: Energía total entregada al Sistema de Distribución en el mes m-1, por las n plantas del Parque de Generación. Este valor se expresa en kilovatios hora (kWh).
CECi: Consumo específico de combustible de origen fósil de la planta i del Parque de Generación Inicial, cuyo combustible fue sustituido por uno renovable o por otro fósil más económico. Esta variable se expresa en millones de BTU por kilovatio hora (MBTU/kWh). En caso que la planta utilizara diesel o fuel oil como combustible, este consumo será expresado en galones por kilovatio hora (gal/kWh). El valor de esta variable será el ofertado por el adjudicatario de la Obligación de Prestación del Servicio, para cada planta i, en la propuesta que presente en el Proceso Competitivo. En caso de ser necesaria la aplicación de una equivalencia calorífica, ésta será determinada por el Ministerio de Minas y Energía.
∆PCm: Diferencia entre el precio del combustible fósil puesto en el sitio de la planta i del Parque de Generación Inicial y el precio del combustible fósil sustituto puesto en el sitio de la planta. Para aquellos casos en que se sustituya un combustible fósil por un recurso renovable, ∆PCm será equivalente al precio del combustible fósil puesto en el sitio de la planta i del Parque de Generación Inicial. En caso de ser necesaria la aplicación de una equivalencia calorífica, ésta será determinada por el Ministerio de Minas y Energía.
eim-1: Energía entregada al Sistema de Distribución, en el mes m-1, por la planta i del Parque de Generación cuyo combustible fue sustituido por uno renovable o por otro fósil más económico. Esta variable se expresa en kilovatios hora (kWh).
k: Número de plantas que sustituyeron el combustible de origen fósil por un recurso renovable u otro combustible fósil más económico.
Dm: Cargo de distribución, para el mes m, expresado en pesos por kilovatio hora ($/kWh).
Cm: Cargo de comercialización, para el mes m, expresado en pesos por kilovatio hora ($/kWh).
pm: Pérdidas de Energía para el mes m. Este nivel de pérdidas será el ofertado por el adjudicatario de la Obligación de Prestación del Servicio en la propuesta que presente en el Proceso Competitivo. El valor de pm se expresa como una fracción.
Parágrafo 1. Esta Fórmula Tarifaria tendrá vigencia de conformidad con lo establecido en los Procesos Competitivos adelantados por la Autoridad Contratante.
Parágrafo 2. Los cargos para remunerar la actividad o las actividades que no sean objeto de un Proceso Competitivo se calcularán de acuerdo con la metodología de cargo máximo regulado por costos medios, según lo establezca la CREG en resolución posterior.
Parágrafo 3. El componente Am del costo unitario de prestación del servicio sólo aplicará cuando la Actividad de Generación se desarrolle en un Área de Servicio Exclusivo.
Parágrafo 4. El componente Am únicamente se aplicará para aquellas plantas del Parque de Generación cuya sustitución no haya sido incorporada en la oferta del adjudicatario de la Obligación de Prestación del Servicio y que se instalen a partir del sexto año del Periodo de Vigencia del contrato, en reemplazo de otras plantas que utilicen combustibles de origen fósil.
Parágrafo 5. El componente Am únicamente se reconocerá cuando la eficiencia de la planta sea mayor o igual a la oferta realizada con el combustible inicial.
Parágrafo 6. En caso que el combustible fósil sustituido sea gas combustible, para efectos del cálculo de la variable ∆PCm el valor del precio del combustible fósil puesto en el sitio de la planta i del Parque de Generación Inicial será el precio del gas determinado en el último contrato celebrado por el adjudicatario de la obligación de prestación del servicio de energía eléctrica en el ASE, indexado por el Índice de Precios al Productor – IPP.
Artículo 49. Determinación del Cargo de Generación Cuando los Usuarios Asumen el Riesgo de Demanda. Si se asigna el riesgo de demanda a los usuarios del servicio, el cargo de generación se calculará de la siguiente manera:

Donde:
Gm: Cargo de generación, para el mes m, expresado en pesos por kilovatio hora ($/kWh)
GIAOMm: Remuneración de la inversión y de los gastos de AOM en generación, para el mes m. En estos gastos no se considera el combustible utilizado en la operación. Este valor, expresado en pesos por kilovatio hora ($/kWh), se estimará así:

Donde:
IAOMgt: Ingreso máximo regulado para el Año t del Período de Vigencia, que remunera las inversiones del prestador del servicio en activos de la actividad de generación y los gastos de AOM en los que incurra en desarrollo de esta actividad. Este ingreso, expresado en pesos ($) del mes anterior al de la realización del Proceso Competitivo, será el ofertado por el adjudicatario de la Obligación de Prestación del Servicio en la propuesta que presente en dicho proceso.
IPPm-1: Índice de Precios al Productor publicado por el DANE, para el mes m-1.
IPP0: Índice de Precios al Productor publicado por el DANE, para el mes anterior al de realización del Proceso Competitivo.
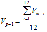
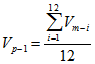
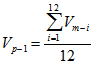
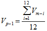
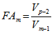
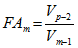
Vp-1: Promedio de las Ventas mensuales de energía de los últimos doce (12) meses, expresado en kilovatios hora (kWh).

Vm-i: Ventas de energía del mes m-i, expresado en kilovatios hora (kWh).
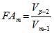
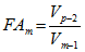
FAm: Factor de ajuste al ingreso máximo regulado, para el mes m. Este ajuste se hará a partir del segundo mes del Período de Vigencia, de la siguiente manera:
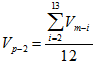
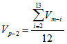
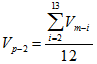
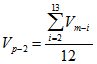
Vp-2: Promedio de las Ventas mensuales de energía de los doce (12) meses anteriores al mes anterior, expresado en kilovatios hora (kWh).
Gcm: Remuneración de los costos de los combustibles puestos en el sitio de operación de las plantas del Parque de Generación, para el mes m. Este valor, expresado en pesos por kilovatio hora ($/kWh), se calculará así:

Etm-1: Energía total entregada al Sistema de Distribución en el mes m-1, por las n plantas del Parque de Generación. Este valor se expresa en kilovatios hora (kWh).
CECi: Consumo específico de combustible de la planta i del Parque de Generación, expresado en millones de BTU por kilovatio hora (MBTU/kWh). En caso que la planta utilice diesel o fuel oil como combustible, este consumo será expresado en galones por kilovatio hora (gal/kWh). El valor de esta variable será el ofertado por el adjudicatario de la Obligación de Prestación del Servicio, para cada planta i a utilizar, en la propuesta que presente en el Proceso Competitivo.
PCm: Precio del combustible de origen fósil puesto en el sitio de la planta i del Parque de Generación, en el mes m, expresado en pesos por millón de BTU ($/MBTU) de forma general y en pesos por galón ($/gal) cuando el combustible empleado sea diesel o fuel oil. El precio del combustible puesto en el sitio de la planta será definido por el Ministerio de Minas y Energía, con excepción del caso en que se utilice gas combustible, cuyo precio será regulado por la CREG en resolución posterior.
Eim-1: Energía entregada al Sistema de Distribución por la planta i, en el mes m-1, expresada en kilovatios hora (kWh).
n: Número de plantas que pertenecen al Parque de Generación y fueron utilizadas en el mes m.
Mm: Cargo de la Actividad de Monitoreo, para el mes m, expresado en pesos por kilovatio hora ($/kWh).
Artículo 50. Determinación del Cargo de Generación Cuando el Adjudicatario de la Obligación de Prestación del Servicio para la Actividad de Generación Asume el Riesgo de Demanda. Si se asigna el riesgo de demanda al prestador del servicio, el cargo de generación se calculará de la siguiente manera:

Donde:
Gm: Cargo de generación, para el mes m, expresado en pesos por kilovatio hora ($/kWh)
GIAOMm: Remuneración de la inversión y de los gastos de AOM en generación, para el mes m. En estos gastos no se considera el combustible utilizado en la operación. Este valor, expresado en pesos por kilovatio hora ($/kWh), se estimará así:

Donde:
PIAOMg: Cargo máximo regulado mensual, que remunera las inversiones del prestador del servicio en activos de la actividad de generación y los gastos de AOM en los que se incurra en desarrollo de esta actividad. Este cargo, expresado en pesos por kilovatio hora ($/kWh) del mes anterior al de la realización del Proceso Competitivo, será el ofertado por el adjudicatario de la Obligación de Prestación del Servicio en la propuesta que presente en dicho proceso.
IPPm-1: Índice de Precios al Productor publicado por el DANE, para el mes m-1.
IPP0: Índice de Precios al Productor publicado por el DANE, para el mes anterior al de realización del Proceso Competitivo.
Gcm: Remuneración de los costos de los combustibles puestos en el sitio de operación de las plantas del Parque de Generación, para el mes m. Este valor, expresado en pesos por kilovatio hora ($/kWh), se calculará así:

Donde:
Etm-1: Energía total entregada al Sistema de Distribución en el mes m-1, por las n plantas del Parque de Generación. Este valor se expresa en kilovatios hora (kWh).
CECi: Consumo específico de combustible de la planta i del Parque de Generación, expresado en millones de BTU por kilovatio hora (MBTU/kWh). En caso que la planta utilice diesel o fuel oil como combustible, este consumo será expresado en galones por kilovatio hora (gal/kWh). El valor de esta variable será el ofertado por el adjudicatario de la Obligación de Prestación del Servicio, para cada planta i a utilizar, en la propuesta que presente en el Proceso Competitivo.
PCm: Precio del combustible de origen fósil puesto en el sitio de la planta i del Parque de Generación, en el mes m, expresado en pesos por millón de BTU ($/MBTU) de forma general y en pesos por galón ($/gal) cuando el combustible empleado sea diesel o fuel oil. El precio del combustible puesto en el sitio de la planta será definido por el Ministerio de Minas y Energía, con excepción del caso en que se utilice gas combustible, cuyo precio será regulado por la CREG en resolución posterior.
Eim-1: Energía entregada al Sistema de Distribución por la planta i, en el mes m-1, expresada en kilovatios hora (kWh).
Mm: Cargo de la Actividad de Monitoreo, para el mes m, expresado en pesos por kilovatio hora ($/kWh).
Artículo 51. Determinación del Cargo de Distribución Cuando el Usuario Asume el Riesgo de Demanda. Si se asigna el riesgo de demanda a los usuarios del servicio, el cargo de distribución se calculará de la siguiente manera:

Donde:
Dm: Cargo de distribución, para el mes m, expresado en pesos por kilovatio hora ($/kWh).
IAOMdt: Ingreso máximo regulado para el Año t del Período de Vigencia, que remunera las inversiones del prestador del servicio en activos de la actividad de distribución y los gastos de AOM en los que incurra en desarrollo de esta actividad. Este ingreso, expresado en pesos ($) del mes anterior al de la realización del Proceso Competitivo, será el ofertado por el adjudicatario de la Obligación de Prestación del Servicio en la propuesta que presente en dicho proceso.
IPPm-1: Índice de Precios al Productor publicado por el DANE, para el mes m-1.
IPP0: Índice de Precios al Productor publicado por el DANE, para el mes anterior al de realización del Proceso Competitivo.
Vp-1: Promedio de las Ventas mensuales de energía de los últimos doce (12) meses, expresado en kilovatios hora (kWh).

Vm-i: Ventas de energía del mes m-i, expresado en kilovatios hora (kWh).
FAm: Factor de ajuste al ingreso máximo regulado, para el mes m. Este ajuste se hará a partir del segundo mes del Período de Vigencia, de la siguiente manera:
Vp-2: Promedio de las Ventas mensuales de energía de los doce (12) meses anteriores al mes anterior, expresado en kilovatios hora (kWh).
Artículo 52. Determinación del Cargo de Distribución Cuando el Adjudicatario de la Obligación de Prestación del Servicio para la Actividad de Distribución Asume el Riesgo de Demanda. Si se asigna el riesgo de demanda al prestador del servicio, el cargo de distribución se calculará de la siguiente manera:

Donde:
Dm: Cargo de distribución, para el mes m, expresado en pesos por kilovatio hora ($/kWh).
PIAOMd: Cargo máximo regulado mensual, que remunera las inversiones del prestador del servicio en activos de la actividad de distribución y los gastos de AOM en los que se incurra en desarrollo de esta actividad. Este cargo, expresado en pesos por kilovatio hora ($/kWh) del mes anterior al de la realización del Proceso Competitivo, será el ofertado por el adjudicatario de la Obligación de Prestación del Servicio en la propuesta que presente en dicho proceso.
IPPm-1: Índice de Precios al Productor publicado por el DANE, para el mes m-1.
IPP0: Índice de Precios al Productor publicado por el DANE, para el mes anterior al de realización del Proceso Competitivo.
Artículo 53. Determinación del Cargo de Comercialización Cuando los Usuarios Asumen el Riesgo de Demanda. Si se asigna el riesgo de demanda a los usuarios del servicio, el cargo de comercialización se calculará de la siguiente manera:

Donde:
Cm: Cargo de comercialización, para el mes m, expresado en pesos por kilovatio hora ($/kWh)
IAOMct: Ingreso máximo regulado para el Año t del Período de Vigencia, que remunera las inversiones del prestador del servicio en activos de la actividad de comercialización y los gastos de AOM en los que incurra en desarrollo de esta actividad. Este ingreso, expresado en pesos ($) del mes anterior al de la realización del Proceso Competitivo, será el ofertado por el adjudicatario de la Obligación de Prestación del Servicio en la propuesta que presente en dicho proceso.
IPPm-1: Índice de Precios al Productor publicado por el DANE, para el mes m-1.
IPP0: Índice de Precios al Productor publicado por el DANE, para el mes anterior al de realización del Proceso Competitivo.
Vp-1: Promedio de las Ventas mensuales de energía de los últimos doce (12) meses, expresado en kilovatios hora (kWh).

Vm-i: Ventas de energía del mes m-i, expresado en kilovatios hora (kWh).
FAm: Factor de ajuste al ingreso máximo regulado, para el mes m. Este ajuste se hará a partir del segundo mes del Período de Vigencia, de la siguiente manera:
Vp-2: Promedio de las Ventas mensuales de energía de los doce (12) meses anteriores al mes anterior, expresado en kilovatios hora (kWh).
Artículo 54. Determinación del Cargo de Comercialización Cuando el Adjudicatario de la Obligación de Prestación del Servicio para la Actividad de Comercialización Asume el Riesgo de Demanda. Si se asigna el riesgo de demanda al adjudicatario, el cargo de comercialización se calculará de la siguiente manera:

Donde:
PIAOMc: Cargo máximo regulado mensual, que remunera las inversiones del prestador del servicio en activos de la actividad de comercialización y los gastos de AOM en los que se incurra en desarrollo de esta actividad. Este cargo, expresado en pesos por kilovatio hora ($/kWh) del mes anterior al de la realización del Proceso Competitivo, será el ofertado por el adjudicatario de la Obligación de Prestación del Servicio en la propuesta que presente en dicho proceso.
IPPm-1: Índice de Precios al Productor publicado por el DANE, para el mes m-1.
IPP0: Índice de Precios al Productor publicado por el DANE, para el mes anterior al de realización del Proceso Competitivo.
CAPITULO X
FÓRMULA TARIFARIA PARA LAS ÁREAS DE SERVICIO EXCLUSIVO CONFORMADAS PARA TODAS LAS ACTIVIDADES DEL SERVICIO PÚBLICO DE ENERGÍA ELÉCTRICA EN LAS ZONAS NO INTERCONECTADAS
Artículo 55. Fórmulas Tarifarias Generales para Usuarios Regulados del Servicio Público de Energía Eléctrica para Procesos Competitivos por Todas las Actividades Cuando los Usuarios Asumen el Riesgo de Demanda. Cuando la Autoridad Contratante realice un único Proceso Competitivo para adjudicar la Obligación de Prestación del Servicio de todas las actividades para la prestación del servicio público domiciliario de energía eléctrica en un Área de Servicio Exclusivo y se asigne el riesgo de demanda a los usuarios del servicio, la Fórmula Tarifaria General aplicable a los Usuarios Regulados del servicio público domiciliario de energía eléctrica tendrá los siguientes componentes:

Donde:
CUm: Costo Unitario de Prestación del Servicio de Energía Eléctrica, para el mes m, expresado en pesos por kilovatio hora ($/kWh).
IAOMm: Remuneración de la inversión y de los gastos de AOM en generación, distribución y comercialización, para el mes m. En estos gastos no se considera el combustible utilizado en la operación. Este valor, expresado en pesos por kilovatio hora ($/kWh), se estimará así:

Donde:
IAOMt: Ingreso máximo regulado para el Año t del Período de Vigencia, que remunera las inversiones del prestador del servicio en activos de las actividades de generación, distribución y comercialización y los gastos de AOM en los que incurra en desarrollo de estas actividades. Este ingreso, expresado en pesos ($) del mes anterior al de la realización del Proceso Competitivo, será el ofertado por el adjudicatario de la Obligación de Prestación del Servicio en la propuesta que presente en dicho proceso.
IPPm-1: Índice de Precios al Productor publicado por el DANE, para el mes m-1.
IPP0: Índice de Precios al Productor publicado por el DANE, para el mes anterior al de realización del Proceso Competitivo.
Vp-1: Promedio de las Ventas mensuales de energía de los últimos doce (12) meses, expresado en kilovatios hora (kWh).

Vm-i: Ventas de energía del mes m-i, expresado en kilovatios hora (kWh).
FAm: Factor de ajuste al ingreso máximo regulado, para el mes m. Este ajuste se hará a partir del segundo mes del Período de Vigencia, de la siguiente manera:
Vp-2: Promedio de las Ventas mensuales de energía de los doce (12) meses anteriores al mes anterior, expresado en kilovatios hora (kWh).
Gcm: Remuneración de los costos de combustible puestos en el sitio de operación de las plantas del Parque de Generación, para el mes m. Este valor, expresado en pesos por kilovatio hora ($/kWh), se calculará así:

Donde:
Etm-1: Energía total entregada al Sistema de Distribución en el mes m-1, por las n plantas del Parque de Generación. Este valor se expresa en kilovatios hora (kWh).
CECi: Consumo específico de combustible de la planta i del Parque de Generación, expresado en millones de BTU por kilovatio hora (MBTU/kWh). En caso que la planta utilice diesel o fuel oil como combustible, este consumo será expresado en galones por kilovatio hora (gal/kWh). El valor de esta variable será el ofertado por el adjudicatario de la Obligación de Prestación del Servicio, para cada planta i a utilizar, en la propuesta que presente en el Proceso Competitivo.
PCm: Precio del combustible de origen fósil puesto en el sitio de la planta i del Parque de Generación, en el mes m, expresado en pesos por millón de BTU ($/MBTU) de forma general y en pesos por galón ($/gal) cuando el combustible empleado sea diesel o fuel oil. El precio del combustible puesto en el sitio de la planta será definido por el Ministerio de Minas y Energía, con excepción del caso en que se utilice gas combustible, cuyo precio será regulado por la CREG en resolución posterior.
Eim-1: Energía entregada al Sistema de Distribución por la planta i, en el mes m-1, expresada en kilovatios hora (kWh).
n: Número de plantas que pertenecen al Parque de Generación y fueron utilizadas en el mes m.
Am: Ahorro en los costos de combustibles de origen fósil, en el mes m, expresado en pesos por kilovatio hora ($/kWh), calculado de la siguiente manera:
Donde:
Etm-1: Energía total entregada al Sistema de Distribución en el mes m-1, por las n plantas del Parque de Generación. Este valor se expresa en kilovatios hora (kWh).
CECi: Consumo específico de combustible de origen fósil de la planta i del Parque de Generación Inicial, cuyo combustible fue sustituido por uno renovable o por otro fósil más económico. Esta variable se expresa en millones de BTU por kilovatio hora (MBTU/kWh). En caso que la planta utilizara diesel o fuel oil como combustible, este consumo será expresado en galones por kilovatio hora (gal/kWh). El valor de esta variable será el ofertado por el adjudicatario de la Obligación de Prestación del Servicio, para cada planta i, en la propuesta que presente en el Proceso Competitivo. En caso de ser necesaria la aplicación de una equivalencia calorífica, ésta será determinada por el Ministerio de Minas y Energía.
∆PCm: Diferencia entre el precio del combustible fósil puesto en el sitio de la planta i del Parque de Generación Inicial y el precio del combustible fósil sustituto puesto en el sitio de la planta. Para aquellos casos en que se sustituya un combustible fósil por un recurso renovable, ∆PCm será equivalente al precio del combustible fósil puesto en el sitio de la planta i del Parque de Generación Inicial. En caso de ser necesaria la aplicación de una equivalencia calorífica, ésta será determinada por el Ministerio de Minas y Energía.
eim-1: Energía entregada al Sistema de Distribución, en el mes m-1, por la planta i del Parque de Generación cuyo combustible fue sustituido por uno renovable o por otro fósil más económico. Esta variable se expresa en kilovatios hora (kWh).
k: Número de plantas que sustituyeron el combustible de origen fósil por un recurso renovable u otro combustible fósil más económico.
Mm: Cargo de la Actividad Monitoreo, para el mes m, expresado en pesos por kilovatio hora ($/kWh).
pm: Pérdidas de Energía para el mes m. Este nivel de pérdidas será el ofertado por el adjudicatario de la Obligación de Prestación del Servicio en la propuesta que presente en el Proceso Competitivo. El valor de pm se expresa como una fracción.
Parágrafo 1. El componente Am únicamente se aplicará para aquellas plantas del Parque de Generación cuya sustitución no haya sido incorporada en la oferta del adjudicatario de la obligación de prestación del servicio y que se instalen a partir del sexto año del Periodo de Vigencia del contrato, en reemplazo de otras plantas que utilicen combustibles de origen fósil.
Parágrafo 2. El componente Am únicamente se reconocerá cuando la eficiencia de la planta sea mayor o igual a la oferta realizada con el combustible inicial.
Parágrafo 3. En caso que el combustible fósil sustituido sea gas combustible, para efectos del cálculo de la variable ∆PCm el valor del precio del combustible fósil puesto en el sitio de la planta i del Parque de Generación Inicial será el precio del gas determinado en el último contrato celebrado por el adjudicatario de la obligación de prestación del servicio de energía eléctrica en el ASE, indexado por el Índice de Precios al Productor – IPP.
Artículo 56. Fórmulas Tarifarias Generales para Usuarios Regulados del Servicio Público de Energía Eléctrica para Procesos Competitivos por Todas las Actividades Cuando el Adjudicatario de la Obligación de Prestación del Servicio Asume el Riesgo de Demanda. Cuando la Autoridad Contratante realice un único Proceso Competitivo para adjudicar la Obligación de Prestación del Servicio de todas las actividades para la prestación del servicio público domiciliario de energía eléctrica en un Área de Servicio Exclusivo y se asigne el riesgo de demanda al adjudicatario de la Obligación de Prestación del Servicio, la Fórmula Tarifaria General aplicable a los Usuarios Regulados del servicio público domiciliario de energía eléctrica tendrá los siguientes componentes:

Donde:
CUm: Costo Unitario de Prestación del Servicio de Energía Eléctrica, para el mes m, expresado en pesos por kilovatio hora ($/kWh).
IAOMm: Remuneración de la inversión y de los gastos de AOM en generación, distribución y comercialización, para el mes m. En estos gastos no se considera el combustible utilizado en la operación. Este valor, expresado en pesos por kilovatio hora ($/kWh), se estimará así:

PIAOM: Cargo máximo regulado mensual, que remunera las inversiones del prestador del servicio en activos de las actividades de generación, distribución y comercialización y los gastos de AOM en los que se incurra en desarrollo de estas actividades. Este cargo, expresado en pesos por kilovatio hora ($/kWh) del mes anterior al de la realización del Proceso Competitivo, será el ofertado por el adjudicatario de la Obligación de Prestación del Servicio en la propuesta que presente en dicho proceso.
IPPm-1: Índice de Precios al Productor publicado por el DANE, para el mes m-1.
IPP0: Índice de Precios al Productor publicado por el DANE, para el mes anterior al de realización del Proceso Competitivo.
Gcm: Remuneración de los costos de combustible puestos en el sitio de operación de las plantas del Parque de Generación, para el mes m. Este valor, expresado en pesos por kilovatio hora ($/kWh), se calculará así:

Donde:
Etm-1: Energía total entregada al Sistema de Distribución en el mes m-1, por las n plantas del Parque de Generación. Este valor se expresa en kilovatios hora (kWh).
CECi: Consumo específico de combustible de la planta i del Parque de Generación, expresado en millones de BTU por kilovatio hora (MBTU/kWh). En caso que la planta utilice diesel o fuel oil como combustible, este consumo será expresado en galones por kilovatio hora (gal/kWh). El valor de esta variable será el ofertado por el adjudicatario de la Obligación de Prestación del Servicio, para cada planta i a utilizar, en la propuesta que presente en el Proceso Competitivo.
PCm: Precio del combustible de origen fósil puesto en el sitio de la planta i del Parque de Generación, en el mes m, expresado en pesos por millón de BTU ($/MBTU) de forma general y en pesos por galón ($/gal) cuando el combustible empleado sea diesel o fuel oil. El precio del combustible puesto en el sitio de la planta será definido por el Ministerio de Minas y Energía, con excepción del caso en que se utilice gas combustible, cuyo precio será regulado por la CREG en resolución posterior.
Eim-1: Energía entregada al Sistema de Distribución por la planta i, en el mes m-1, expresada en kilovatios hora (kWh).
n: Número de plantas que pertenecen al Parque de Generación y fueron utilizadas en el mes m.
Am: Ahorro en los costos de combustibles de origen fósil, en el mes m, expresado en pesos por kilovatio hora ($/kWh), calculado de la siguiente manera:

Etm-1: Energía total entregada al Sistema de Distribución en el mes m-1, por las n plantas del Parque de Generación. Este valor se expresa en kilovatios hora (kWh).
CECi: Consumo específico de combustible de origen fósil de la planta i del Parque de Generación Inicial, cuyo combustible fue sustituido por uno renovable o por otro fósil más económico. Esta variable se expresa en millones de BTU por kilovatio hora (MBTU/kWh). En caso que la planta utilizara diesel o fuel oil como combustible, este consumo será expresado en galones por kilovatio hora (gal/kWh). El valor de esta variable será el ofertado por el adjudicatario de la Obligación de Prestación del Servicio, para cada planta i, en la propuesta que presente en el Proceso Competitivo. En caso de ser necesaria la aplicación de una equivalencia calorífica, ésta será determinada por el Ministerio de Minas y Energía.
∆PCm: Diferencia entre el precio del combustible fósil puesto en el sitio de la planta i del Parque de Generación Inicial y el precio del combustible fósil sustituto puesto en el sitio de la planta. Para aquellos casos en que se sustituya un combustible fósil por un recurso renovable, ∆PCm será equivalente al precio del combustible fósil puesto en el sitio de la planta i del Parque de Generación Inicial. En caso de ser necesaria la aplicación de una equivalencia calorífica, ésta será determinada por el Ministerio de Minas y Energía.
eim-1: Energía entregada al Sistema de Distribución, en el mes m-1, por la planta i del Parque de Generación cuyo combustible fue sustituido por uno renovable o por otro fósil más económico. Esta variable se expresa en kilovatios hora (kWh).
k: Número de plantas que sustituyeron el combustible de origen fósil por un recurso renovable u otro combustible fósil más económico.
Mm: Cargo de la Actividad Monitoreo, para el mes m, expresado en pesos por kilovatio hora ($/kWh).
pm: Pérdidas de Energía para el mes m. Este nivel de pérdidas será el ofertado por el adjudicatario de la Obligación de Prestación del Servicio en la propuesta que presente en el Proceso Competitivo. El valor de pm se expresa como una fracción.
Parágrafo 1. El componente Am únicamente se aplicará para aquellas plantas del Parque de Generación cuya sustitución no haya sido incorporada en la oferta del adjudicatario de la obligación de prestación del servicio y que se instalen a partir del sexto año del Periodo de Vigencia del contrato, en reemplazo de otras plantas que utilicen combustibles de origen fósil.
Parágrafo 2. El componente Am únicamente se reconocerá cuando la eficiencia de la planta sea mayor o igual a la oferta realizada con el combustible inicial.
Parágrafo 3. En caso que el combustible fósil sustituido sea gas combustible, para efectos del cálculo de la variable ∆PCm el valor del precio del combustible fósil puesto en el sitio de la planta i del Parque de Generación Inicial será el precio del gas determinado en el último contrato celebrado por el adjudicatario de la obligación de prestación del servicio de energía eléctrica en el ASE, indexado por el Índice de Precios al Productor – IPP.
CAPITULO XI
TARIFA DEL SERVICIO PÚBLICO DE ENERGÍA ELÉCTRICA PARA LAS ZONAS NO INTERCONECTADAS
Artículo 57. Tarifa. La tarifa aplicable a los usuarios regulados del servicio público domiciliario de energía eléctrica de las Zonas No Interconectadas se determinará así:

Donde:
Tm,k: Tarifa para el mes m, aplicable al estrato socioeconómico k, expresada en pesos por kilovatio hora ($/kWh).
CUm: Costo Unitario de Prestación del Servicio de Energía Eléctrica, para el mes m, expresado en pesos por kilovatio hora ($/kWh).
Sm,k: Subsidio por menores tarifas determinado por el Ministerio de Minas y Energía para el estrato socioeconómico k, expresado en pesos por kilovatio hora ($/kWh).
k: Corresponde al estrato socioeconómico aplicable según la normatividad vigente.”
Artículo 5. Vigencia de la presente Resolución. La presente resolución rige a partir de su publicación en el Diario Oficial y deroga las disposiciones que le sean contrarias.
PUBLÍQUESE Y CÚMPLASE
Dada en Bogotá, D.C.,
MANUEL MAIGUASHCA OLANO | HERNÁN MOLINA VALENCIA |
Viceministro de Minas y Energía | Director Ejecutivo |
Delegado del Ministro de Minas y Energía
Presidente | |
|
Doble click sobre el archivo anexo para bajarlo(Resoluciones CREG) |
Doble click sobre el archivo anexo para bajarlo(Documento CREG) |
|