| Publicación Diario Oficial No.: | 47.201, el día:12/December/2008 |
| Publicada en la WEB CREG el: | 11/December/2008 |
| RESOLUCIÓN No.152 ( 05 DIC. 2008 )
Por la cual se ordena hacer público un proyecto de resolución de carácter general que pretende expedir la CREG con el fin de definir las reglas para verificar la existencia de los motivos que permiten la inclusión de áreas de servicio exclusivo en los contratos y los lineamientos generales y las condiciones a las cuales deben someterse ellos, para la prestación del servicio público domiciliario de energía eléctrica en el Archipiélago de San Andrés, Providencia y Santa Catalina.
LA COMISIÓN DE REGULACIÓN DE ENERGÍA Y GAS En ejercicio de sus facultades legales, en especial de las conferidas por las Leyes 142 y 143 de 1994, y en desarrollo de los Decretos 2253 de 1994 y 2696 de 2004,
C O N S I D E R A N D O:
Que mediante la Resolución CREG 072 de 2008, la Comisión de Regulación de Energía y Gas sometió a consulta la propuesta regulatoria que establece las condiciones para la inclusión de cláusulas de exclusividad en contratos de concesión y la determinación de cargos máximos por competencia a la entrada para la prestación del servicio público domiciliario de energía eléctrica en el Archipiélago de San Andrés, Providencia y Santa Catalina.
Que la Comisión de Regulación de Energía y Gas adelantó un taller en la ciudad de San Andrés, el día 27 de octubre de 2008, en el cual se expuso la propuesta regulatoria.
Que la Comisión de Regulación de Energía y Gas ha realizado reuniones con el Ministerio de Minas y Energía en las cuales se recibieron comentarios a la propuesta sometida a consulta.
Que por lo anterior, la Comisión de Regulación de Energía y Gas considera pertinente publicar nuevamente el texto del proyecto de resolución con el fin de que los agentes, usuarios y terceros interesados, puedan conocer los ajustes propuestos y presentar sus observaciones, sugerencias y propuestas.
Que la Comisión de Regulación de Energía y Gas, en su Sesión No. 395 del día 5 de diciembre de 2008, aprobó hacer público el proyecto de resolución “Por la cual se definen las reglas para verificar la existencia de los motivos que permiten la inclusión de áreas de servicio exclusivo en los contratos y los lineamientos generales y las condiciones a las cuales deben someterse ellos, para la prestación del servicio público domiciliario de energía eléctrica en el Archipiélago de San Andrés, Providencia y Santa Catalina”.
R E S U E L V E:
ARTÍCULO 1o. Hágase público el proyecto de resolución por la cual se definen las reglas para verificar la existencia de los motivos que permiten la inclusión de áreas de servicio exclusivo en los contratos y los lineamientos generales y las condiciones a las cuales deben someterse ellos, para la prestación del servicio público domiciliario de energía eléctrica en el Archipiélago de San Andrés, Providencia y Santa Catalina.
ARTÍCULO 2o. Se invita a los agentes, a los usuarios, a las autoridades locales municipales y departamentales competentes y a la Superintendencia de Servicios Públicos Domiciliarios, para que remitan sus observaciones o sugerencias sobre la propuesta, dentro de los seis (6) días calendario siguientes a la publicación de la presente Resolución en la página Web de la Comisión de Regulación de Energía y Gas.
ARTÍCULO 3o. Infórmese en la página web la identificación de la dependencia administrativa y de las personas a quienes se podrá solicitar información sobre el proyecto y hacer llegar las observaciones, reparos o sugerencias, y los demás aspectos previstos en el artículo 10 del Decreto 2696 de 2004.
ARTÍCULO 4o. La presente Resolución no deroga disposiciones vigentes por tratarse de un acto de trámite.
PUBLÍQUESE Y CÚMPLASE
Dada en Bogotá, D.C., 05 DIC. 2008
MANUEL MAIGUASHCA OLANO | HERNÁN MOLINA VALENCIA |
Viceministro de Minas y Energía | Director Ejecutivo |
delegado del Ministro de Minas y Energía
Presidente |  |
PROYECTO DE RESOLUCIÓN
Por la cual se definen las reglas para verificar la existencia de los motivos que permiten la inclusión de áreas de servicio exclusivo en los contratos y los lineamientos generales y las condiciones a las cuales deben someterse ellos, para la prestación del servicio público domiciliario de energía eléctrica en el Archipiélago de San Andrés, Providencia y Santa Catalina.
LA COMISIÓN DE REGULACIÓN DE ENERGÍA Y GAS
En ejercicio de las atribuciones legales, en especial las conferidas por las Leyes 142 de 1994 y 143 de 1994, y en desarrollo de los decretos 1524 y 2253 de 1994, 2696 de 2004 y
C O N S I D E R A N D O:
Que según el Artículo 74.1 de la Ley 142 de 1994 la Comisión de Regulación de Energía y Gas es competente para regular el ejercicio de las actividades de los sectores de energía y gas combustible.
Que la Comisión de Regulación de Energía y Gas tiene la función de regular los monopolios en la prestación del servicio público domiciliario de energía eléctrica, cuando la competencia no sea, de hecho, posible; y en los demás casos, la de promover la competencia entre quienes presten servicios públicos, para que las operaciones de los monopolistas o de los competidores sean económicamente eficientes, no impliquen abuso de la posición dominante y produzcan servicios de calidad.
Que el Artículo 65 de la Ley 1151 de 2007 estableció que “El Ministerio de Minas y Energía diseñará esquemas sostenibles de gestión para la prestación del servicio de energía eléctrica en las Zonas no Interconectadas. Para este propósito, podrá establecer áreas de servicio exclusivo para todas las actividades involucradas en el servicio de energía eléctrica”.
Que de conformidad con el Parágrafo 1° del Artículo 40 de la Ley 142 de 1994, la CREG debe definir, por vía general, cómo se verifica la existencia de los motivos que permiten la inclusión de áreas de servicio exclusivo en los contratos para la prestación del servicio público domiciliario de energía eléctrica, así como los lineamientos generales y las condiciones a las cuales deben someterse ellos; y, antes de que se abra una licitación que incluya estas cláusulas dentro de los contratos propuestos, verificará que ellas sean indispensables para asegurar la viabilidad financiera de la extensión de la cobertura a las personas de menores ingresos.
Que de conformidad con lo establecido en el Artículo 126 de la Ley 142 de 1994, las fórmulas tarifarias tendrán un el período de vigencia de cinco (5) años, al cabo del cual continuarán rigiendo mientras la Comisión no fije las nuevas.
Que el Artículo 6 de la Ley 143 de 1994, entre otros aspectos, establece que las actividades relacionadas con el servicio de electricidad se regirán por el principio de adaptabilidad que conduce a la incorporación de los avances de la ciencia y la tecnología que aporten mayor calidad y eficiencia en la prestación del servicio al menor costo económico.
Que conforme a lo establecido en el artículo 71 de la Ley 143 de 1994 le corresponde al Gobierno Nacional ejecutar directamente o a través de terceros, las actividades relacionadas con la generación, transmisión y distribución de energía en zonas no interconectadas del país, para lo cual debe promover inversiones eficientes con los recursos del presupuesto nacional.
Que de conformidad con el artículo 74 de la Ley 143 de 1994 las empresas prestadoras del servicio público de energía eléctrica localizadas en las Zonas No Interconectadas podrán desarrollar en forma integrada las actividades de generación, distribución y comercialización.
Que el Artículo 1° de la Ley 855 de 2003 define las Zonas No Interconectadas como los municipios, corregimientos, localidades y caseríos no conectadas al Sistema Interconectado Nacional, SIN.
Que de acuerdo con lo establecido en el Artículo 978 del Código de Comercio, cuando la prestación de un servicio público está regulada por el Gobierno, las condiciones de los contratos deben sujetarse a los respectivos reglamentos.
Que la Comisión de Regulación de Energía y Gas expidió la Resolución CREG 073 de 1998, por la cual se aprobó la fórmula general que permite a los comercializadores de electricidad establecer el costo de prestación del servicio a usuarios regulados en el Archipiélago de San Andrés y Providencia y se dictan otras disposiciones.
Que la Resolución CREG 073 de 1998 fue modificada por las Resoluciones CREG 092 y 111 de 2001.
Que mediante Resolución CREG 018 de 2003, la Comisión de Regulación de Energía y Gas sometió a consideración de los agentes, usuarios y terceros interesados, las bases conceptuales sobre las cuales se establecerá la fórmula tarifaria de energía eléctrica aplicable a los usuarios regulados del Archipiélago de San Andrés y Providencia, para el próximo período tarifario, en cumplimiento del Artículo 127 de la Ley 142 de 1994.
Que mediante las Resoluciones CREG 072 y 085 de 2008 la Comisión de Regulación de Energía y Gas sometió a consulta las normas sobre el marco regulatorio y tarifario para la prestación del servicio público de energía eléctrica en el Archipiélago de San Andrés, Providencia y Santa Catalina.
Que el 27 de octubre de 2008, la Comisión de Regulación de Energía y Gas llevó a cabo un taller en la ciudad de San Andrés, al cual fueron invitados los vocales de control social, la Superintendencia de Servicios Públicos, los prestadores del servicio público de energía eléctrica, las autoridades departamentales, y los usuarios en general, con el fin de presentar la propuesta, absolver preguntas y recibir comentarios.
Que el Comité de Expertos analizó las memorias escritas de las consultas públicas, los comentarios y las informaciones allegadas en las audiencias públicas, las cuales están contenidas en el Documento CREG 094 de 2008.
R E S U E L V E:
Artículo 1. La presente Resolución tiene como objeto establecer cómo se verificará la existencia de los motivos que permiten la inclusión de áreas de servicio exclusivo en los contratos y los lineamientos generales y condiciones a las cuales deben someterse ellos para la prestación del servicio público domiciliario de energía eléctrica en el Archipiélago de San Andrés, Providencia y Santa Catalina.
CAPÍTULO I
DEFINICIONES Y AMBITO DE APLICACION
Artículo 2. Definiciones. Para la interpretación y aplicación de esta Resolución se tendrán en cuenta, además de las definiciones contenidas en las Leyes 142 y 143 de 1994 y en las resoluciones vigentes de la CREG, las siguientes:
Actividad de Monitoreo: Actividad consistente en la recolección, administración y procesamiento centralizado de la información de cantidad, calidad y continuidad del servicio de generación de energía eléctrica en las Zonas No Interconectadas, a través de equipos y sistemas de información.
Año: Cada Período de 365 días calendario, ó de 366 si es bisiesto. Los años se contarán sucesivamente y siempre tendrán como primero y último día el mismo número del día correspondiente al mes en que inició el Periodo de Vigencia.
AOM: Corresponde a las labores de administración, operación y mantenimiento.
Área de Servicio Exclusivo: Es el área geográfica correspondiente a los municipios, cabeceras municipales o centros poblados sobre las cuales la Autoridad Contratante otorga exclusividad en la prestación del servicio mediante contratos.
Autoridad Contratante: Para efectos de la presente resolución es el Ministerio de Minas y Energía, de conformidad con lo establecido en el artículo 65 de la ley 1151 de 2007.
BTU: British Thermal Unit.
Comercialización: Actividad que consiste en la intermediación comercial entre los agentes que prestan los servicios de generación, transmisión y distribución de energía eléctrica y los usuarios de dichos servicios, bien sea que esa actividad se desarrolle o no en forma combinada con otras actividades del sector eléctrico, según lo dispuesto por la regulación y la ley.
Comercializador: Persona jurídica que desarrolla la actividad de Comercialización en el Archipiélago de San Andrés, Providencia y Santa Catalina.
Costo Unitario de Prestación del Servicio de Energía Eléctrica (CU): Es el costo económico eficiente de prestación del servicio de energía eléctrica al usuario regulado, expresado en pesos por kilovatio hora ($/kWh) que resulta de aplicar la Fórmula Tarifaria General establecida en la presente resolución, y que corresponde a la suma de los costos eficientes de cada una de las actividades de la cadena eléctrica.
Distribuidor de Energía Eléctrica: Persona encargada de la administración, la planeación, la expansión, la operación y el mantenimiento de todo o parte de la capacidad de un Sistema de Distribución. Los activos utilizados pueden ser de su propiedad o de terceros.
Empresas de Servicios Públicos: Las definidas en el Título I, Capítulo I, de la Ley 142 de 1994.
Fórmula Tarifaria General o Fórmula Tarifaria: Conjunto de criterios y de métodos de tipo general en virtud de los cuales se determina, a los Comercializadores de energía eléctrica que atienden a usuarios regulados, el costo promedio por unidad.
Mercado Relevante de Comercialización: Conjunto de usuarios conectados a un mismo Sistema de Distribución local o atendido sin red física por un Distribuidor de Energía Eléctrica.
Obligación de Prestación del Servicio: Vínculo resultante del Proceso Competitivo que impone a un agente el deber de prestar el servicio de una o varias actividades del servicio de energía eléctrica en un Área de Servicio Exclusivo durante el Período de Vigencia, según lo definido previamente en dicho Proceso Competitivo.
Parque de Generación: Conjunto de unidades de generación con el que se atiende un Mercado Relevante de Comercialización.
Pérdidas de Energía: Es la energía perdida en un Sistema de Distribución y reconocida por la Comisión de Regulación de Energía y Gas.
Período de Planeación: Período de tiempo que transcurre entre la fecha de ejecución del Proceso Competitivo y la fecha de inicio del Período de Vigencia de la Obligación de Prestación del Servicio asignada en dicho proceso.
Período de Preparación: Período de tiempo que transcurre entre la fecha de anuncio de la ejecución del Proceso Competitivo y el día de realización del mismo.
Período de Vigencia: Período de tiempo durante el cual se genera la Obligación de Prestación del Servicio.
Proceso Competitivo: Invitación pública abierta para concursar por la asignación de la Obligación de Prestación del Servicio en un Área de Servicio Exclusivo con reglas definidas por la Autoridad Contratante para la determinación del precio y para asignar la obligación correspondiente.
Sistema de Distribución: Es el conjunto de redes físicas de uso público que transportan energía eléctrica desde la barra de un generador hasta el punto de derivación de las acometidas de los inmuebles, sin incluir su conexión y medición. No se incluyen los transformadores elevadores ni servicios auxiliares del generador.
Zonas No Interconectadas: Para todos los efectos relacionados con la prestación del servicio público de energía eléctrica se entiende por Zonas No Interconectadas a los municipios, corregimientos, localidades y caseríos no conectadas al Sistema Interconectado Nacional, SIN.
Artículo 3. Ámbito de Aplicación. Esta Resolución se aplica para la conformación, verificación y contratación de las Áreas de Servicio Exclusivo por parte del Ministerio de Minas y Energía para el Archipiélago de San Andrés, Providencia y Santa Catalina, según lo previsto en la Ley 1151 de 2007 o aquella que la modifique.
Artículo 4. Remuneración de la prestación del servicio. La remuneración de la prestación del servicio en el Archipiélago de San Andrés, Providencia y Santa Catalina se podrá efectuar por una de las siguientes metodologías: i) cargos determinados por competencia a la entrada mediante los Procesos Competitivos de que tratan los Capítulos III y IV de la presente Resolución; o ii) cargos regulados determinados por costos medios, según lo establezca la CREG.
CAPÍTULO II
AREAS DE SERVICIO EXCLUSIVO
Artículo 5. Intervención de la Comisión previa a la apertura de la invitación. Como requisito para que la Autoridad Contratante proceda a la apertura de la invitación pública para otorgar un Área de Servicio Exclusivo, la Comisión debe señalar por medio de una resolución que el área conformada cumple con las condiciones a que se refiere el Artículo 6 de la presente resolución y debe definir cuál metodología se empleará para remunerar la prestación del servicio, según lo previsto en los Capítulos III y IV de la presente Resolución. La Comisión decidirá sobre estos aspectos en un plazo de treinta (30) días desde la fecha en que reciba la respectiva solicitud de la Autoridad Contratante.
Artículo 6. Criterios de verificación para la conformación de Áreas de Servicio Exclusivo. Para verificar que las Áreas de Servicio Exclusivo propuestas por la Autoridad Contratante son indispensables como esquema de gestión sostenible para la prestación del servicio de energía eléctrica en el Archipiélago de San Andrés, Providencia y Santa Catalina, conforme a lo definido en el artículo 65 de la Ley 1151 de 2007, la Comisión tendrá en cuenta los siguientes criterios:
a)La conformación del área geográfica para la prestación del servicio debe asegurar la extensión de la cobertura y el mejoramiento de la calidad en la prestación del mismo.
b)La conformación del área geográfica debe asegurar la gestión sostenible para la prestación del servicio de energía eléctrica.
c)La conformación del área geográfica debe buscar los menores costos mediante el aprovechamiento de economías de escala, economías de alcance, economías derivadas de la localización geográfica y la dotación de recursos naturales.
Artículo 7. Producto a ofrecer en el Proceso Competitivo. La Autoridad Contratante definirá de manera precisa, al inicio del Período de Preparación, el Área de Servicio Exclusivo, el Período de Vigencia, los compromisos de cobertura, las condiciones de calidad, las horas diarias de prestación del servicio y demás condiciones relevantes para la prestación del servicio. La Autoridad Contratante divulgará las condiciones del Proceso Competitivo y una minuta del contrato correspondiente, al inicio del Período de Preparación, a fin de garantizar, entre otros, los principios de publicidad, simplicidad, objetividad, concurrencia y transparencia.
Artículo 8. Alcance de la exclusividad. En los contratos a que se refiere este capítulo se tendrá en cuenta que únicamente el prestador del servicio que resulte adjudicatario de la Obligación de Prestación del Servicio podrá desarrollar una o todas las actividades inherentes a la prestación del servicio público de energía eléctrica dentro del área geográfica objeto de exclusividad.
Artículo 9. Criterios básicos para la expansión en las Áreas de Servicio Exclusivo. La expansión del Parque de Generación y del Sistema de Distribución en el Área de Servicio Exclusivo será responsabilidad de las empresas adjudicatarias de la Obligación de Prestación del Servicio de acuerdo con los compromisos asumidos con el Ministerio de Minas y Energía. El adjudicatario de la Obligación de Prestación del Servicio debe presentar ante el Ministerio de Minas y Energía planes quinquenales con la inversión prevista y dará cuenta de dichos planes a la Superintendencia de Servicios Públicos Domiciliarios, para lo de su competencia.
Artículo 10. Proceso Competitivo para la asignación de Obligaciones de Prestación del Servicio en ZNI. La Obligación de Prestación del Servicio en Áreas de Servicio Exclusivo se asignará entre los participantes en los Procesos Competitivos que adelante la Autoridad Contratante, los cuales deben cumplir con los requisitos generales que se establecen en la presente resolución y demás normas concordantes.
Artículo 11. Precio de Reserva. La Comisión de Regulación de Energía y Gas podrá definir un precio de reserva por encima del cual no se admitirá trasladar a los usuarios del servicio los costos resultantes de un Proceso Competitivo.
Artículo 12. Período de Preparación. El Período de Preparación para la asignación de las obligaciones de que trata la presente resolución no podrá ser inferior a un (1) mes.
Artículo 13. Período de Planeación. El Período de Planeación de que trata la presente resolución no podrá ser inferior a tres (3) meses, durante el cual el prestador del servicio a quien se le asigne la Obligación de Prestación del Servicio debe realizar las obras correspondientes para dar inicio al Período de Vigencia.
Artículo 14. Fórmula Tarifaria General para prestadores en las Áreas de Servicio Exclusivo que conforme la Autoridad Contratante. Para incorporar los precios resultantes de los Procesos Competitivos en la Fórmula Tarifaria, el diseño del producto y el Proceso Competitivo deben cumplir con lo dispuesto en el presente capítulo.
Las Fórmulas Tarifarias definidas en los capítulos III y IV de la presente Resolución serán aplicadas por los adjudicatarios de la Obligación de Prestación del Servicio en el Área de Servicio Exclusivo.
Artículo 15. Régimen de subsidios. Los subsidios en las Áreas de Servicio Exclusivo se someterán a lo que establezcan las normas vigentes.
Artículo 16. Verificación del cumplimiento de Obligaciones de Prestación del Servicio. Sin perjuicio de las funciones de la Superintendencia de Servicios Públicos Domiciliarios, la autoridad contratante establecerá un mecanismo para verificar el cumplimiento de los compromisos de extensión de cobertura y de calidad del servicio durante el Período de Vigencia de las Obligaciones de Prestación del Servicio. Para esto último podrá apoyarse en la información resultante de la Actividad de Monitoreo.
Parágrafo. La información recopilada por cada adjudicatario de Obligaciones de Prestación del Servicio será remitida al Sistema Único de Información que administra la Superintendencia de Servicios Públicos Domiciliarios, así como al Fondo de Solidaridad y Redistribución de Ingresos que administra el Ministerio de Minas y Energía.
Artículo 17. Normas aplicables. Los adjudicatarios de Áreas de Servicio Exclusivo deben estar constituidos como Empresas de Servicios Públicos y estarán sometidos a la Ley 142 de 1994, a las disposiciones que la modifiquen, a la regulación y a las cláusulas contractuales.
CAPITULO III
FÓRMULA TARIFARIA PARA LAS ÁREAS DE SERVICIO EXCLUSIVO QUE SE CONFORMEN PARA CADA ACTIVIDAD DEL SERVICIO PÚBLICO DE ENERGÍA ELÉCTRICA EN SAN ANDRÉS, PROVIDENCIA Y SANTA CATALINA
Artículo 18. Fórmula tarifaria general para usuarios regulados del servicio público de energía eléctrica para Procesos Competitivos para cada actividad. Cuando se realicen varios Procesos Competitivos para adjudicar Obligaciones de Prestación del Servicio por actividad, en una misma Área de Servicio Exclusivo, la Fórmula Tarifaria General aplicable a los usuarios regulados del servicio público domiciliario de energía eléctrica tendrá los siguientes componentes:
Donde:
CUn,m: Costo Unitario de Prestación del Servicio de Energía Eléctrica, para el nivel de tensión n, para el mes m, expresado en pesos por kilovatio hora ($/kWh).
Gm: Cargo de generación, para el mes m, expresado en pesos por kilovatio hora ($/kWh).
Dn,m: Cargo de distribución, para el nivel de tensión n, para el mes m, expresado en pesos por kilovatio hora ($/kWh).
Cm: Cargo de comercialización, para el mes m, expresado en pesos por kilovatio hora ($/kWh).
pn,m: Pérdidas de Energía en el nivel de tensión n del Sistema de Distribución, para el mes m. Este nivel de pérdidas será el ofertado por el adjudicatario de la Obligación de Prestación del Servicio en la propuesta que presente en el Proceso Competitivo. El valor de pn,m se expresa como una fracción.
n: Son los niveles de tensión del Sistema de Distribución del área de servicio exclusivo.
Parágrafo 1. Esta Fórmula Tarifaria tendrá vigencia de conformidad con lo establecido en los Procesos Competitivos adelantados por la Autoridad Contratante.
Parágrafo 2. Los cargos para remunerar la actividad o las actividades que no sean objeto de un Proceso Competitivo se calcularán de acuerdo con la metodología vigente de cargo máximo regulado por costos medios.
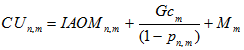
Artículo 19. Determinación del Cargo de Generación Cuando los Usuarios Asumen el Riesgo de Demanda. Si se asigna el riesgo de demanda a los usuarios del servicio, el cargo de generación se calculará de la siguiente manera:
Donde:
Gm: Cargo de generación, para el mes m, expresado en pesos por kilovatio hora ($/kWh)
GIAOMm: Remuneración de la inversión y de los gastos de AOM en generación, para el mes m. En estos gastos no se considera el combustible utilizado en la operación. Este valor, expresado en pesos por kilovatio hora ($/kWh), se estimará así:
IAOMgt: Ingreso máximo regulado para el Año t del Período de Vigencia, que remunera las inversiones del prestador del servicio en activos de la actividad de generación y los gastos de AOM en los que incurra en desarrollo de esta actividad. Este ingreso, expresado en pesos ($) del mes anterior al de la realización del Proceso Competitivo, será el ofertado por el adjudicatario de la Obligación de Prestación del Servicio en la propuesta que presente en dicho proceso.
IPPm-1: Índice de Precios al Productor publicado por el DANE, para el mes m-1.
IPP0: Índice de Precios al Productor publicado por el DANE, para el mes anterior al de realización del Proceso Competitivo.
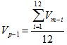
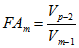
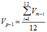
Vp-1: Promedio de las ventas mensuales de energía de los últimos doce (12) meses, expresado en kilovatios hora (kWh).
Vm-1: Ventas de energía eléctrica para el mes m-1, expresadas en kilovatios hora (kWh).
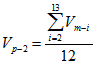
Vp-2: Promedio de las ventas mensuales de energía de los doce (12) meses anteriores al mes anterior, expresado en kilovatios hora (kWh).
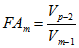
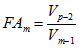
FAm: Factor de ajuste al ingreso máximo regulado, para el mes m. Este ajuste se hará a partir del segundo mes del Período de Vigencia, de la siguiente manera:
Gcm: Remuneración de los costos del combustible puesto en el sitio de operación de las plantas del Parque de Generación, para el mes m. Este valor, expresado en pesos por kilovatio hora ($/kWh), se calculará así:
Etm-1: Energía total entregada al Sistema de Distribución en el mes m-1, por las n plantas del Parque de Generación. Este valor se expresa en kilovatios hora (kWh).
CECi: Consumo específico de combustible de la planta i del Parque de Generación, expresado en millones de BTU por kilovatio hora (MBTU/kWh). En caso que la planta utilice diesel o fuel oil como combustible, este consumo será expresado en galones por kilovatio hora (gal/kWh). El valor de esta variable será el ofertado por el adjudicatario de la Obligación de Prestación del Servicio, para cada planta i a utilizar, en la propuesta que presente en el Proceso Competitivo.
PCm: Precio del combustible de origen fósil puesto en el sitio de la planta i del Parque de Generación, en el mes m, expresado en pesos por millón de BTU ($/MBTU) de forma general y en pesos por galón ($/gal) cuando el combustible empleado sea diesel o fuel oil. El precio del combustible puesto en el sitio de la planta será definido por el Ministerio de Minas y Energía, con excepción del caso en que se utilice gas combustible, lo cual podrá ser definido por la CREG en resolución posterior.
Eim-1: Energía entregada al Sistema de Distribución por la planta i, en el mes m-1, expresada en kilovatios hora (kWh).
Mm: Cargo de la Actividad de Monitoreo, para el mes m, expresado en pesos por kilovatio hora ($/kWh).
Artículo 20. Determinación del Cargo de Generación Cuando el Adjudicatario de la Obligación de Prestación del Servicio para la Actividad de Generación Asume el Riesgo de Demanda. Si se asigna el riesgo de demanda al prestador del servicio , el cargo de generación se calculará de la siguiente manera:
Donde:
Gm: Cargo de generación, para el mes m, expresado en pesos por kilovatio hora ($/kWh)
GIAOMm: Remuneración de la inversión y de los gastos de AOM en generación, para el mes m. En estos gastos no se considera el combustible utilizado en la operación. Este valor, expresado en pesos por kilovatio hora ($/kWh), se estimará así:
PIAOMg: Cargo máximo regulado mensual, que remunera las inversiones del prestador del servicio en activos de la actividad de generación y los gastos de AOM en los que se incurra en desarrollo de esta actividad. Este cargo, expresado en pesos por kilovatio hora ($/kWh) del mes anterior al de la realización del Proceso Competitivo, será el ofertado por el adjudicatario de la Obligación de Prestación del Servicio en la propuesta que presente en dicho proceso.
IPPm-1: Índice de Precios al Productor publicado por el DANE, para el mes m-1.
IPP0: Índice de Precios al Productor publicado por el DANE, para el mes anterior al de realización del Proceso Competitivo.
Gcm: Remuneración de los costos del combustible puesto en el sitio de operación de las plantas del Parque de Generación, para el mes m. Este valor, expresado en pesos por kilovatio hora ($/kWh), se calculará así:
Etm-1: Energía total entregada al Sistema de Distribución en el mes m-1, por las n plantas del Parque de Generación. Este valor se expresa en kilovatios hora (kWh).
CECi: Consumo específico de combustible de la planta i del Parque de Generación, expresado en millones de BTU por kilovatio hora (MBTU/kWh). En caso que la planta utilice diesel o fuel oil como combustible, este consumo será expresado en galones por kilovatio hora (gal/kWh). El valor de esta variable será el ofertado por el adjudicatario de la Obligación de Prestación del Servicio, para cada planta i a utilizar, en la propuesta que presente en el Proceso Competitivo.
PCm: Precio del combustible de origen fósil puesto en el sitio de la planta i del Parque de Generación, en el mes m, expresado en pesos por millón de BTU ($/MBTU) de forma general y en pesos por galón ($/gal) cuando el combustible empleado sea diesel o fuel oil. El precio del combustible puesto en el sitio de la planta será definido por el Ministerio de Minas y Energía, con excepción del caso en que se utilice gas combustible, lo cual podrá ser definido por la CREG en resolución posterior.
Eim-1: Energía entregada al Sistema de Distribución por la planta i, en el mes m-1, expresada en kilovatios hora (kWh).
Mm: Cargo de la Actividad de Monitoreo, para el mes m, expresado en pesos por kilovatio hora ($/kWh).
Artículo 21. Determinación del Cargo de Distribución Cuando los Usuarios Asumen el Riesgo de Demanda. Si se asigna el riesgo de demanda a los usuarios del servicio, el cargo de distribución se calculará de la siguiente manera:
Donde:
Dn,m: Cargo de distribución para el nivel de tensión n, para el mes m, expresado en pesos por kilovatio hora ($/kWh).
IAOMdn,t: Ingreso máximo regulado para el nivel de tensión n del Sistema de Distribución, para el Año t del Período de Vigencia, que remunera las inversiones del prestador del servicio en activos de la actividad de distribución y los gastos de AOM en los que incurra en desarrollo de esta actividad. Este ingreso, expresado en pesos ($) del mes anterior al de la realización del Proceso Competitivo, será el ofertado por el adjudicatario de la Obligación de Prestación del Servicio en la propuesta que presente en dicho proceso.
IPPm-1: Índice de Precios al Productor publicado por el DANE, para el mes m-1.
IPP0: Índice de Precios al Productor publicado por el DANE, para el mes anterior al de realización del Proceso Competitivo.
Vp-1: Promedio de las ventas mensuales de energía de los últimos doce (12) meses, expresado en kilovatios hora (kWh).
Vm-1: Ventas de energía eléctrica para el mes m-1, expresadas en kilovatios hora (kWh).
Vp-2: Promedio de las ventas mensuales de energía de los doce (12) meses anteriores al mes anterior, expresado en kilovatios hora (kWh).
FAm: Factor de ajuste al ingreso máximo regulado, para el mes m. Este ajuste se hará a partir del segundo mes del Período de Vigencia, de la siguiente manera:
Artículo 22. Determinación del Cargo de Distribución Cuando el Adjudicatario de la Obligación de Prestación del Servicio para la Actividad de Distribución Asume el Riesgo de Demanda. Si se asigna el riesgo de demanda al prestador del servicio , el cargo de distribución se calculará de la siguiente manera:
Donde:
Dn,m: Cargo de distribución para el nivel de tensión n, para el mes m, expresado en pesos por kilovatio hora ($/kWh).
PIAOMdn: Cargo máximo regulado mensual, para el nivel de tensión n del Sistema de Distribución, que remunera las inversiones del prestador del servicio en activos de la actividad de distribución y los gastos de AOM en los que se incurra en desarrollo de esta actividad. Este cargo, expresado en pesos por kilovatio hora ($/kWh) del mes anterior al de la realización del Proceso Competitivo, será el ofertado por el adjudicatario de la Obligación de Prestación del Servicio en la propuesta que presente en dicho proceso.
IPPm-1: Índice de Precios al Productor publicado por el DANE, para el mes m-1.
IPP0: Índice de Precios al Productor publicado por el DANE, para el mes anterior al de realización del Proceso Competitivo.
Artículo 23. Determinación del Cargo de Comercialización Cuando los Usuarios Asumen el Riesgo de Demanda. Si se asigna el riesgo de demanda a los usuarios del servicio, el cargo de comercialización se calculará de la siguiente manera:
Donde:
Cm: Cargo de comercialización, para el mes m, expresado en pesos por kilovatio hora ($/kWh)
IAOMct: Ingreso máximo regulado para el Año t del Período de Vigencia, que remunera las inversiones del prestador del servicio en activos de la actividad de comercialización y los gastos de AOM en los que incurra en desarrollo de esta actividad. Este ingreso, expresado en pesos ($) del mes anterior al de la realización del Proceso Competitivo, será el ofertado por el adjudicatario de la Obligación de Prestación del Servicio en la propuesta que presente en dicho proceso.
IPPm-1: Índice de Precios al Productor publicado por el DANE, para el mes m-1.
IPP0: Índice de Precios al Productor publicado por el DANE, para el mes anterior al de realización del Proceso Competitivo.
Vp-1: Promedio de las ventas mensuales de energía de los últimos doce (12) meses, expresado en kilovatios hora (kWh).
Vm-1: Ventas de energía eléctrica para el mes m-1, expresadas en kilovatios hora (kWh).
Vp-2: Promedio de las ventas mensuales de energía de los doce (12) meses anteriores al mes anterior, expresado en kilovatios hora (kWh).
FAm: Factor de ajuste al ingreso máximo regulado, para el mes m. Este ajuste se hará a partir del segundo mes del Período de Vigencia, de la siguiente manera:
Artículo 24. Determinación del Cargo de Comercialización Cuando el Adjudicatario de la Obligación de Prestación del Servicio para la Actividad de Comercialización Asume el Riesgo de Demanda. Si se asigna el riesgo de demanda al prestador del servicio , el cargo de comercialización se calculará de la siguiente manera:
Donde:
PIAOMc: Cargo máximo regulado mensual, que remunera las inversiones del prestador del servicio en activos de la actividad de comercialización y los gastos de AOM en los que se incurra en desarrollo de esta actividad. Este cargo, expresado en pesos por kilovatio hora ($/kWh) del mes anterior al de la realización del Proceso Competitivo, será el ofertado por el adjudicatario de la Obligación de Prestación del Servicio en la propuesta que presente en dicho proceso.
IPPm-1: Índice de Precios al Productor publicado por el DANE, para el mes m-1.
IPP0: Índice de Precios al Productor publicado por el DANE, para el mes anterior al de realización del Proceso Competitivo.
CAPITULO IV
FÓRMULA TARIFARIA PARA LAS ÁREAS DE SERVICIO EXCLUSIVO CONFORMADAS PARA TODAS LAS ACTIVIDADES DEL SERVICIO PÚBLICO DE ENERGÍA ELÉCTRICA EN SAN ANDRÉS, PROVIDENCIA Y SANTA CATALINA
Artículo 25. Fórmulas Tarifarias Generales para Usuarios Regulados del Servicio Público de Energía Eléctrica para Procesos Competitivos por Todas las Actividades Cuando los Usuarios Asumen el Riesgo de Demanda. Cuando la Autoridad Contratante realice un único Proceso Competitivo para adjudicar la Obligación de Prestación del Servicio de todas las actividades en un Área de Servicio Exclusivo y se asigne el riesgo de demanda a los usuarios del servicio, la Fórmula Tarifaria General aplicable a los Usuarios Regulados del servicio público domiciliario de energía eléctrica tendrá los siguientes componentes:
Donde:
CUn,m: Costo Unitario de Prestación del Servicio de Energía Eléctrica, para el nivel de tensión n, para el mes m, expresado en pesos por kilovatio hora ($/kWh).
IAOMn,m: Remuneración de la inversión y de los gastos de AOM en generación, distribución por nivel de tensión n del Sistema de Distribución y comercialización, para el mes m. En estos gastos no se considera el combustible utilizado en la operación. Este valor, expresado en pesos por kilovatio hora ($/kWh), se estimará así:

IAOMn,t: Ingreso máximo regulado para el Año t del Período de Vigencia, que remunera las inversiones del prestador del servicio en activos de las actividades de generación, distribución (nivel del tensión n del Sistema de Distribución) y comercialización y los gastos de AOM en los que incurra en desarrollo de estas actividades. Este ingreso, expresado en pesos ($) del mes anterior al de la realización del Proceso Competitivo, será el ofertado por el adjudicatario de la Obligación de Prestación del Servicio en la propuesta que presente en dicho proceso.
IPPm-1: Índice de Precios al Productor publicado por el DANE, para el mes m-1.
IPP0: Índice de Precios al Productor publicado por el DANE, para el mes anterior al de realización del Proceso Competitivo.
Vp-1: Promedio de las ventas mensuales de energía de los últimos doce (12) meses, expresado en kilovatios hora (kWh).

Vm-1: Ventas de energía eléctrica para el mes m-1, expresadas en kilovatios hora (kWh).
Vp-2: Promedio de las ventas mensuales de energía de los doce (12) meses anteriores al mes anterior, expresado en kilovatios hora (kWh).
FAm: Factor de ajuste al ingreso máximo regulado, para el mes m. Este ajuste se hará a partir del segundo mes del Período de Vigencia, de la siguiente manera:
Gcm: Remuneración de los costos del combustible puesto en el sitio de operación de las plantas del Parque de Generación, para el mes m. Este valor, expresado en pesos por kilovatio hora ($/kWh), se calculará así:
Etm-1: Energía total entregada al Sistema de Distribución en el mes m-1, por las n plantas del Parque de Generación. Este valor se expresa en kilovatios hora (kWh).
CECi: Consumo específico de combustible de la planta i del Parque de Generación, expresado en millones de BTU por kilovatio hora (MBTU/kWh). En caso que la planta utilice diesel o fuel oil como combustible, este consumo será expresado en galones por kilovatio hora (gal/kWh). El valor de esta variable será el ofertado por el adjudicatario de la Obligación de Prestación del Servicio, para cada planta i a utilizar, en la propuesta que presente en el Proceso Competitivo.
PCm: Precio del combustible de origen fósil puesto en el sitio de la planta i del Parque de Generación, en el mes m, expresado en pesos por millón de BTU ($/MBTU) de forma general y en pesos por galón ($/gal) cuando el combustible empleado sea diesel o fuel oil. El precio del combustible puesto en el sitio de la planta será definido por el Ministerio de Minas y Energía, con excepción del caso en que se utilice gas combustible, lo cual podrá ser definido por la CREG en resolución posterior.
Eim-1: Energía entregada al sistema de distribución por la planta i, en el mes m-1, expresada en kilovatios hora (kWh).
Mm: Cargo de la Actividad Monitoreo, para el mes m, expresado en pesos por kilovatio hora ($/kWh).
pn,m: Pérdidas de energía en el nivel de tensión n del Sistema de Distribución, para el mes m. Este nivel de pérdidas será el ofertado por el adjudicatario de la Obligación de Prestación del Servicio en la propuesta que presente en el Proceso Competitivo. El valor de pn,m se expresa como una fracción.
n: Son los niveles de tensión del sistema de distribución del área de servicio exclusivo.
Artículo 26. Fórmulas Tarifarias Generales para Usuarios Regulados del Servicio Público de Energía Eléctrica para Procesos Competitivos por Todas las Actividades Cuando el Adjudicatario de la Obligación de Prestación del Servicio Asume el Riesgo de Demanda. Cuando la Autoridad Contratante realice un único Proceso Competitivo para adjudicar la Obligación de Prestación del Servicio de todas las actividades en un Área de Servicio Exclusivo y se asigne el riesgo de demanda al adjudicatario de la Obligación de Prestación del Servicio, la Fórmula Tarifaria General aplicable a los Usuarios Regulados del servicio público domiciliario de energía eléctrica tendrá los siguientes componentes:
Donde:
CUn,m: Costo Unitario de Prestación del Servicio de Energía Eléctrica, para el nivel de tensión n, para el mes m, expresado en pesos por kilovatio hora ($/kWh).
IAOMn,m: Remuneración de la inversión y de los gastos de AOM en generación, distribución por nivel de tensión n del Sistema de Distribución y comercialización, para el mes m. En estos gastos no se considera el combustible utilizado en la operación. Este valor, expresado en pesos por kilovatio hora ($/kWh), se estimará así:
PIAOMn: Cargo máximo regulado mensual, que remunera las inversiones del prestador del servicio en activos de las actividades de generación, distribución (nivel de tensión n del Sistema de Distribución) y comercialización y los gastos de AOM en los que se incurra en desarrollo de estas actividades. Este cargo, expresado en pesos por kilovatio hora ($/kWh) del mes anterior al de la realización del Proceso Competitivo, será el ofertado por el adjudicatario de la Obligación de Prestación del Servicio en la propuesta que presente en dicho proceso.
IPPm-1: Índice de Precios al Productor publicado por el DANE, para el mes m-1.
IPP0: Índice de Precios al Productor publicado por el DANE, para el mes anterior al de realización del Proceso Competitivo.
Gcm: Remuneración de los costos del combustible puesto en el sitio de operación de las plantas del Parque de Generación, para el mes m. Este valor, expresado en pesos por kilovatio hora ($/kWh), se calculará así:
Etm-1: Energía total entregada al Sistema de Distribución en el mes m-1, por las n plantas del Parque de Generación. Este valor se expresa en kilovatios hora (kWh).
CECi: Consumo específico de combustible de la planta i del Parque de Generación, expresado en millones de BTU por kilovatio hora (MBTU/kWh). En caso que la planta utilice diesel o fuel oil como combustible, este consumo será expresado en galones por kilovatio hora (gal/kWh). El valor de esta variable será el ofertado por el adjudicatario de la Obligación de Prestación del Servicio, para cada planta i a utilizar, en la propuesta que presente en el Proceso Competitivo.
PCm: Precio del combustible de origen fósil puesto en el sitio de la planta i del Parque de Generación, en el mes m, expresado en pesos por millón de BTU ($/MBTU) de forma general y en pesos por galón ($/gal) cuando el combustible empleado sea diesel o fuel oil. El precio del combustible puesto en el sitio de la planta será definido por el Ministerio de Minas y Energía, con excepción del caso en que se utilice gas combustible, lo cual podrá ser definido por la CREG en resolución posterior.
Eim-1: Energía entregada al sistema de distribución por la planta i, en el mes m-1, expresada en kilovatios hora (kWh).
Mm: Cargo de la Actividad Monitoreo, para el mes m, expresado en pesos por kilovatio hora ($/kWh).
pn,m: Pérdidas de energía en el nivel de tensión n del Sistema de Distribución, para el mes m. Este nivel de pérdidas será el ofertado por el adjudicatario de la Obligación de Prestación del Servicio en la propuesta que presente en el Proceso Competitivo. El valor de pn,m se expresa como una fracción.
n: Son los niveles de tensión del sistema de distribución del área de servicio exclusivo.
CAPITULO V
TARIFA DEL SERVICIO PÚBLICO DE ENERGÍA ELÉCTRICA PARA SAN ANDRÉS, PROVIDENCIA Y SANTA CATALINA
Artículo 27. Tarifa. La tarifa aplicable a los usuarios regulados del servicio público domiciliario de energía eléctrica del Archipiélago de San Andrés, Providencia y Santa Catalina se determinará así:
Donde:
Tm, k: Tarifa para el mes m, aplicable al estrato socioeconómico k, expresada en pesos por kilovatio hora ($/kWh).
CUm: Costo Unitario de Prestación del Servicio de Energía Eléctrica, para el mes m, expresado en pesos por kilovatio hora ($/kWh).
Sm, k: Subsidio por menores tarifas determinado por el Ministerio de Minas y Energía para el estrato socioeconómico k, expresado en pesos por kilovatio hora ($/kWh).
k: Corresponde al estrato socioeconómico aplicable según la normatividad vigente.
CAPITULO VI
DISPOSICIONES GENERALES
Artículo 28. Aportes Públicos en inversión. En caso de existir aportes públicos en la inversión y si así lo dispone la entidad propietaria de los activos construidos o instalados con esos aportes, dicha inversión podrá deducirse de la tarifa aplicada al usuario, en virtud de lo dispuesto en el artículo 87 de la Ley 142 de 1994, o las normas que la modifiquen. Para tal efecto, la entidad propietaria de los activos debe manifestarlo por escrito al prestador del servicio correspondiente y a la Superintendencia de Servicios Públicos Domiciliarios.
Artículo 29. Publicidad. Mensualmente y antes de su aplicación, el Comercializador hará públicas las tarifas que facturará a los usuarios, en forma simple y comprensible, a través de un medio de comunicación de amplia divulgación. Dicha publicación incluirá los valores de cada componente del Costo Unitario de Prestación del Servicio de Energía Eléctrica. Los nuevos valores deben ser comunicados por el Comercializador a la Superintendencia de Servicios Públicos Domiciliarios y a la Comisión de Regulación de Energía y Gas.
Artículo 30. Actividad de Monitoreo. La Actividad de Monitoreo es complementaria a la prestación del servicio público domiciliario de electricidad en las ZNI. En consecuencia, le aplica lo dispuesto en las Leyes 142 y 143 de 1994 y las demás normas vigentes.
Parágrafo 1. A partir de la entrada en vigencia del cargo que remunere la Actividad de Monitoreo, se cobrará el componente Mm incluido en la Fórmula Tarifaria General. Este componente será igual a cero hasta tanto esta actividad comience a ser adelantada por una unidad independiente para el sector, por parte de un agente sujeto a la regulación de la Comisión de Regulación de Energía y Gas y la inspección, vigilancia y control de la Superintendencia de Servicios Públicos Domiciliarios.
Parágrafo 2. La Comisión de Regulación de Energía y Gas podrá revisar el cargo regulado de la Actividad de Monitoreo cuando se haga aconsejable extender la cobertura de la misma.
Artículo 31. Vigencia de las Fórmulas Tarifarias Generales. Las Fórmulas Tarifarias Generales contenidas en los Capítulos III y IV de la presente resolución regirán durante el Período de Vigencia de las Áreas de Servicio Exclusivo establecidas de acuerdo con lo dispuesto en esta norma.
Artículo 32. Vigencia de la presente Resolución. La presente resolución rige a partir del día siguiente a su publicación en el Diario Oficial.
PUBLÍQUESE Y CÚMPLASE
Dada en Bogotá, D.C. a los
MANUEL MAIGUASHCA OLANO | HERNAN MOLINA VALENCIA |
Viceministro de Minas y Energía | Director Ejecutivo |
Delegado del Ministro |  |
Presidente |  |
|
Doble click sobre el archivo anexo para bajarlo(Resoluciones CREG) |
Doble click sobre el archivo anexo para bajarlo(Documento CREG) |
|