| Publicación Diario Oficial No.: | 49.035, el día:16/January/2014 |
| Publicada en la WEB CREG el: | 16/January/2014 |
COMISIÓN DE REGULACIÓN DE ENERGÍA Y GAS
RESOLUCIÓN No. 203 DE 2013
( 18 DIC 2013 )
Por la cual se modifican las resoluciones CREG 063 de 2010 y 071 de 2006, en relación con la verificación y liquidación de la Demanda Desconectable Voluntaria y el cálculo de la disponibilidad comercial dentro de la Remuneración Real Individual Diaria del Cargo por Confiabilidad.
LA COMISION DE REGULACIÓN DE ENERGÍA Y GAS
En ejercicio de las atribuciones legales, en especial las conferidas por las Leyes 142 y 143 de 1994, y los decretos 1524 y 2253 de 1994.
CONSIDERANDO QUE:
Según la Ley 143 de 1994, artículo 4, el Estado, en relación con el servicio de electricidad, tendrá como objetivos en el cumplimiento de sus funciones: a) Abastecer la demanda de electricidad de la comunidad bajo criterios económicos y de viabilidad financiera, asegurando su cubrimiento en un marco de uso racional y eficiente de los diferentes recursos energéticos del país; b) Asegurar una operación eficiente, segura y confiable en las actividades del sector; y c) Mantener los niveles de calidad y seguridad establecidos.
La Ley 143 de 1994, artículo 20, definió como objetivo fundamental de la Regulación en el sector eléctrico, asegurar una adecuada prestación del servicio mediante el aprovechamiento eficiente de los diferentes recursos energéticos, en beneficio del usuario en términos de calidad, oportunidad y costo del servicio.
Para el cumplimiento del objetivo señalado, la Ley 143 de 1994, artículo 23, le atribuyó a la Comisión de Regulación de Energía y Gas, entre otras, la función de crear las condiciones para asegurar la disponibilidad de una oferta energética eficiente capaz de abastecer la demanda bajo criterios sociales, económicos, ambientales y de viabilidad financiera, promover y preservar la competencia.
Según la Ley 142 de 1994, artículo 74, son funciones y facultades especiales de la CREG, entre otras, las de regular el ejercicio de las actividades de los sectores de energía y gas combustible para asegurar la disponibilidad de una oferta energética eficiente; y propiciar la competencia en el sector de minas y energía.
La ley 142 de 1994, artículo 74, también le asignó a la Comisión de Regulación de Energía y Gas, la función de expedir el Reglamento de Operación para regular el funcionamiento del Mercado Mayorista de energía.
Mediante las Resoluciones CREG-024 y 025 de 1995 la Comisión reguló el funcionamiento del Mercado Mayorista.
En la Resolución CREG-071 de 2006, se estableció la Demanda Desconectable Voluntaria, como un anillo de seguridad del Cargo por Confiabilidad, orientado a facilitar el cumplimiento de las Obligaciones de Energía Firme y se previó que se regularía en resolución aparte.
Con la Resolución CREG 176 de 2009 se ordenó publicar un proyecto de resolución con el fin de regular el anillo de seguridad del Cargo por Confiabilidad denominado Demanda Desconectable Voluntariamente, sobre el cual se recibieron 59 comentarios, de las siguientes entidades: EMGESA S.A ESP, ISAGEN S.A. E.S.P, ACOLGEN, EPSA S.A E.S.P, XM S.A E.S.P, EMPRESAS PÚBLICAS DE MEDELLÍN E.S.P., GECELCA S.A E.S.P y CODENSA S.A ESP, los cuales fueron analizados como se presenta en el Documento CREG-055 de 2010.
Mediante la Resolución CREG 063 de 2010, la Comisión de Regulación de Energía y Gas, expidió “las reglas de la Demanda Desconectable Voluntaria como parte de los Anillos de Seguridad del Cargo por Confiabilidad”.
XM S.A. E.S.P, mediante cartas con radicado CREG E-2011-001869 y E-2013-002129, solicitaron a la CREG aclaración en detalle de la verificación y liquidación de la Demanda Desconectable Voluntaria (DDV) y de la cantidad de contratos de respaldo suficientes para cubrir la indisponibilidad de una planta o unidad de generación para obtener su Remuneración Real Individual Diaria (RRID) del Cargo por Confiabilidad.
Una vez analizadas las solicitudes, la CREG considera que es necesario precisar la verificación y liquidación de la DDV y el cálculo de la disponibilidad comercial dentro de la RRID del Cargo por Confiabilidad para la correcta aplicación de lo definido en las Resoluciones CREG 063 de 2012 sobre la verificación y liquidación de la DDV y la Resolución CREG 071 de 2006 sobre la RRID de una planta o unidad de generación cuando cubre su indisponibilidad a través de contratos de respaldo.
Con la Resolución CREG 116 de 2013 se ordenó publicar un proyecto de resolución con el fin de precisar la verificación y liquidación de la DDV y el cálculo de la disponibilidad comercial dentro de la RRID del Cargo por Confiabilidad, sobre el cual se recibieron seis (6) comentarios de las siguientes entidades: ISAGEN S.A E.S.P, EMGESA S.A. ESP, GECELCA S.A E.S.P, EPM E.S.P, XM S.A E.S.P y SSPD, estos comentarios junto con los de las cartas enviadas por XM S.A E.S.P. con radicados CREG E-2010-004885 y E-2010-007301 fueron analizados, los cuales se presentan en el Documento 145 de 2013.
Que la Comisión en su sesión No.585, del 18 de diciembre de 2013, acordó expedir esta resolución.
RESUELVE:
CAPÍTULO I
DISPOSICIONES GENERALES
Artículo 1. Modificar el Artículo 4 de la Resolución CREG 063 de 2010 sobre el PRODUCTO del mecanismo de Demanda Desconectable Voluntaria, DDV. El Artículo 4o de la Resolución CREG 063 de 2010, quedará así:
Producto. Será la cantidad de demanda de energía reducida en un día (kWh-día) por parte de un comercializador. Esta reducción de energía será pactada en una relación contractual bilateral entre un generador y un comercializador. Se estimará según las metodologías definidas en esta Resolución y se tendrá en cuenta en la verificación del cumplimiento de la Obligación de Energía en Firme que respalda la planta o unidad de generación a la que se le asocie el mecanismo.
Artículo 2. Modificar el Artículo 6o de la Resolución CREG. 063 de 2010. El Artículo 6o de la Resolución CREG 063 de 2010 quedará así:
Artículo 6. Activación. La DDV se activará cuando el generador envíe, en el formato que disponga el Administrador de Intercambios Comerciales – ASIC, el programa de desconexión de la DDV. Dicho formato contendrá como mínimo la siguiente información: la identificación de la planta que tiene asociada la DDV, la cantidad de energía horaria (MWh) y la referencia del contrato de la demanda desconectable voluntaria, asignada por el ASIC.
Parágrafo 1. Este formato se enviará al ASIC en los mismos plazos establecidos en la regulación para las plantas no despachadas centralmente.
Parágrafo 2. El programa de desconexión de la DDV se debe presentar al ASIC para el día en el cual el generador activará el mecanismo, con una desagregación horaria hasta que la suma de la DDV horaria sea igual a la obligación diaria contractual.
Parágrafo 3. El generador debe garantizar que el programa de desconexión de la DDV que presente al ASIC no supere la demanda contratada. En el caso de que el generador declare una cantidad superior a la demanda contratada, el ASIC y el CND considerarán que no hubo desconexión.
Artículo 3. Modificar el Artículo 7o de la Resolución CREG 063 de 2010. El Artículo 7o de la Resolución CREG 063 de 2010 quedará así:
Artículo 7. Deberes de los Agentes y Operadores. Los agentes y operadores que participen en el mecanismo de DDV deberán cumplir los siguientes deberes:
Del Generador
· Registrar ante el ASIC el contrato de DDV celebrado con el comercializador de energía.
· Informar al comercializador el despacho de la demanda desconectable, indicando claramente, la fecha de inicio y finalización.
Del Comercializador
· Garantizar que los medidores que se utilicen cumplan con los requisitos técnicos establecidos en el código de medida.
· Informar al usuario las condiciones de la Demanda Desconectable Voluntaria, dejando claro que el mecanismo de DDV no es condición necesaria para la firma de un contrato de compraventa o suministro de energía y viceversa.
· Registrar ante el ASIC los usuarios interesados en prestar el servicio de DDV.
· Registrar la frontera del tipo DDV asociándola a la frontera del usuario en el Mercado Mayorista registrada ante el ASIC.
· Verificar que los medidores registrados para la DDV puedan ser interrogados remotamente.
· Verificar que funcione la medida en las fronteras durante el periodo que se active el mecanismo.
Del ASIC
· Administrar la base de datos con la información de los participantes del mecanismo: generadores y comercializadores con sus fronteras.
· Publicar en un medio electrónico de fácil consulta, la información de la demanda desconectable voluntaria no comprometida en contratos bilaterales para cada uno de los comercializadores con DDV.
· Verificar que los contratos de DDV cumplan las condiciones de registro para participar en el mecanismo establecidas por la regulación. En caso de que un contrato no cumpla tales condiciones el ASIC no lo registrará.
· Verificar que las fronteras con línea base de consumo cumplan con el modelo definido por la CREG. En caso de que una frontera no cumpla ese requisito el ASIC no la registrará.
· Registrar las medidas de las fronteras de DDV y realizar la verificación de cumplimiento de la DDV.
· Determinar la cantidad de DDV asignada e informar a las partes del contrato.
· Verificar que para un mismo período de tiempo t, la frontera que se registra solamente tenga asociado un contrato. En caso de que un contrato no cumpla este requisito el ASIC no lo registrará.
· Enviar la información de la cantidad de DDV por día al agente generador y al comercializador.
Del CND
· Incluir en sus análisis y en el despacho la demanda desconectable voluntaria en la operación del sistema.
Artículo 4. Modificar el Artículo 11 de la Resolución CREG 063 de 2010. El Artículo 11 de la Resolución CREG 063 de 2010 quedará así:
Artículo 11. Equipo de Medida. La frontera de DDV deberá cumplir con los requisitos exigidos para las fronteras de los usuarios no regulados, definidos en el código de medida vigente.
Además deberán permitir la lectura o interrogación remota de la información y de los parámetros del medidor. Si el equipo de medición del usuario o su frontera comercial no permite la interrogación remota, el comercializador deberá realizar los ajustes para que ésta se pueda hacer.
Parágrafo 1. El registro de las fronteras comerciales deberá cumplir con los procedimientos establecidos en la regulación para fronteras comerciales.
Parágrafo 2. El Operador de Red, el generador y el comercializador tendrán acceso a la lectura remota.
Parágrafo 3. Los plazos para el registro de Fronteras de DDV serán los mismos establecidos en la regulación para las fronteras comerciales.
Artículo 5. Modificar el Artículo 12 de la Resolución CREG 063 de 2010. El Artículo 12 de la Resolución CREG 063 de 2010 quedará así:
Artículo 12. Funcionamiento de la DDV. A continuación se establece, paso a paso, las reglas que se deben aplicar para el funcionamiento de la DDV.
Paso 1: El comercializador informará a los usuarios sobre el mecanismo de Demanda Desconectable Voluntaria, y les hará saber expresamente que cada usuario puede decidir libremente si participa o no en dicho mecanismo y que para tener acceso al servicio público de energía eléctrica y celebrar el respectivo contrato servicios públicos no es obligatorio, ni una condición necesaria, participar en dicho mecanismo. Corresponderá al Comercializador demostrar el cumplimiento de este requisito y su omisión dará lugar a la indemnización de los perjuicios que se causen al usuario.
Paso 2: El comercializador realizará todas las gestiones técnicas pertinentes para adecuar la frontera comercial, ya sea para la DDV con medidor o para las que tienen línea base de consumo (estimar la línea base de consumo). Los medidores deberán reunir los requisitos exigidos en el código de medida.
Paso 3: El comercializador registrará al usuario y la frontera como demanda desconectable voluntaria ante el ASIC, para lo cual diligenciará los formatos que para tal fin disponga el Administrador. Estos formatos tendrán como mínimo la información del nombre del agente comercializador, el código SIC de la frontera del usuario, la fechas de vigencia del contrato y la cantidad de demanda desconectable diaria del usuario.
El ASIC revisará que una frontera de DDV únicamente se encuentre registrada con un contrato para el periodo de la vigencia del mismo. De encontrar un registro o un trámite adicional de inscripción, el ASIC informará a las partes que el contrato no se puede registrar.
Paso 4: El ASIC publicará diariamente en un aplicativo WEB la información del nombre del comercializador y la cantidad de DDV (kWh-día) no comprometida en contratos.
Paso 5: El Agente generador consultará el mencionado aplicativo para saber qué comercializadores ofrecen este servicio y realizará las gestiones pertinentes para firmar un contrato bilateral en los términos establecidos en esta Resolución.
Paso 6: El generador registrará el contrato ante el ASIC y este último verificará que cumpla con los requisitos establecidos en esta Resolución.
Paso 7: El generador activará el mecanismo y avisará al comercializador con quien tiene el contrato firmado.
El comercializador coordinará con los usuarios a los que se les activará la demanda desconectable.
Paso 8: El comercializador verificará los sistemas de medida de DDV interrogando la medida una hora antes de la activación, e informará al ASIC, CND y al generador el estado del sistema de medida.
Paso 9: El ASIC realizará la liquidación teniendo en cuenta lo establecido en esta Resolución.
Paso 10: El ASIC informará a los generadores la cantidad de demanda desconectada voluntariamente, reportada por los comercializadores.
Artículo 6. Modificar el Artículo 13 de la Resolución CREG 063 de 2010. El Artículo 13 de la Resolución CREG 063 de 2010 quedará así:
Artículo 13. Fronteras de DDV con línea base de consumo (LBC): Son aquellas fronteras en las que el consumo de los usuarios tiene frecuencia y poca variabilidad y que corresponden a las que tienen un error no mayor al 5% respecto a la estimación efectuada con el modelo establecido en el Anexo de esta Resolución.
Para el caso de estas fronteras se considerará que hay reducción de la demanda cuando la medida sea menor que el valor de la línea base de consumo menos el error.
Dentro de los cinco primeros días del mes siguiente al registro de la frontera, el comercializador deberá actualizar el cálculo de la LBC con los datos más recientes. En caso de no efectuar esta actualización vencido el plazo de los cinco días, se entenderá que el comercializador ha retirado la frontera de DDV y el contrato de DDV del Sistema de Intercambios Comerciales.
Parágrafo. Si se tiene registrada más de una frontera comercial en un mismo predio o inmueble, el cálculo de la línea base de consumo se hará considerando la sumatoria de los consumos de cada una de las fronteras asociada al predio o inmueble. Si una persona natural o jurídica cuenta con más de un inmueble, la sumatoria de los consumos se hará de forma independiente para cada uno de los predios o inmuebles.
Artículo 7. Modificar el Artículo 14 de la Resolución CREG 063 de 2010. El Artículo 14 de la Resolución CREG 063 de 2010 quedará así:
Artículo 14. Fronteras con medición directa de DDV: Son fronteras con medidores para la DDV instalados por el comercializador, las cuales no podrán tener asociado más de un único contrato de DDV para el mismo periodo t.
Las fronteras con medición directa de DDV operarán cuando la frontera comercial y la frontera de DDV puedan ser interrogadas remotamente y no estén reportadas ante el ASIC en falla o limitación de suministro.
Las fronteras con medición directa de DDV deberá corresponder a cualquiera de las siguientes situaciones:
· DDV con Plantas de emergencia. Cuando el usuario utiliza una planta de emergencia para disminuir o suprimir los requerimientos de energía del SIN.
Para participar como DDV el comercializador deberá colocar un medidor de DDV a la salida de cada una de las plantas que vaya a utilizar.
· DDV con medición independiente. Cuando el usuario tiene definido el consumo de un proceso de producción que utiliza diariamente y puede desconectarlo en cualquier momento.
En este caso se deberá instalar una medida independiente y registrar el consumo de la frontera.
Parágrafo. Si se tiene registrada más de una frontera comercial en un mismo predio o inmueble, el consumo se hará considerando la sumatoria de los consumos de cada una de las fronteras asociada al predio o inmueble. Si una persona natural o jurídica cuenta con más de un inmueble, la sumatoria de los consumos se hará de forma independiente para cada uno de los predios o inmuebles.
Artículo 8. Modificar el Artículo 15 de la Resolución CREG 063 de 2010. El Artículo 15 de la Resolución CREG 063 de 2010 quedará así:
Artículo 15. Fronteras con línea base de consumo (LBC): la verificación de la desconexión de la demanda efectivamente desconectada, la realizará el ASIC teniendo en cuenta la línea base de consumo (LBC) reportada por el comercializador, el error y la medida diaria de la frontera comercial.
Si el consumo en la frontera comercial es inferior al consumo de la LBC menos el error, se entenderá que el comercializador tiene demanda desconectable, en el caso contrario su DDVV será igual a cero. Si la reducción es mayor a la pactada contractualmente, se considerará esta última para todos los efectos de la liquidación.
DDVVPj,d= (LBCj,d * (1-e)) - Mej,d
DDVVPj,d= Demanda Desconectable Voluntaria Verificada Parcial reducida por el usuario j, en el día d y que se considerará para calcular la demanda desconectable definitiva.
LBCj,d= Cantidad de energía informada en la línea base de consumo para el usuario j, para el tipo de día d.
Mej,h,d= Cantidad de energía medida para el usuario j el día d.
e: Error permitido, que será igual al 5%.
DDVVj,d=mínimo(CDDVj,d,DDVVPj,d)
CDDVj,d Demanda Desconectable Voluntaria contratada para el usuario j para el día d.
DDVVj,d= Demanda Desconectable Voluntaria Verificada y efectivamente reducida por el usuario j, en el día d.
Si el consumo de la frontera comercial es mayor o igual que el consumo estimado en la LBC, se considerará que la DDVV es igual a cero para efectos de la liquidación y el cumplimiento de la OEF del generador.
Dentro de los cinco primeros días del mes siguiente al registro de la frontera el comercializador deberá actualizar el cálculo de la LBC con los datos más recientes. En caso de no efectuar esta actualización, vencido el plazo de los cinco días se entenderá que el comercializador ha retirado la frontera de DDV y el contrato de DDV del Sistema de Intercambios Comerciales.
Artículo 9. Modificar el Artículo 16 de la Resolución CREG 063 de 2010. El Artículo 16 de la Resolución CREG 063 de 2010 quedará así:
Artículo 16. Fronteras con medición directa de DDV: La verificación de la desconexión efectiva de la demanda se realizará dependiendo de la situación a la que corresponda la DDV, así:
DDV con plantas de emergencia. Para DDV con plantas de emergencia se utilizará la medida de la salida de la(s) planta(s) de emergencia que se registrará en el medidor de la DDV.
Se considera que hubo DDV cuando el consumo real medido en la frontera comercial cumple la condición de la siguiente ecuación, si no se cumple la condición la DDVVj,d=0:
Donde:
CRj,d: Consumo medido en la frontera comercial para el usuario j en el día d.
PCj,td: Promedio del consumo medido en la frontera comercial para el usuario j, según el tipo de día td, de los últimos 105 días. Se diferenciarán los días comprendidos de lunes a sábado (código 1 al 6) y los domingos y festivos (código 7).
GPEj,d: Generación de la planta de emergencia del usuario j para el día d.
DDVVj,d: Demanda Desconectable Voluntaria Verificada del usuario j para el día d.
CDDVj,d: Demanda Desconectable Voluntaria contratada del usuario j para el día d.
Si el consumo real medido en la frontera comercial cumple la condición anterior, la demanda DDVVj,d será la siguiente:
DDV con medición independiente: Se considerará que hubo desconexión de demanda cuando el consumo real medido en la frontera cumple la condición de la siguiente ecuación, si no la cumple la DDVVjd =0:
Donde:
CRj,d: Consumo medido en la frontera comercial para el usuario j en el día d.
PCj,td: Promedio del consumo medido en la frontera comercial para el usuario j, según el tipo de día td, de los últimos 105 días. Se diferenciarán los días comprendidos de lunes a sábado (1-6) y los domingos y festivos (7).
PDDVj,td: Promedio del consumo medido en la frontera comercial de DDV para el usuario j en el tipo de día td. Los tipos de día serán lunes a sábado (1-6) y domingos y festivos (7).
DDVVj,d: Demanda Desconectable Voluntaria Verificada del usuario j para el día d.
CDDVj,d: Demanda Desconectable Voluntaria contratada del usuario j para el día d.
Si el consumo real medido en la frontera comercial cumple la condición anterior, la demanda DDVVj,d será:
Parágrafo 1. Las medidas de la DDV deben ser enviadas por el comercializador en los mismos plazos, en que los agentes generadores envían la información de generación de acuerdo con la regulación vigente.
Parágrafo 2. Las transacciones de energía en las fronteras de DDV deberán ser registradas en forma horaria, en el primer minuto de cada hora, de forma tal que permitan el cálculo de la energía movilizada en la hora.
Parágrafo 3. Para los casos en que las medidas de las fronteras DDV no sean enviadas, se considerará que no hubo desconexión.
Artículo 10. Modificar el numeral 1.2 del Anexo 1 de la Resolución CREG 071 de 2006, modificado por el Artículo 1 de la Resolución CREG 124 de 2012. El numeral 1.2 del Anexo 1 de la Resolución CREG 071 de 2006 quedará así:
1.2 Determinación de la Obligación Diaria de Energía Firme
Para efectos de facturación y liquidación, la Obligación de Energía Firme Diaria respaldada por cada una de las plantas o unidades de generación representadas comercialmente por el generador j, se determinará mediante la siguiente expresión:
Donde:
ODEFR i,j,d,m: Obligación Diaria de Energía Firme respaldada por la planta o unidad de generación i del generador j en el día d del mes m.
OMEFRi,j,m : Obligación Mensual de Energía Firme respaldada por la planta o unidad de generación i del generador j en el mes m.
DCd,m: Demanda Comercial Total Doméstica del sistema para el día d del mes m.
DDVVd,m: Demanda desconectable voluntaria verificable en el día d del mes m.
DCm: Demanda Comercial total Doméstica del sistema para el mes m
DDVVm: Demanda desconectable voluntaria verificable en el mes m
DDVVi,j,d,m: Demanda desconectable voluntaria verificable, asociada a la planta o unidad de generación i del generador j en el día d del mes m.
k: Número de plantas y/o unidades de generación
n: Número de días del mes m
Para cada agente generador j la Obligación Diaria de Energía Firme (ODEFj,m,d) será igual a la suma de las Obligaciones Diarias de Energía Firme respaldadas por cada una de las plantas o unidades de generación de su propiedad o que representa comercialmente, descontando las OEFV diarias que haya adquirido el agente j para sus plantas en una subasta de reconfiguración.
Para la Segunda Liquidación se realizará una estimación de la Obligación de Energía Firme Diaria del generador j, así:
Donde:
ODEFRi,j,m,T: Obligación Diaria de Energía Firme respaldada por la planta o unidad de generación i del generador j en los días de tipo T del mes m.
OMEFRi,j,m: Obligación Mensual de Energía Firme respaldada por la planta o unidad de generación i del generador j en el mes m.
DCm-1,T: Demanda Comercial Doméstica total del sistema para el día de tipo T del mes m-1.
DDVVi,j,d,m-1,T: Demanda desconectable voluntaria verificable asociada a la planta o unidad de generación i del generador j para el día de tipo T del mes m-1.
DCm-1: Demanda Comercial total Doméstica del sistema para el mes m-1.
DDVVm-1: Demanda desconectable voluntaria verificable en el mes m-1.
NDT,m-1: Número de días del tipo T en el mes m-1.
Para los efectos que trata el presente anexo, los tipos de día (T) corresponden a: Domingos y festivos; sábados; y días ordinarios.
Artículo 11. Modificar el Artículo 2 de la Resolución CREG 124 de 2012. El Artículo 2 de la Resolución CREG 124 de 2012 quedará así:
Artículo 2. Determinación de las OEF de Venta (OEFV) diarias. Las OEFV diarias de la planta i del agente j se determinarán mediante la siguiente expresión:
Donde:
OEFVi,d,m : OEF de Venta para cumplir la OEF de la planta o unidad de generación i en el día d del mes m.
OEFVAi,j: OEF de Venta asignada a la planta i del generador j en Subasta de Reconfiguración de Venta.
Dm: Demanda Objetivo del mes m.
Dj: Demanda Objetivo para el primer año del Período de Vigencia de la Obligación asignada al generador j.
DCd,m: Demanda Comercial Total Doméstica del sistema para el día d del mes m.
DDVVd,m: Demanda desconectable voluntaria verificable en el día d del mes m.
DCm: Demanda Comercial total Doméstica del sistema para el mes m.
DDVVm: Demanda desconectable voluntaria verificable en el mes m
Artículo 12. Modificar el Numeral 1 del Anexo 7 de la Resolución CREG 071 de 2006. El Numeral 1 del Anexo 7 de la Resolución CREG 071 de 2006 quedará así:
1. Para los casos en los cuales la demanda total doméstica diaria más la demanda desconectable voluntaria diaria, sea menor que la suma de la variable ODEF de todos los generadores, se calculará un factor de ajuste (FA) con la siguiente expresión:
Para estos casos, la Obligación Diaria de Energía Firme de cada agente respaldada con plantas y/o unidades de generación despachadas centralmente de su propiedad o representadas comercialmente por él, se ajustará como sigue:
Cuando la demanda total doméstica diaria sea mayor o igual que la suma de la variable ODEF de todos los generadores:
Donde:
DCd,m: Demanda Total Doméstica del día d del mes m.
DDVVd,m: Demanda desconectable voluntaria verificable en el día d del mes m
GINDC,d,m: Generación ideal del día d del mes m de los recursos no despachados centralmente.
ODEF j,d,m: Obligación Diaria de Energía Firme del agente generador j en el día d del mes m.
: Variable ODEF para todos los recursos no despachados centralmente.
ODEFA j,d,m: Obligación Diaria de Energía Firme Ajustada del agente generador j en el día d del mes m.
Para las plantas o unidades de generación no despachadas centralmente el factor FA siempre será igual a uno (1).
Artículo 13. Modificar el Numeral 8.1.1 del Anexo 8 de la Resolución CREG 071 de 2006, modificado por el Artículo 3 de la resolución CREG 124 de 2012. El Numeral 8.1.1 del Anexo 8 de la Resolución CREG-071 de 2006 quedará así:
8.1.1 Determinación de la Remuneración Real Individual Diaria de la Obligación de la Energía Firme asociada a la planta y/o unidad de generación (RRID) y Remuneración Real Total (RRT).
La remuneración real individual diaria de la Obligación de Energía Firme respaldada por la planta o unidad de generación i en el día d del mes m (RRIDi,d,m) se calculará de acuerdo con la siguiente fórmula:

Donde:
DCi,h,d,m: Disponibilidad Comercial de la planta i en la hora h del día d del mes m, expresado en kilovatios (kW), sin considerar la indisponibilidad respaldada mediante contratos de respaldo, declaraciones de respaldo o cualquier otro anillo de seguridad diferente a Subasta de Reconfiguración de Venta. Este respaldo debió registrarse previamente ante el ASIC. Para los contratos de mercado secundario cuando el precio de bolsa sea mayor que el precio de escasez se considerarán las cantidades despachadas de estos tipos de cubrimiento. Cuando no se cumpla la condición anterior, se considerará la cantidad registrada de estos tipos de cubrimiento. Para la DDV el cubrimiento se tendrá en cuenta cada vez que el generador active el mecanismo.
El cálculo de esta componente se realizará de la siguiente forma:
Donde:
CCRi,d,m: Compras en contratos de respaldo o en declaraciones de respaldo para la planta o unidad de generación i vigentes en el día d del mes m.
DDVVi,d,m: Demanda Desconectable Voluntariamente Verificada asociada al generador i en el día d del mes m.
DispComNormali,h,d: Disponibilidad Comercial Normal calculada según la metodología definida en la Resolución CREG-024 de 1995 para la planta o unidad de generación i en la hora h del día d.
OEFVi,d,m: OEF de Venta para cumplir la OEF de la planta o unidad de generación i en el día d del mes m, expresada en kilovatios-hora (kWh).
ODEFRi,d,m: Obligación Diaria de Energía Firme respaldada por la planta o unidad de generación i en el día d del mes m, expresada en kilovatios-hora (kWh).
VCPi,d,m: Ventas en contratos de respaldo o en declaraciones de respaldo con la planta o unidad de generación i vigentes en el día d del mes m.
PCCi,m: Precio Promedio Ponderado del Cargo por Confiabilidad de la Obligación de Energía Firme respaldada por la planta o unidad de generación i vigente en el mes m, expresado en dólares por kilovatio-hora (US$/kWh), que se calculará de acuerdo con la siguiente expresión:
Donde:
Pi,m,s: Precio al cual fue asignada la Obligación de Energía Firme asociada a la planta y/o unidad de generación i vigente en el mes m, asignada en la subasta s o en el mecanismo que haga sus veces, expresado en dólares por kilovatio hora (US$/kWh).
ODEFRi,m,s: Obligación Diaria de Energía Firme respaldada por la planta o unidad de generación i en el mes m, asignada en la subasta s o el mecanismo que haga sus veces.
s: Subasta para la asignación de Obligaciones de Energía Firme, mecanismo que haga sus veces o Subasta de Reconfiguración.
El valor de PCCi,m se convertirá a pesos por kilovatio hora ($/kWh), utilizando la TRM correspondiente al último día del mes liquidado, publicada por la Superintendencia Financiera.
La Remuneración Real Total Mensual para el mes m (RRTm) se obtendrá aplicando la siguiente fórmula:
Donde:
RRIDi,d,m: Remuneración Real Individual Diaria de la Obligación de Energía Firme respaldada por la planta y/o unidad de generación i en el día d del mes m.
n: Número de días del mes m.
k: Número de plantas y/o unidades de generación.
Artículo 14. Modificar el numeral 8.2.2 del Anexo 8 de la Resolución CREG-071 de 2006. El numeral 8.2.2 del Anexo 8 de la Resolución CREG 071 de 2006, quedará así:
8.2.2 Cálculo del Valor a Distribuir de cada planta y/o unidad de generación i (VDi)
Cada planta y/o unidad de generación i tendrá derecho a recibir la cantidad resultante de aplicar la siguiente expresión:
Donde
n: Número de días del mes m.
Donde:
DDVVi,d,m: Demanda desconectable voluntaria verificable asociada a la planta y/o unidad de generación i en el día d del mes m.
n: Número de días del mes m
Con el resultado del Valor a Distribuir (VDi), el Valor a recaudar (VRi) y la Demanda Desconectable Voluntaria Verificable (DDVVi) multiplicada por el CERE, se calculará mensualmente para cada planta y/o unidad de generación i, el valor Fi mediante la siguiente expresión:
Cuando Fi sea positivo, se originará un saldo a favor del agente generador en el SIC. Cuando Fi sea negativo, se producirá por parte del SIC un cobro al agente generador correspondiente.
Artículo 15. Modificar el Anexo de la Resolución CREG 063 de 2010. El Anexo de la Resolución CREG 063 de 2010 quedará así:
ANEXO
Modelo de estimación la Línea Base de Consumo
El método es una adaptación de los métodos de descomposición y representa el consumo diario de la frontera, Ct, mediante unas componentes no observables que representan la componente de tendencia, Tt, la componente estacional, Et, y la componente del error ut.

1.3 La componente de tendencia indicará cómo es el comportamiento a largo plazo de la serie. La componente estacional estará determinada por un índice para cada uno de los siete días de la semana, E1, E2,..., E7 que representa el valor de la fluctuación estacional en cada día de la semana e indicará qué tanto por encima o por debajo de la tendencia se encuentran en promedio las observaciones del día.
En lo que sigue se utilizará la siguiente convención: los subíndices i del conjunto 1, 2,...,7 corresponderán a los días lunes, martes,..., domingo.
La metodología aísla y estima cada una de las componentes y luego pronostica una semana. Esto se lleva a cabo mediante cuatro etapas que se realizarán en forma secuencial.
Etapa 1. Captura y depuración de datos.
· Captura: la LBC tendrá una frecuencia diaria. La metodología se realizará sobre una ventana de tiempo de 105 días, correspondientes a las últimas quince semanas.
· Transformación de los valores atípicos e iguales a cero: Se identificará cada valor atípico o cero, junto con el subíndice i correspondiente al día de la semana en que fue observado. El valor atípico o cero, se transformará por el promedio de los cinco días anteriores que tengan el mismo subíndice.
Etapa 2. Estimación de los índices E1, E2,..., E7.
· Calcular promedios móviles centrados de longitud 7 (una semana):
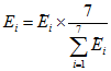
· Hallar el cociente Ct/PMt, t = 4,5,6,..... Este cociente será aproximadamente igual a:
,
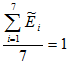
· Promediar todos los valores anteriores correspondientes al mismo día para obtener unos índices preliminares .
· Ajustar los 7 índices preliminares de forma que .
Etapa 3: Estimación de la tendencia
· Desestacionalizar los datos dividiendo C entre su índice estacional E.
· Con los datos desestacionalizados, D, se estimará una tendencia lineal, T, mediante regresión lineal.
Etapa 4: Pronósticos para una semana
Si N es el instante de la última observación, y ésta cae en domingo, se pronosticará para los días siguientes, lunes, martes,..., domingo, mediante la ecuación.
Parágrafo 2. Para los efectos previstos en este artículo se diferenciarán los días comprendidos de lunes a sábado (1-6) y los domingos y festivos (7).
Artículo 16. Vigencia. Esta Resolución rige a partir de su publicación en el Diario Oficial y deroga las disposiciones que le sean contrarias.
Dada en Bogotá, D.C.,
ORLANDO CABRALES SEGOVIA | GERMÁN CASTRO FERREIRA |
Viceministro de Energía
Delegado del Ministro de Minas y Energía |
Presidente |
| Director Ejecutivo

|
|
Doble click sobre el archivo anexo para bajarlo(Resoluciones CREG) |
Doble click sobre el archivo anexo para bajarlo(Documento CREG) |
|