Publicación Diario Oficial No.: 47.096, el día:29/August/2008
Publicada en la WEB CREG el: 29/August/2008
RESOLUCIÓN No. 071
( 10 JUL. 2008 )


Por la cual se regula el acceso a la infraestructura del servicio de energía para la prestación de los servicios de telecomunicaciones, de conformidad con lo establecido en el Artículo 151 de la Ley 1151 de 2007.
Concordancias: Ley 142 de 1994
Ley 1151 de 2007, Art. 151
Resolución CREG 70 de 1998
LA COMISIÓN DE REGULACIÓN DE ENERGÍA Y GAS


en uso de sus facultades legales, en especial, las conferidas por las Leyes 142 y 143 de 1994 y 1151 de 2007 y en desarrollo de los Decretos 1524 y 2253 de 1994, y


C O N S I D E R A N D O:


Que el parágrafo del Artículo 69 de la Ley 142 de 1994, dispone que cada Comisión será competente para regular el servicio público respectivo y para el caso de la Comisión de Regulación de Energía y Gas corresponde regular los servicios de energía eléctrica y gas combustible;

Que el Artículo 23, literal n, de la Ley 143 de 1994, atribuyó a la Comisión de Regulación de Energía y Gas, la facultad de definir y hacer operativos los criterios técnicos de calidad, confiabilidad y seguridad del servicio de energía;

Que de conformidad con el Artículo 73 de la Ley 142 de 1994, las Comisiones de Regulación tienen la función de promover la competencia entre quienes presten servicios públicos;

Que el Artículo 13 de la Ley 680 de 2001, ordenó: “Con el fin de facilitar la prestación del servicio de televisión, las empresas o los propietarios de la infraestructura de los servicios públicos domiciliarios, deberán permitir el uso de su infraestructura correspondiente a postes y ductos siempre y cuando se tenga la disponibilidad correspondiente, sea técnicamente viable y exista previo acuerdo entre las partes sobre la contraprestación económica y condiciones de uso. La Comisión de Regulación de Telecomunicaciones o la Comisión de Regulación de Energía y Gas según el caso regulará la materia. Las Comisiones regulatorias en un término de tres meses definirán una metodología objetiva que determine el precio teniendo como criterio fundamental el costo final del servicio al usuario. El espacio público para la construcción de infraestructura se sujetará al Plan de Ordenamiento Territorial del respectivo municipio o distrito”;

Que en cumplimiento de lo establecido en la Ley 680 de 2001 la Comisión adoptó la Resolución CREG-144 de 2001 “Por la cual se expiden normas para regular el acceso a la infraestructura eléctrica para la prestación del servicio de televisión, de conformidad con los establecido en el Artículo 13 de la Ley 680 de 2001.”

Que la Comisión adoptó la Resolución CREG-060 de 2003 “Por la cual se establecen los factores de actualización de los costos determinados en la Resolución CREG-144 de 2001.”

Que el Artículo 151 de la Ley 1151 de 2007, ordena: Para acelerar y asegurar el acceso universal a las tecnologías de la información y las comunicaciones (TIC`s) en todos los servicios de Telecomunicaciones incluidos la radiodifusión sonora y la televisión, los propietarios de la infraestructura (Postes, Ductos y Torres) de los Servicios Públicos Domiciliarios y las Empresas Prestadoras del Servicio de televisión por Cable, deberán permitir su uso siempre y cuando se tenga la disponibilidad correspondiente, sea técnicamente viable y exista previo acuerdo entre las partes sobre la contraprestación económica y condiciones de uso. La Comisión de Regulación de Telecomunicaciones o la Comisión de Regulación de Energía y Gas, según el caso regulará la materia. Las Comisiones Regulatorias en un término de 6 meses, definirán la metodología objetiva, que determine el precio teniendo como criterio fundamental la remuneración de costos más utilidad razonable.”

Que el 17 de enero de 2008, la CREG publicó la Resolución CREG 122 de 2007, con el proyecto de resolución “Por la cual se regula el acceso a la infraestructura del servicio de energía para la prestación de los servicios de telecomunicaciones, de conformidad con lo establecido en el Artículo 151 de la Ley 1151 de 2007.”;

Que a través de las comunicaciones con radicados CREG E-2008-000714, E-2008-000716, E-2008-000722, E-2008-000761, E-2008-000770, E-2008-000780, E-2008-000785, E-2008-000788, E-2008-000829, E-2008-000832, E-2008-000903, E-2008-001221, E-2008-001318, E-2008-002159 y E-2008-003059, las empresas EEC S.A. E.S.P., ELECTRICARIBE S.A. E.S.P., CODENSA S.A. E.S.P., EPSA S.A. E.S.P., ASOCODIS, EPM E.S.P., EDATEL E.S.P., CHEC S.A. E.S.P., UNE S.A. E.S.P., ISA S.A. E.S.P., ANDESCO, EMCALI E.I.C.E., Asociación de Operadores de Televisión por Suscripción y Satelital de Colombia, Cable Unión y TELMEX respectivamente, enviaron sus comentarios al proyecto de resolución publicado en la Resolución CREG 122 de 2007;

Que se considera que por razones técnicas de seguridad, la infraestructura del servicio de gas no puede ser utilizada para la prestación de los servicios de telecomunicaciones;

Que con fundamento en los análisis hechos por la Comisión y en los comentarios remitidos, los cuales se presentan en el Documento CREG-056 de 2008, se modificó la propuesta contenida en la Resolución CREG-122 de 2007;

Que la Comisión de Regulación de Energía y Gas en su sesión No. 379 del 10 de julio de 2008 acordó expedir esta Resolución;

R E S U E L V E:


ARTÍCULO 1o. Definiciones. Para efectos de la presente Resolución se adoptan las siguientes definiciones:

Disponibilidad de la infraestructura eléctrica para la prestación del servicio de telecomunicaciones: Es la capacidad de la infraestructura eléctrica para ser utilizada en la prestación de los servicios de telecomunicaciones, definida por el Operador de Red de electricidad (OR) o el Transportador según sea el caso.

Factibilidad Técnica: Estudio realizado por el Operador de Red de electricidad (OR) o por el Transportador, que permite determinar la posibilidad del uso seguro y confiable de la infraestructura eléctrica para la prestación de uno o varios de los servicios de telecomunicaciones.

Infraestructura Eléctrica: La infraestructura eléctrica comprende los ductos, torres y postes que se utilizan en la prestación del servicio público domiciliario de energía eléctrica, incluida la actividad complementaria de transmisión de energía eléctrica.

Red de servicio. Constituida por cada cable portador de voz y/o datos y su infraestructura asociada.


ARTÍCULO 2o. Libre acceso. Las empresas o propietarios de infraestructura eléctrica, que reciban solicitudes de uso de la misma, por parte de prestadores de los servicios de telecomunicaciones, garantizarán el libre acceso conforme a lo definido en la Ley 1151 de 2007 y en la presente Resolución.

Las empresas o los propietarios de infraestructura eléctrica no podrán discriminar el acceso a la misma. La asignación debe hacerse de acuerdo con el orden de llegada de las solicitudes presentadas por los prestadores de los servicios de telecomunicaciones.

Ningún prestador de los servicios de telecomunicaciones podrá utilizar la infraestructura eléctrica sin que exista Disponibilidad en la misma, Factibilidad Técnica y acuerdo entre las partes sobre la contraprestación económica, condiciones de uso y causales de terminación del acuerdo. Las autoridades nacionales, departamentales y municipales, tanto civiles como de policía, en los términos del Artículo 29 de la Ley 142 de 1994 prestarán a las empresas o propietarios de la infraestructura eléctrica, el apoyo necesario para la restitución de postes, torres y ductos que hayan sido ocupados sin que exista previamente acuerdo, contrato o autorización de la empresa o propietario de infraestructura eléctrica.

Si como resultado del Estudio de Factibilidad Técnica se niega el acceso al uso de la red, en el informe se deberán detallar las condiciones técnicas que impiden el acceso. La negación injustificada de la solicitud de acceso dará lugar a las sanciones o acciones previstas en la Ley.

Parágrafo 1o. Las empresas o propietarios de infraestructura eléctrica que reciban la solicitud de un prestador de alguno de los servicios de telecomunicaciones, deberán responderla por escrito dentro de los treinta (30) días siguientes a la fecha de radicación de la misma. Cuando éstas se envíen por correo, el término se contará de conformidad con el Artículo 107 de la Ley 142 de 1994.

Parágrafo 2o. La solicitud que presente el prestador del servicio de telecomunicaciones podrá ser negada, si existiendo Disponibilidad de la infraestructura eléctrica para la prestación de los servicios de telecomunicaciones, ésta se encuentra comprometida en planes de expansión de la red eléctrica, previstos con anterioridad a la solicitud, programados para ser ejecutados dentro de un término no superior a un (1) año para postes y torres y de dos (2) años para ductos.

Para éste efecto y acorde con lo establecido en el Numeral 3.4.4 del Reglamento de Distribución de Energía Eléctrica, establecido en la Resolución CREG 070 de 1998 o aquella que la adicione, modifique o sustituya, al inicio de cada año calendario el OR publicará su Plan de Expansión en su página web, para que pueda ser consultada.

Parágrafo 3o. Cuando se prevea que los programas de expansión eléctrica se ejecutarán con posterioridad a los términos establecidos en el parágrafo 2o, la empresa o propietario de la infraestructura eléctrica podrá atender temporalmente la solicitud. En este caso, se podrá exigir al prestador del servicio de telecomunicaciones que desmonte sus activos en un plazo de seis (6) meses posteriores a la comunicación por escrito del requerimiento.

Parágrafo 4o. Las empresas o propietarios de infraestructura eléctrica no podrán exigir a un prestador del servicio de telecomunicaciones exclusividad en el uso de su infraestructura eléctrica.


ARTÍCULO 3o. Condiciones de Uso. Las empresas o los propietarios de la Infraestructura Eléctrica establecerán las condiciones de uso, entre las cuales podrán incluirse los procedimientos de instalación, mantenimiento, y demás disposiciones de carácter técnico que deben cumplir los prestadores de los servicios de telecomunicaciones para hacer uso de la infraestructura eléctrica en condiciones de seguridad. Estas condiciones de uso deberán adecuarse como mínimo a lo establecido en el RETIE y a las condiciones de seguridad establecidas por el OR o transportador en su manual de operación.

Para éste efecto y acorde con lo establecido en el Numeral 5.5.1 del Reglamento de Distribución de Energía Eléctrica, establecido en la resolución CREG 070 de 1998 o aquella que la adicione, modifique o sustituya, al inicio de cada año calendario el OR publicará su Manual de Operación en su página web, para que pueda ser consultado.

La utilización de la infraestructura operada por los OR o transportadores de energía eléctrica en la prestación de los servicios de telecomunicaciones, no podrá afectar la adecuada prestación del servicio de energía eléctrica. En consecuencia, cualquier falla producida en la red de energía eléctrica o en la prestación del servicio, a causa de la operación del servicio de telecomunicaciones en la misma red, no será causal de exclusión para los índices de calidad y por lo tanto será contabilizada como falla en la prestación del servicio de energía eléctrica según las condiciones que la regulan.

Teniendo en cuenta que la prestación del servicio de energía eléctrica es considerada como una actividad de alto riesgo, los prestadores de los servicios de telecomunicaciones deberán tomar las precauciones necesarias para proteger a sus usuarios de cualquier riesgo eléctrico que se pueda derivar de la utilización de la Infraestructura Eléctrica.

Parágrafo. La empresa o propietario de los postes, torres o ductos podrá exigir pólizas o garantías que aseguren los daños y perjuicios que puedan ocurrir por la utilización de la infraestructura eléctrica por parte de los prestadores de los servicios de telecomunicaciones.


ARTÍCULO 4o. Remuneración por uso de la infraestructura eléctrica. Las empresas y propietarios de infraestructura eléctrica (ductos, torres y postes) pueden acordar libremente los cargos por el uso de dicha infraestructura o aplicar un precio máximo determinado con base en la metodología del Anexo de la presente resolución.

Los OR o trasportadores de energía eléctrica deberán reflejar en forma independiente en su contabilidad en cuenta exclusiva para tal fin, los ingresos provenientes de la utilización de la infraestructura por parte de los prestadores de los servicios de telecomunicaciones.

Parágrafo. La Comisión de Regulación de Energía y Gas podrá trasladar a los usuarios del servicio público de electricidad parte de los beneficios derivados de los ingresos que reciben las empresas o propietarios de infraestructura eléctrica, por concepto del uso de la infraestructura para la prestación de los servicios de telecomunicaciones y establecer la metodología para incorporar estos ingresos en los cargos de transporte o distribución de electricidad.


ARTÍCULO 5o. La presente Resolución rige a partir de la fecha de su publicación en el Diario Oficial y deroga las Resoluciones CREG-144 de 2001 y CREG-060 de 2003 y las demás disposiciones que le sean contrarias.


PUBLÍQUESE Y CÚMPLASE


Dada en Bogotá D.C., a los 10 JUL. 2008






ANEXO
METODOLOGÍA PARA CALCULAR LA REMUNERACIÓN DE LA INFRAESTRUCTURA ELÉCTRICA POR EL PARA LA PRESTACIÓN DE SERVICIOS DE TELECOMUNICACIONES

El precio máximo que podrá cobrar un OR o transportador de energía eléctrica será el resultado de la aplicación de lo establecido en este Anexo.

Determinación del precio máximo

El precio máximo está determinado por una anualidad de costos en postes, torres o ductos y aquellos adicionales de Administración, Operación y Mantenimiento -AOM- en que incurren las empresas y propietarios de infraestructura eléctrica por permitir el uso de la misma por parte de los prestadores de los servicios de telecomunicaciones, considerando el número promedio de servicios de telecomunicaciones presentes.

Los gastos adicionales en los que incurren las empresas y propietarios de infraestructura, que se cubren por el AOM reconocido, consideran, entre otros, los siguientes aspectos: análisis de disponibilidad y factibilidad de proyectos, costos por incrementos en tiempos de mantenimiento y programación conjunta de los mismos, costos asociados con personal dedicado a inspecciones, mantenimiento y vigilancia, costos asociados con visitas e interventorías, costos por control de la calidad del servicio y costos asociados con adelantar las gestiones administrativas, judiciales y extrajudiciales.

Costos totales

Las anualidades de los costos totales máximos, inversión y AOM, asociados con la remuneración de la infraestructura utilizada por un prestador de alguno de los servicios de telecomunicaciones por cada red de servicio que se quiera instalar en la infraestructura eléctrica, serán calculadas utilizando la siguiente expresión:




Donde:

CTT: Costo anual total máximo por el uso de infraestructura eléctrica por parte de un prestador del servicio de telecomunicaciones para una red de telecomunicaciones.

CINVT: Costo anual de inversión máximo por el uso de infraestructura eléctrica por parte de un prestador del servicio de telecomunicaciones para una red de telecomunicaciones.

CAOMT: Costo anual de Administración, Operación y Mantenimiento máximo por el uso de infraestructura eléctrica por parte de un prestador del servicio de telecomunicaciones para una red de telecomunicaciones.

La periodicidad de los pagos por el uso de la infraestructura eléctrica por parte de los prestadores del servicio de telecomunicaciones podrá ser acordada entre las partes sin que exceda un año.

El CTT deberá ser actualizado anualmente con el IPP correspondiente a diciembre del año anterior al año en que se efectúe la actualización, siendo el IPP base el de diciembre de 2007.


Costos de inversión

Las anualidades de los costos de inversión asociados con la remuneración de la infraestructura utilizada, serán calculadas con base en las siguientes expresiones:











Donde:


CINVT: Costo anual de inversión máximo por el uso de infraestructura eléctrica por parte de un prestador del servicio de telecomunicaciones para una red de telecomunicaciones.


CIP: Costo anual de inversión por el uso de postes que sirven de apoyo a una red de servicio de telecomunicaciones.

CID: Costo anual de inversión por el uso de ductos subterráneos que sirven a una red de servicio de telecomunicaciones.


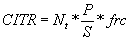
CITR: Costo anual de inversión por el uso de torres, que sirven de apoyo a una red de servicio de telecomunicaciones.

Np: Número de postes usados por una misma red por parte de un prestador de alguno de los servicios de telecomunicaciones.

Nd: Número de ductos usados por una misma red por parte de un prestador de alguno de los servicios de telecomunicaciones.

Nt: Número de torres usados por una misma red por parte de un prestador de alguno de los servicios de telecomunicaciones.

P: Costo de reposición e instalación de un poste (pesos de diciembre de 2007) según su altura, de acuerdo con la siguiente tabla:


D: Costo de reposición e instalación de un metro de ducto e igual a $49.000 (pesos de diciembre de 2007). Corresponde al equivalente de un metro de ducto con una canalización de 6 ductos de 4”.

T: Costo de reposición e instalación de una torre e igual a $12.372.000 (pesos de diciembre de 2007). Corresponde a una torre metálica de suspensión usada en un circuito doble, urbano, de Nivel de Tensión 4.

S: Promedio ponderado de redes de telecomunicaciones en una misma estructura (poste, ducto o torre) e igual a 1.65.

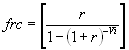
frc: Factor para calcular la anualidad, el cual utiliza una tasa de descuento anual igual al costo promedio ponderado de capital (WACC)
        vigente para la remuneración de la actividad de distribución de energía eléctrica (r) y una vida útil de 25 años (Vi).

Costos de AOM

Las anualidades de los costos de AOM asociados con la remuneración de la infraestructura utilizada, serán calculadas utilizando la siguiente expresión:





Donde:


CAOMT: Costo anual de Administración, Operación y Mantenimiento máximo por el uso de infraestructura eléctrica por parte de un prestador del servicio de telecomunicaciones para una red de telecomunicaciones.

P%: Porcentaje de AOM para todos los niveles de tensión, igual a 3.1%.






Doble click sobre el archivo anexo para bajarlo(Resoluciones CREG)
Creg071-2008.docCreg071-2008.pdf
Doble click sobre el archivo anexo para bajarlo(Documento CREG)
D-056-08 DESARROLLO DEL ARTÍCULO 151 DE LA LEY 1151 DE 2007.pdf - D-056-08 DESARROLLO DEL ARTÍCULO 151 DE LA LEY 1151 DE 2007.pdf