| Publicación Diario Oficial No.: | , el día: |
| Publicada en la WEB CREG el: | 11/April/2006 |
|
Publicada en el Diario Oficial No.45.531 del 26 de abril de 2004
RESOLUCIÓN No.033
(30 MAR. 2004 )
Por la cual se aprueban el Cargo Promedio de Distribución por uso del Sistema de Distribución de gas combustible por red y el Cargo Máximo Base de Comercialización de gas combustible por redes, para el mercado relevante conformado por Bogotá D.C. y los municipios de Soacha y Sibaté en el departamento de Cundinamarca, según solicitud tarifaria presentada por la empresa GAS NATURAL S.A. E.S.P.
LA COMISIÓN DE REGULACIÓN DE ENERGÍA Y GAS
En ejercicio de sus atribuciones constitucionales y legales, en especial las conferidas por la Ley 142 de 1994, y los Decretos 1524 y 2253 de 1994, y
CONSIDERANDO:
Que el Artículo 14.28 de la Ley 142 de 1994, definió el servicio público domiciliario de gas combustible como el conjunto de actividades ordenadas a la distribución de gas combustible y estableció la actividad de comercialización como complementaria del servicio público domiciliario de gas combustible;
Que según lo dispuesto por el Artículo 28 de la Ley 142 de 1994, la construcción y operación de redes para el transporte de gas, así como el señalamiento de las tarifas por uso, se regirán exclusivamente por esa Ley;
Que el Artículo 73.11 de la Ley 142 de 1994, atribuyó a la Comisión de Regulación de Energía y Gas, la competencia para establecer las fórmulas para la fijación de las tarifas del servicio público domiciliario de gas combustible;
Que según lo dispuesto por el Artículo 88.1 de la Ley 142 de 1994, la Comisión de Regulación de Energía y Gas podrá establecer topes máximos y mínimos tarifarios, de obligatorio cumplimiento por parte de las empresas;
Que el Artículo 126 de la Ley 142 de 1994 establece que vencido el período de vigencia de las fórmulas tarifarias éstas continuarán rigiendo mientras la Comisión no fije las nuevas;
Que mediante Resolución CREG-045 de 2002 se estableció la metodología de cálculo y ajuste para la determinación de la tasa de retorno que se utilizará en las fórmulas tarifarias de la actividad de distribución de gas combustible por redes para el próximo período;
Que mediante Resolución CREG-011 de 2003 se adoptó la metodología y criterios generales para determinar la remuneración de las actividades de distribución y comercialización de gas combustible y las formulas generales para la prestación del servicio público domiciliario de distribución de gas combustible por redes de tubería;
Que mediante Resolución CREG-100 de 2003, la Comisión estableció los estándares de calidad en el servicio público domiciliario de gas natural y GLP en Sistemas de Distribución por redes de tubería;
Que la empresa GAS NATURAL S.A. E.S.P. mediante comunicaciones con radicado CREG E-2003-004370 y E-2003-005159 recibidas el 30 de abril de 2003 y el 21 de mayo respectivamente, entregó a la Comisión la información histórica sobre inversión existente a Diciembre de 2002, gastos de AOM para los negocios de distribución y comercialización de gas, y demás información histórica requerida para el cálculo de los cargos correspondientes al uso del Sistema de Distribución de su mercado relevante atendido;
Que la empresa GAS NATURAL S.A. E.S.P., mediante comunicación con radicado CREG E-2003-00005538 del 2 de junio, reportó a la CREG las proyecciones de demanda, las proyecciones de gastos de AOM de distribución y el programa de nuevas inversiones, clasificadas según el listado de unidades constructivas establecido en el Anexo No. 1 de la Resolución CREG 011 de 2003; y que mediante comunicación E-2003-005798 del 9 de junio de 2003 entregó aclaraciones y compilaciones a la información entregada el 30 de abril y mayo 30 de 2003;
Que por las disposiciones técnicas distritales emitidas por el INSTITUTO DE DESARROLLO URBANO – IDU, la empresa solicitó costos unitarios eficientes para algunas unidades constructivas, de acuerdo con las especificaciones técnicas establecidas por el Anexo técnico IDU 02-0800.
Que la empresa GAS NATURAL S.A. E.S.P. en cumplimiento de lo dispuesto en los parágrafos de los artículos 20 y 29 de la Resolución CREG-011 de 2003, el día 22 de julio de 2003 publicó en el diario La República el resumen del estudio de cargos que presentó a la Comisión, con la información señalada en la Circular CREG 021 de 2003, con el fin de que los terceros interesados pudieran presentar ante la Comisión observaciones sobre tal información, y envió a la Comisión copia del aviso de prensa respectivo, Radicado CREG E-2003-007384;
Que mediante comunicaciones radicadas en la CREG con los números: E-2003-005958, E-2003-006041, E-2003-007384, E-2003-007385, E-2003-008558, E-2003-008560, E-2003-009361, E-2003-010071, E-2003-010534, E-2003-010535, E-2003-010741, E-2003-011402, la empresa GAS NATURAL S.A. E.S.P. presentó las ampliaciones y aclaraciones solicitadas por la CREG, a la información reportada en su solicitud tarifaria;
Que en cumplimiento de lo dispuesto en el Anexo No. 9 de la Resolución CREG 011 de 2003, la Comisión, a través de la firma DIVISA INGENIEROS ASOCIADOS LTDA, verificó la calidad de la información reportada por la empresa GAS NATURAL S.A. E.S.P., siguiendo la metodología contenida en el citado Anexo;
Que la Comisión mediante comunicación con radicación S-2003-003454, trasladó a la empresa los resultados de la Auditoría.
Que la empresa GAS NATURAL S.A. E.S.P., mediante comunicación radicada bajo el número CREG E-2003-010536 el 19 de noviembre de 2003, presentó las aclaraciones solicitadas por la Comisión, y se pronunció en relación con el informe de verificación de activos;
Que la Dirección Ejecutiva de la Comisión de Regulación de Energía y Gas, mediante Auto de Pruebas de fecha 19 de enero de 2004, decretó la práctica de una visita a las instalaciones de la empresa GAS NATURAL S.A. E.S.P. con el propósito de realizar conjuntamente con los funcionarios de la empresa, simulaciones sobre el modelo utilizado para la obtención de los resultados de las proyecciones de demanda que forman parte del expediente tarifario. La práctica de la prueba se llevó a cabo los días 19 y 20 de enero de 2004 y los resultados de la misma se consignaron en el documento E-2004-13139 el cual forma parte del expediente tarifario.
Que la Unidad de Planeación Minero Energética - UPME, en comunicación con radicado interno No. CREG- E-2003-010562 de 19 de noviembre de 2003, aprobó la metodología utilizada para las proyecciones de demanda del mercado que va a atender la empresa GAS NATURAL S.A. E.S.P., de conformidad con lo establecido en el Numeral 7.5 de la Resolución CREG-011 de 2002;
Que mediante Documento CREG-09, se definieron los gastos eficientes de AOM para las actividades de distribución y comercialización, el factor de eficiencia en redes, así como los gastos eficientes de AOM para el control y monitoreo de los estándares de calidad definidos mediante Resolución CREG-100 de 2003.
Que como resultado del análisis de la información y de las respuestas presentadas a la Comisión por la empresa GAS NATURAL S.A. E.S.P., se realizaron los ajustes pertinentes a la información requerida para el cálculo de los Cargos de que tratan los Artículos 7 y 23 de la Resolución CREG 011 de 2003, según se relacionan, con su respectivo sustento, en el documento soporte de la presente Resolución;
Que la Comisión de Regulación de Energía y Gas efectuó los cálculos tarifarios correspondientes a partir de la metodología establecida en la Resolución CREG-011 de 2003 y demás información disponible en la Comisión, los cuales se presentan en el Documento CREG-021 de 23 de marzo de 2004;
Que la Comisión de Regulación de Energía y Gas, en su sesión 232 de 23 de marzo de 2004, aprobó el Cargo Promedio por Uso del Sistema de Distribución y el Cargo Máximo Base de Comercialización del Mercado Relevante conformado por Bogotá D.C., y los municipios de Soacha y Sibaté en el departamento de Cundinamarca.
R E S U E L V E:
ARTÍCULO 1°. Mercados Relevantes de Distribución y Comercialización. Para efectos de aplicación de esta Resolución el mercado relevante de distribución y comercialización incluye el Distrito Capital y los municipios de Soacha y Sibaté en el departamento de Cundinamarca.
ARTÍCULO 2°. Inversión Base. La Inversión Base para determinar el cargo promedio de distribución para el Mercado Relevante definido en el Artículo 1 de esta Resolución se compone como se indica a continuación:
2.1. Inversión Existente. Como inversión existente se reconoce un monto de $314.852.839.674 ($ del 31 de Diciembre de 2002). de conformidad con la desagregación de activos presentada en el Anexo 1A de la presente Resolución.
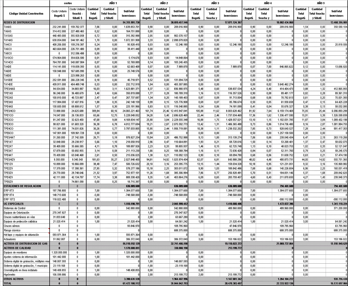
2.2. Programa de Nuevas Inversiones. Para el Programa de Nuevas Inversiones se reconocen los siguientes valores. con la descripción presentada en el Anexo 1B de la presente Resolución:
 | AÑO 1 | AÑO 2 | AÑO 3 | AÑO 4 | AÑO 5 |
Total
de Inversiones | 61.472.108.512 | 35.044.042.793 | 20.478.303.487 | 22.333.912.136 | 16.531.697.066 |
Cifras en pesos del 31 de Diciembre de 2002.
Parágrafo: Las desviaciones que se presenten en el Programa de Nuevas Inversiones serán consideradas de conformidad con lo establecido en el literal b) del numeral 7.1 de la resolución CREG 011 de 2003.
ARTÍCULO 3°. Demandas Esperadas de Volumen. Para el cálculo tarifario se utilizó la Demanda de Volumen para el horizonte de proyección presentada en el Anexo 2 de esta Resolución.
ARTÍCULO 4°. Gastos de Administración. Operación y Mantenimiento - AOM. El nivel de eficiencia obtenido del modelo de frontera de eficiencia es 100%. Aplicando este resultado al valor presente de los gastos de AOM propuestos para el Horizonte de Proyección. se obtiene el siguiente valor para incorporar al cálculo del cargo que remunera los gastos de AOM. En el Anexo 3 se presentan los gastos de AOM para el Horizonte de Proyección.
|
| $ del 31 de Dic/2002 |
Valor Presente de los gastos de AOM. con nivel de eficiencia
|
|
ARTÍCULO 5°. Cargo Promedio de Distribución. A partir de la vigencia de la presente Resolución. el cargo promedio de distribución aplicable en el Mercado Relevante establecido en el Artículo 1 de la presente Resolución. para recuperar los costos de inversión y los gastos de AOM para la distribución domiciliaria de gas combustible se fija en $238,97 $/m3 ($ del 31 de Diciembre de 2002) desagregados de la siguiente manera:
|
| $/m3 |
|
| 238,97 |
|
| 126,00 |
|
| 112,97 |
Cargo piso de distribución
| 39,28 |
NOTA: Cifras en pesos del 31 de diciembre de 2002
Parágrafo 1 El cargo piso aplicable en el Mercado Relevante del Artículo 1 se fija en $39,28/m3, expresado en pesos del 31 de diciembre de 2002.
Parágrafo 2: Estos Cargos de Distribución se actualizarán de conformidad con lo establecido en el numeral 7.8 de la Resolución CREG-011 de 2003.
ARTÍCULO 6°. Cargo Máximo Base de Comercialización. A partir de la vigencia de la presente Resolución. el cargo máximo base de comercialización aplicable en el Mercado Relevante del Artículo 1. es el siguiente.
| Cargo de Comercialización
($/ factura) | $1.896,83 |
NOTA: Cifras en pesos del 31 de diciembre de 2002.
Parágrafo: El Cargo de Comercialización se actualizará de conformidad con lo establecido en el Artículo 24 de la Resolución CREG-011 de 2003.
ARTÍCULO 7°. Fórmula Tarifaria. La Fórmula Tarifaria aplicable al mercado relevante definido en el Artículo 1 de la presente Resolución corresponderá a la establecida en el Artículo 32 de la Resolución CREG 011 de 2003.
ARTÍCULO 8°. Vigencia de la Fórmula Tarifaria, del Cargo Promedio de Distribución y del Margen Máximo de Comercialización. La fórmula tarifaria. incluido el Cargo Promedio de Distribución y el Cargo Máximo Base de Comercialización que se establecen en esta Resolución. regirán a partir de la fecha en que la presente Resolución quede en firme y durante el término de vigencia de las fórmulas tarifarias definidas en la Resolución CREG-011 de 2003. Vencido este período las fórmulas tarifarias continuarán rigiendo mientras la Comisión no fije las nuevas. tal como está previsto en el Artículo 126 de la Ley 142 de 1994.
ARTÍCULO 9°. La presente Resolución deberá notificarse a la empresa GAS NATURAL S.A. ESP y publicarse en el Diario Oficial. Contra las disposiciones contenidas en esta Resolución procede el Recurso de Reposición. el cual podrá interponerse ante la Dirección Ejecutiva de la CREG dentro de los cinco (5) días hábiles siguientes a la fecha de su notificación.
NOTIFÍQUESE. PUBLÍQUESE Y CÚMPLASE
Dada en Bogotá. D.C. 30 MAR. 2004
MANUEL MAIGUASHCA OLANO | SANDRA STELLA FONSECA ARENAS |
Viceministro de Minas y Energía | Directora Ejecutiva |
Delegado del Ministro de Minas y Energía
Presidente |  |
ANEXO 1
INVERSIÓN BASE
ANEXO 1A
INVERSIÓN EXISTENTE
MANUEL MAIGUASHCA OLANO | SANDRA STELLA FONSECA ARENAS |
Viceministro de Minas y Energía | Directora Ejecutiva |
Delegado del Ministro de Minas y Energía
Presidente |  |
ANEXO 1B
PROGRAMA DE NUEVAS INVERSIONES
(Valores expresados $ del 31 de Diciembre de 2002)
MANUEL MAIGUASHCA OLANO | SANDRA STELLA FONSECA ARENAS |
Viceministro de Minas y Energía | Directora Ejecutiva |
Delegado del Ministro de Minas y Energía
Presidente |  |
ANEXO 2
PROYECCIÓN DE DEMANDAS DE VOLUMEN Y USUARIOS POR MUNICIPIO
ANEXO 2A
DEMANDAS DE VOLUMEN
Año | Demanda Anual Esperada de Volumen (m3) |
1 | 558.659.024 |
2 | 573.896.338 |
3 | 555.293.216 |
4 | 570.614.181 |
5 | 582.829.858 |
6 | 588.176.643 |
7 | 586.556.633 |
8 | 584.876.900 |
9 | 583.200.391 |
10 | 581.547.708 |
11 | 579.924.735 |
12 | 578.310.258 |
13 | 576.714.095 |
14 | 575.158.036 |
15 | 573.650.740 |
16 | 573.822.014 |
17 | 574.024.145 |
18 | 574.255.374 |
19 | 574.516.811 |
20 | 574.809.430 |
VPN (16.06%) | 3.389.483.308 |
MANUEL MAIGUASHCA OLANO | SANDRA STELLA FONSECA ARENAS |
Viceministro de Minas y Energía | Directora Ejecutiva |
Delegado del Ministro de Minas y Energía
Presidente |  |
ANEXO 2B
PROYECCIÓN NÚMERO DE USUARIOS POR MUNICIPIO
ANEXO 3
PROYECCIÓN DE
GASTOS DE ADMINISTRACIÓN. OPERACIÓN Y MANTENIMIENTO –AOM
Año | $ de 31 de Diciembre de 2002 |
1 | 59.739.185.893 |
2 | 62.470.664.328 |
3 | 64.102.983.093 |
4 | 65.607.466.520 |
5 | 67.013.734.270 |
6 | 66.683.889.767 |
7 | 66.683.889.767 |
8 | 66.683.889.767 |
9 | 66.683.889.767 |
10 | 66.683.889.767 |
11 | 66.683.889.767 |
12 | 66.683.889.767 |
13 | 66.683.889.767 |
14 | 66.683.889.767 |
15 | 66.683.889.767 |
16 | 66.683.889.767 |
17 | 66.683.889.767 |
18 | 66.683.889.767 |
19 | 66.683.889.767 |
20 | 66.683.889.767 |
VPN (16.06%) | 38.290.150.083 |
MANUEL MAIGUASHCA OLANO | SANDRA STELLA FONSECA ARENAS |
Viceministro de Minas y Energía | Directora Ejecutiva |
Delegado del Ministro de Minas y Energía
Presidente |  |
|
Doble click sobre el archivo anexo para bajarlo(Resoluciones CREG) |
Doble click sobre el archivo anexo para bajarlo(Documento CREG) |
|