| Publicación Diario Oficial No.: | 46.497, el día:30/December/2006 |
| Publicada en la WEB CREG el: | 23/October/2007 |
| RESOLUCIÓN 112 DE 2006 ( 19 DIC. 2006)
Nota sobre la compilación.
El articulado de esta resolución contiene los textos como fueron modificados o aclarados por normas posteriores. Para el efecto se incluye en la respectiva norma la identificación de la norma posterior que introdujo la modificación o aclaración, y se sustituyó el texto original por el texto con la modificación, aclaración adición. |
Por la cual se adoptan normas sobre funcionamiento del Mercado Mayorista tendientes a promover la competencia.
Notas de Vigencia: - Modificada por la Resolución 29 de 2007, publicada en el Diario Oficial No. 46.584 de 28 de marzo de 2007, "Por la cual se modifica el parágrafo del artículo 1o de la Resolución CREG 112 de 2006 y el artículo 7o de la Resolución CREG 008 de 2007"
- Modificada por la Resolución 8 de 2007, publicada en el Diario Oficial No. 46.543 de 15 de febrero de 2007, "Por la cual se adicionan y modifican algunas normas sobre la promoción de la Subasta para la Asignación de Obligaciones de Energía Firme" |
LA COMISIÓN DE REGULACIÓN DE ENERGÍA Y GAS
En ejercicio de sus facultades legales, en especial las conferidas por las Leyes 142 y 143 de 1994 y de acuerdo con los Decretos 2253 de 1994, y
C O N S I D E R A N D O :
Que según lo establecido en la ley 142 de 1994, artículos 73 y 74, es función de la Comisión de Regulación de Energía y Gas “promover la competencia entre quienes presten servicios públicos, para que las operaciones de los monopolistas o de los competidores sean económicamente eficientes, no impliquen abuso de la posición dominante, y produzcan servicios de calidad,” para lo cual debe “regular el ejercicio de las actividades de los sectores de energía y gas combustible para asegurar la disponibilidad de una oferta energética eficiente y propiciar la competencia en el sector de minas y energía”;
Que la ley 142 de 1994, artículo 74.1, literal c), asignó a la CREG la función de expedir el Reglamento de Operación para regular el funcionamiento del Mercado de Energía Mayorista;
Que la ley 143 de 1994, artículo 20, atribuyó a la función de regulación asignada a la CREG, el objetivo básico de asegurar una adecuada prestación del servicio mediante el aprovechamiento eficiente de los diferentes recursos energéticos, en beneficio del usuario en términos de calidad, oportunidad y costo del servicio, y ordenó que para el logro de este objetivo, la Comisión “promoverá la competencia, creará y preservará las condiciones que la hagan posible”;
Que, igualmente, para el cumplimiento del mencionado objetivo, de acuerdo con lo establecido en la ley 143 de 1994, artículo 23, literal a), la Comisión debe “crear las condiciones para asegurar la disponibilidad de una oferta energética eficiente, capaz de abastecer la demanda bajo criterios sociales, económicos, ambientales y de viabilidad financiera, promover y preservar la competencia”;´
Que según lo establecido en la Ley 143 de 1994, en la actividad de generación de energía eléctrica que se lleva a cabo a través del Mercado Mayorista de Energía, “podrán participar diferentes agentes económicos, públicos, privados o mixtos, los cuales gozarán de libertad para desarrollar sus funciones en un contexto de libre competencia, de conformidad con los artículos 333, 334 y el inciso penúltimo del artículo 336 de la Constitución Nacional, y el artículo 3o. de esta Ley”;
Que la ley 142 de 1994, artículo 168, asignó al Centro Nacional de Despacho la función de “administrar el sistema de intercambios y comercialización de energía eléctrica en el mercado mayorista”, con sujeción al Reglamento de Operación que debe expedir la CREG;
Que de acuerdo con lo definido en la Resolución CREG-071 de 2006, el Centro Nacional de Despacho debe llevar a cabo la función de administrar el sistema de intercambios y de comercialización, a través de la dependencia denominada Administrador del Sistema de Intercambios Comerciales (ASIC), “encargada del registro de fronteras comerciales, de los contratos de energía a largo plazo; de la liquidación, facturación, cobro y pago del valor de los actos, contratos, transacciones y en general de todas las obligaciones que resulten por el intercambio de energía en la bolsa, para generadores y comercializadores; de las Subastas de Obligaciones de Energía Firme; del mantenimiento de los sistemas de información y programas de computación requeridos; y del cumplimiento de las demás tareas que sean necesarias para el funcionamiento adecuado del Sistema de Intercambios Comerciales (SIC)”;
Que mediante la Resolución CREG-071 de 2006 la Comisión estableció la metodología para la remuneración del Cargo por Confiabilidad en el Mercado Mayorista;
Que según lo establecido en la Resolución CREG-071 de 2006, las Obligaciones de Energía Firme para cubrir la demanda del Sistema Interconectado Nacional se asignarán mediante una Subasta que debe realizar el Administrador del Sistema de Intercambios Comerciales, en la cual podrán participar tanto los agentes generadores con plantas o unidades existentes como todos los interesados en la ejecución de proyectos nuevos de generación de energía eléctrica;
Que con el propósito de convocar a inversionistas y obtener una adecuada concurrencia en la subasta para la asignación de Obligaciones de Energía Firme, con el fin de garantizar una oferta energética en las mejores condiciones de eficiencia, se considera necesario adelantar, con la debida anticipación, un proceso de promoción de la subasta a nivel nacional e internacional;
Que la CREG, con la asesoría de un consultor externo y la colaboración del ASIC, efectuó los análisis para determinar el alcance del proceso de promoción de la subasta;
Que de conformidad con lo establecido en el numeral 2 del artículo 1 de la Resolución CREG-097 de 2004, la presente Resolución no está sometida a las disposiciones sobre publicidad de proyectos de regulaciones previstas en el artículo 9 del Decreto 2696 de 2004, por razones de oportunidad, teniendo en cuenta el cronograma previsto por la CREG para llevar a cabo la primera Subasta para la Asignación de las Obligaciones de Energía Firme, durante el 2007;
Que la Comisión de Regulación de Energía y Gas, en su sesión 314 de diciembre 19 de 2006, aprobó las disposiciones contenidas en la presente Resolución;
R E S U E L V E:
ARTÍCULO 1. Promoción de la Subasta para la Asignación de Obligaciones de Energía Firme. Para llevar a cabo las Subastas para la Asignación de Obligaciones de Energía Firme que se remuneran mediante el Cargo por Confiabilidad, reguladas por la Resolución CREG-071 de 2006 o aquellas que la sustituyan, modifiquen o adicionen, el Administrador del Sistema de Intercambios Comerciales adelantará, con la debida anticipación, un proceso de promoción con el alcance que se define en el Artículo siguiente.
Para este proceso de promoción, el Administrador del Sistema de Intercambios Comerciales contratará un Promotor de la Subasta, mediante un proceso de selección objetiva, en la oportunidad que defina la Comisión a través de la Resolución de que trata el artículo 17 de la Resolución CREG-071 de 2006, o aquellas que la modifiquen adicionen o sustituyan. Los costos de esta contratación serán remunerados de acuerdo con lo establecido en la Resolución que aprueba el Ingreso Regulado o la respectiva metodología de remuneración del ASIC.
PARÁGRAFO. (Modificado por el Artículo 1 de la Resolución CREG-029 de 2007). Para la primera Subasta de Asignación de Obligaciones de Energía Firme, el ASIC deberá contratar un Promotor de la Subasta que comience actividades a más tardar el 1 de junio de 2007.
Nota de Compilación:
Este parágrafo fue modificado inicialmente por el Artículo 2 de la Resolución CREG-008 de 2007. |
ARTÍCULO 2. Alcance del proceso de promoción. El proceso de promoción de la Subasta para la Asignación de Obligaciones de Energía Firme, deberá comprender, como mínimo, los siguientes aspectos:
1. Producir oportunamente los documentos que se determinen y que se requieran para realizar la promoción de la primera subasta y que incluyan como mínimo los siguientes aspectos: presentaciones sobre la oportunidad de la inversión, cuadernos de promoción, compilación de la normatividad existente y estadísticas sobre el país y el sector.
2. Diseñar y llevar a cabo un plan de divulgación y promoción en el mercado nacional e internacional.
3. Organizar y promover reuniones o ruedas de negocios a nivel nacional e internacional.
4. Identificar posibles participantes, actuales y nuevos.
5. Identificar proyectos actuales que aún se encuentran en proceso de búsqueda de financiación o socios estratégicos.
6. Coordinar y apoyar el proceso de preguntas y respuestas que surjan durante la promoción de la subasta.
ARTÍCULO 3. Criterios para evaluar la concurrencia en la Subasta. Para efectos del contrato de que trata el Artículo 1 de la presente Resolución, el éxito de la promoción de la subasta se medirá con los siguientes criterios:
- Número de nuevos agentes participantes en la subasta;
- Cantidad de energía ofertada por nuevos agentes al inicio de la subasta; y
- Número de nuevos agentes que resulten con asignación de Obligaciones de Energía Firme en la subasta.
Nota de Compilación:
Mediante la Resolución CREG-008 de 2007 se adicionaron las siguientes normas sobre la promoción de la Subasta:
RES. CREG-008/07. ARTÍCULO 1. Definiciones. Para la interpretación y aplicación de esta resolución se tendrán en cuenta, además de las definiciones establecidas en las Leyes 142 y 143 de 1994 y en las resoluciones vigentes de la CREG, las siguientes:
Agente Nuevo: Para los efectos de la Contratación del Promotor de la Subasta y de acuerdo con lo previsto en la Resolución CREG 071 de 2006, son aquellas empresas que tengan únicamente Plantas y/o Unidades de Generación Nuevas y que ellas o sus socios no tengan, a la fecha de la Subasta, participación alguna en empresas de generación que operen en el Sistema Interconectado Nacional.
Comisión Máxima de Éxito: Valor equivalente a 3.74 millones de dólares americanos, que incluye todos los impuestos, tasas y contribuciones que se generen. Durante el proceso de selección del Promotor se tendrá en cuenta este valor como máximo, y la propuesta económica ganadora será la que presente el menor valor.
RES. CREG-008/07. ARTÍCULO 3. Visto Bueno a los Términos de Referencia para contratar a un Promotor de la Subasta. El Administrador del Sistema de Intercambios Comerciales (ASIC), si lo considera conveniente, podrá enviar a la Comisión, antes de la apertura de la convocatoria, los Términos de Referencia para su visto bueno.
PARÁGRAFO 1. Si el ASIC lo considera conveniente, también podrá enviar para visto bueno de la Comisión, las Adendas a los Términos de Referencia que resulten durante la etapa de la convocatoria.
PARÁGRAFO 2. La Comisión, de acuerdo con sus competencias, se pronunciará sobre las Adendas que le sean enviadas por el ASIC para su revisión.
PARÁGRAFO 3. En caso de que el ASIC lo considere conveniente, podrá remitir a la CREG para su respuesta, las preguntas que surjan durante la convocatoria, siempre y cuando sean competencia de la Comisión.
RES. CREG-008/07. ARTÍCULO 5. Condiciones para entrar a la Subasta para la Asignación de Obligaciones de Energía Firme. Además de las condiciones establecidas en la Resolución CREG-071 de 2006 y las demás que la adicionen o modifiquen, los agentes que deseen participar en una Subasta para la Asignación de Obligaciones de Energía Firme, como requisito previo para entrar a participar en la misma, deberán manifestar ante el Administrador de la Subasta, mediante comunicación suscrita por el representante legal, que aceptan la obligación de pagar al Promotor de la Subasta, el valor de la Comisión de Éxito que le liquidará el Administrador del Sistema de Intercambios Comerciales, si resultan con asignación de Obligación de Energía Firme.
Para estos mismos efectos, los agentes que deseen participar en la Subasta para la Asignación de Obligaciones de Energía Firme, deberán otorgar, a favor del Promotor de la Subasta y como requisito previo para entrar a participar en la misma, una garantía que cubra el pago del valor de la Comisión de Éxito de la Promoción.
PARÁGRAFO 1. El valor que deberá cubrir con la garantía cada agente participante en la Subasta será mínimo de $ 0.062 dólares americanos por cada megavatio hora de ENFICC declarada para participar en la Subasta.
PARÁGRAFO 2. Solamente se aceptarán los tipos de Garantías dfinidos en el Artículo 3 de la Resolución CREG 086 de 2006, que cumplan lo establecido en el Artículo 5 de dicha Resolución.
PARÁGRAFO 3. Las Garantías constituidas para amparar el valor de la Comisión de Éxito deberán estar vigentes desde la fecha de presentación de las mismas hasta dos meses después de la fecha prevista por la CREG para la primera Subasta para la Asignación de Obligaciones de Energía Firme.
PARÁGRAFO 4. Se constituirá en Evento de Incumplimiento de la garantía de que trata este artículo, el no pago de la Comisión de Éxito dentro de los 5 días hábiles siguientes a la fecha en que el Administrador del Sistema de Intercambios Comerciales entregue al agente la liquidación prevista en el artículo 6 de esta resolución.
RES. CREG-008/07. ARTICULO 6. Procedimiento para la liquidación de la Comisión de Éxito. Una vez finalice la Subasta, el Administrador del Sistema de Intercambios Comerciales (ASIC) procederá a liquidar el valor que a cada agente participante en la Subasta le corresponda pagar por concepto de Comisión de Éxito, en forma proporcional a las Obligaciones de Energía Firme asignadas como resultado de la Subasta, para el primer año.
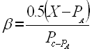
RES. CREG-008/07. ARTÍCULO 7. Modificado por el Artículo 2 de la Resolución CREG-029 de 2007. Metodología para calcular la Comisión de Éxito. Para los efectos de la promoción de la Subasta de que trata la Resolución CREG 112 de 2006, la Comisión de Éxito que se pagará al Promotor de la Subasta será la que resulte de aplicar la siguiente fórmula:

Donde:
COMEXP: Valor en dólares americanos por concepto de Comisión de Éxito que recibirá el Promotor de la Subasta conforme a la metodología que se establece en este Artículo.
COMEX: Comisión de Éxito en dólares americanos resultante del proceso de selección del Promotor de la Subasta.
: Factor igual a cinco décimas (0.50) si se cumple la siguiente condición: Que en la primera ronda de la Subasta se presenten mínimo dos (2) Agentes Nuevos con Plantas y/o Unidades de Generación y que al menos una de ellas sea de 700 GWh Año ó más de ENFICC. De no cumplirse dicha condición, este factor será igual a cero (0).
ß: Factor entre cero (0) y cinco décimas (0.50) de acuerdo con la siguiente ecuación:
donde:
X: Precio de apertura de la ronda en la que el último Agente Nuevo con una Planta y/o Unidad de Generación con al menos 700 GWh año o más de ENFICC se haya retirado de la subasta. En caso de que un Agente Nuevo con una Planta y/o Unidad de Generación con al menos 700 GWh año o más de ENFICC resulte con asignación de Obligaciones de Energía Firme en la Subasta, X es igual Pc.
PA: Precio de apertura de la Subasta establecido por la CREG en la Resolución de que trata el artículo 18 de la Resolución CREG 071 de 2006.
PC: Precio de cierre de la Subasta
Los valores de X y PC se obtienen en la Subasta.
PARÁGRAFO. Para establecer la equivalencia de COMEXP en pesos colombianos se tendrá en cuenta la TRM del último día hábil del mes anterior a la realización de la Subasta, publicada por la Superintendencia Financiera.” |
ARTÍCULO 4. Vigencia. La presente resolución regirá desde su publicación en el Diario Oficial.
PUBLÍQUESE Y CÚMPLASE
Dada en Bogotá, D.C.
MANUEL MAIGUASHCA OLANO | CAMILO QUINTERO MONTAÑO |
Viceministro de Minas y Energía
Delegado del Ministro de Minas y Energía | Director Ejecutivo |
Presidente |  |
|
Doble click sobre el archivo anexo para bajarlo(Resoluciones CREG) |
Doble click sobre el archivo anexo para bajarlo(Documento CREG) |
|